ISSN 2410-5708 / e-ISSN 2313-7215
Year 12 | No. 34 | June - September 2023
© Copyright (2023). National Autonomous University of Nicaragua, Managua.
This document is under a Creative Commons
Attribution-NonCommercial-NoDerivs 4.0 International licence.
Other algorithmic variants for solving nonlinear equations are based on the variational iteration technique
https://doi.org/10.5377/rtu.v12i34.16341
Submitted on Octuber 27th, 2022 / Accepted on May 12th, 2023
Arnoldo Abraham Herrera Herrera
Ph.D. in Applied Mathematics
National Autonomous University of Nicaragua, Managua
Ivan Augusto Cisneros Diaz
Ph.D. in Applied Mathematics
National Autonomous University of Nicaragua, Managua
Section: Education
Scientific research article
Keywords: Algorithms, Convergence, Iteratives, Methods, Comparison.
Abstract
This work addresses the continuity of new algorithmic versions on the variational iteration technique, which is an iterative method to solve nonlinear equations of the form. In this sense, the main objective is to generate new algorithms and iterative schemes that allow obtaining new formulas and iterative methods. f(x)=0
It also studies the constructive development and convergence of each of the methods presented under which the variational iteration technique appears as a fundamental axis for the resolution of various types of nonlinear equations, therefore, new formulas are created by mathematical procedures based on the variants of Newton’s method and variational iteration techniques.
The obtaining of the main iterative schemes of each method by deducing its construction, as well as the convergence analysis through the computational application, were carried out in the Python programming language. Indeed, roots of nonlinear equations of some base functions, used in the scientific articles consulted, which have characteristics of being continuous and differentiable, are exemplified and calculated.
On the other hand, a comparison is made between some of the existing algorithms and those designed in this research, using the criteria of maximum and minimum number of functional evaluations. These aspects are fundamental pieces for the validity of the new algorithmic variants for the resolution of nonlinear equations based on the variational iteration technique.
According to the results obtained after the various comparisons, the algorithms present an excellent performance concerning those existing in the literature on this area of knowledge.
Introduction
The continuous study of the resolution of nonlinear equations is increasingly interesting and substantial, since it seeks to obtain approximate solutions, in such a way that they allow solving real-life problems and understanding their process in depth.
Among the various types of numerical methods of a recursive nature that are built and proposed, there is always a latent need to improve the order and speed of convergence of the iterative methods used, as well as the creation of new numerical methods based on existing ones. Therefore, our interest is focused on how to determine new numerical mathematical procedures based on variational iterative techniques.
The intentionality of the various modifications (auxiliary functions) that can be made to a method, particularly in the variational iteration technique, is that it allows accelerating even more the convergence of the solution since this technique in its original version provides a fast and precise convergent series, which is why they only need a small number of terms to obtain an approximate solution with high computational precision. This fact contributed significantly to the choice of this method for the elaboration of this research, which can be used in the resolution of nonlinear equations.
Another aspect of feasibility offered by working with the variational iteration technique is that a process of transformation and adaptation of computational numerical modeling is evident, which is shown genuinely and tangibly during the development of this research.
The convenience of the work is defined in showing different iterative techniques to formulate new algorithms of the Newton Method, in turn, the relevance and its impact are reflected in being able to generalize Newton’s method through the variational iterative technique, therefore, this action is a faithful reflection on the stimulation of mathematical creativity to develop new forms of abstract thought.
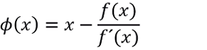
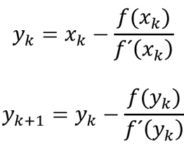
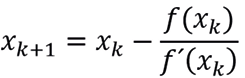
Regarding the classification of iterative schemes to solve nonlinear equations of the type; These are based on the number of steps of the process, in this sense a method can be single-step or multi-step. The best-known method of a single step is that of Newton, which in each step of the process needs functional evaluations where it represents the evaluation in the original function and the evaluation in its derivative, the corresponding scheme as it is: f (x) = 0 (Cisneros, 2017) (f,f´);ff´ (Melan, 1997)
Successive attempts to improve its efficiency, in terms of speed of convergence, bore fruit in the form of other single-point methods: the schemes of Halley, Chebyshev, etc. Referring to the first mentioned scheme, they propose a new variant where it shows that Newton’s method can be used as a predictor and Halley’s scheme as a corrector to obtain a better order of convergence. (Noor & Noor, 2007)
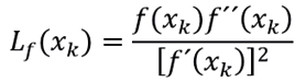
Several authors point out that the methods of a single point mentioned above have logarithmic convexity, according to the corresponding scheme (Diloné, 2013)
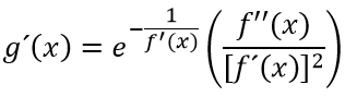
The use of this operator allows to accelerate of the convergence to the third order, but with the condition of evaluating the second derivative of the nonlinear function in each iteration, which for computational practical purposes is not convenient; This and other limitations of point-to-point methods lead, in the second half of the twentieth century, to the development of multistep methods that, through simple iterative expressions and evaluations of low-order derivatives of the nonlinear function, allow to obtain high orders of convergence. (Cisneros, 2017)
The different limitations that have the point-to-point methods arise at the end of the second half of the century; The development of multi-pass methods, which according to simple iterative expressions and evaluations of low-order derivatives of the nonlinear function allows to obtain high orders of convergence. This means that there is a greater computational feasibility to work with this type of method.(Cisneros, 2017)
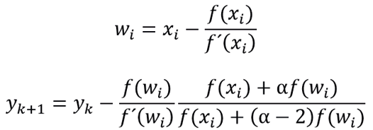
A scheme proposed is the Potra-Ptak method which has the following structure(Traub, 1964)
In its iterative expression this scheme starts from Newton’s method as the first step and a second step consists of applying Newton on the first, but evaluating only the function in the first step and maintaining the derivative evaluated in the previous iteration. This same author shows that this method has an order of convergence three, that is,
This method has an order of convergence three, later developed the classical methods of the family Chebyshev-Halley, Jarratt, Ostrowski, and the methods of King, which did not make use of the evaluation of the second derivative, all of them with an order of convergence four.
About the methods of the King family, they consider three and four points to solve nonlinear equations and have a better development for rational functions. In addition, the work carried out presents the corresponding structure for this family of methods, which is:(King, 1973)
As for the last decade of the twentieth century and the first of the twenty-first century, numerous works appear in which both methods and families of optimal methods of increasing orders (multipass) are designed. For them different techniques are used, but with a common root: the composition of known methods (basically Newton’s method) and the subsequent elimination of some of the functional evaluations added in the process.
In recent years, optimal multipoint iterative methods with derivatives for the solution of nonlinear equations have been analyzed, where these schemes are constructed using the variational iteration technique, which has the structure of the Potra-Ptak scheme. Among the main investigations of the variational iteration technique is the work done where they show that the main advantage of this method is the flexibility to give approximate solutions to nonlinear problems without linearization or discretization, consequently, they determine that this method is simple and effective. (Inokuti y otros, 1978)
Among the most recent and relevant studies are those carried out by them to address new iterative methods of the fourth order of convergence, modifications of the House Holder method, and an iterative method of the fifth order of convergence for the resolution of nonlinear equations. All these works appear as main support and innovative iterative modifications to schemes already built. (Noor & Noor, 2007)
Later they create different types of iterative techniques where they present the constructive and convergent process of each one, likewise, they exemplify their efficiency through the consideration of nonlinear equations and their comparison with the solution of other iterative methods. In addition, they emphasize the great advantage of working with auxiliary functions of exponential type. (Noor and others, 2011)
Another document that alludes to the improvement and optimization of the variational iteration technique is the one created by, which addresses the analysis of some new iterative methods to find multiple roots of nonlinear equations using the variational iteration technique. The technique generates the higher-order methods. Here, the new methods are second and third-order convergence. They also show several examples to illustrate the efficiency of these methods. Then, they apply the technique of variational iteration for solving systems of equations. (Noor and others, 2011)(Noor and others, 2012)
The work allows us to show in detail the computational versatility of the variational iteration technique, as well as different mathematical processes for obtaining main iterative schemes and in turn in the genuine and unprecedented creation of iterative algorithms for solving nonlinear equations. (Cisneros, 2017)
In this work, it can corroborate the versatility and good behavior of the application of Adomian polynomials and variational iteration, to obtain the generalization of Newton’s method in the solution of nonlinear equations, in turn, the generation of new iterative methods through the use of the Taylor series, the Adomian decomposition and the variational iterative technique.
A recent research is one created in which they express substantial results on novel algorithms for the resolution of nonlinear equations through the technique of variational iteration. In addition, they emphasize the deduction, programming, and comparison between existing algorithms and new algorithms built, these aspects being essential for the authentic demonstration of their validity. (Herrera & Cisneros, 2022)
All the approach exposed allows us to confirm that the technique of variational iteration has great relevance, for the rapid convergence and the computational facility to program, in addition to having a high precision for the calculation of the approximations to the exact solutions for nonlinear equations.
MATERIALS AND METHODS
This section shows the methodology applied, as well as a general perspective of the deduction and generalization of Newton’s method through the technique of variational iteration for the resolution of nonlinear equations, this philosophical development was taken up from the work of, thus allowing to obtain new iterative schemes and iterative formulas for the discovery of the real roots of nonlinear equations considered in this research. (Herrera & Cisneros, 2022)
The methodology used in this work followed the following stages:
a.Review of the state of the art on existing iterative methods.
b.Study of various mathematical procedures of variational iteration techniques, as well as their different applications to the theory of iterative methods and other related topics.
c.Selection of auxiliary functions that generated various iterative schemes that allowed obtaining new iterative methods, based on variational iteration techniques.
d.Object Oriented Programming (OOP) in Python of the algorithms obtained by variational iteration techniques.
e.The comparison performed was based on the number of iterations of each method to determine the actual solution of the nonlinear equation.
The variational iterative technique allows us to obtain known methods of the Ostrowsky type, which are developed and take up the research elaborated by. Their convergence criteria and main iterative schemes are also analyzed, therefore, several examples are shown where the comparison between these methods is analyzed. Another aspect to note is that all algorithms are genuine and unprecedented construction of this research. (Shah, 2012)
On the other hand, the two cases of the variational iteration technique are expressed based on the original functions and their derivatives, which aims to obtain new iterative algorithms. In addition, the importance of using certain numerical values and functions to obtain a better approximation to the solution of the nonlinear equation is mentioned.
I. Case 1 of Variational Iteration
Inasmuch
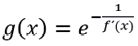
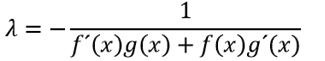
where g(x) is an arbitrary function and a Lagrange multiplier. Then you have λ
The optimality condition implies that
Resulting
Therefore, the main scheme corresponding to this case of the variational iteration technique is:
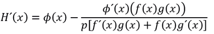
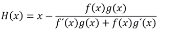
II. Case 2 of Variational Iteration
Inasmuch
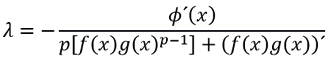
Where ϕ(x) is an iterative function of order is an p≥1,g(x) arbitrary function and a Lagrange multiplier. Then we have the optimality condition defined by λ
Substituting in the scheme initially considered, one obtains
Now, taking p=1
Considering iterative function
Deriving this function, it results
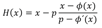
Therefore, the main scheme corresponding to this other case of the variational iteration technique is:
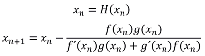
Note that if the iterative method of case I of the variational iteration technique is obtained ϕ(x)=x. In turn, this schema has an associated iterative method, defined as follows
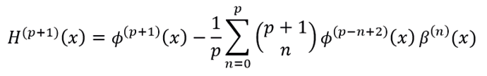
Convergence of Variational Iteration Cases
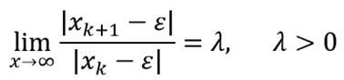
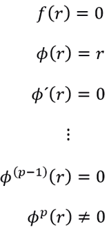
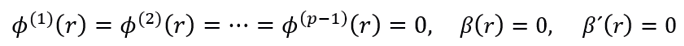
Theorem: Let be an order iteration function; let be a solution of the nonlinear equation Suppose it is continuously differentiable in; then the above iterative scheme has an order of convergence of at least ϕ(x)p≥1rf(x).ϕ(x)rp+1
Demonstration: Suppose
Moreover, that is a solution of and that is a rf(x)ϕ(x) convergent iterative function of order p, then we have to
Then considering
Then
This, using the fact that
f(r)=0, β(r)=0 and β´(r)=0
It turns out that
From this, it follows that
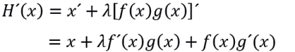
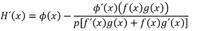
Now performing order derivatives of the function, we obtain pH(x)
and
From the above equalities, it follows that
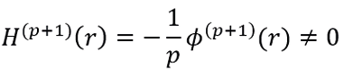
Because
and
because
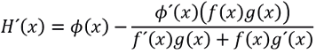
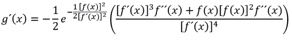
This fact shows that the iterative function has an order of convergence of at least. H(x) p+1
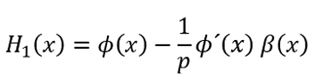
As a colorary, you have to if
Then, the iterative function H(x)takes the form
which has at least the order of convergence p+1.
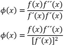
•New Algorithmic Variants of Case 1 of Variational Iteration.
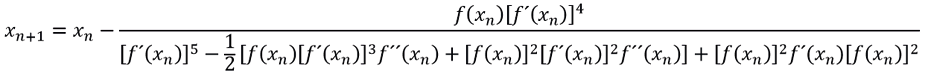
Algorithm 1: Let be the auxiliary function defined then
After performing the substitutions of the functions in the main scheme and performing corresponding algebraic operations for their associated simplification, the new iterative scheme is obtained, which takes the form:
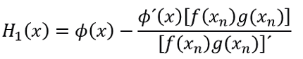
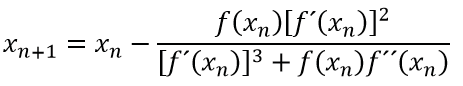
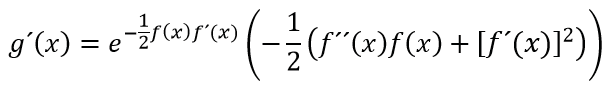
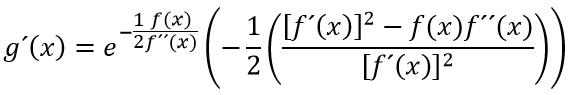
Algorithm 2: Let be the auxiliary function defined then 
By making the corresponding simplifications of the functions involved, it is obtained that the iterative scheme takes the form
• New Algorithmic Variants of Case 2 of Variational Iteration.
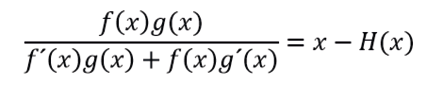
Algorithm 3: Let it be with then
Then the iterative scheme takes the following form
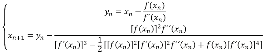
Algorithm 4: Let it be with then
Then the iterative scheme takes the following form
RESULTS
The results obtained illustrate the efficiency of the new methods developed. The comparison is made between Newton’s method and the algorithms created and taking as a fundamental basis the number of iterations to find said root. In addition, base functions, are those functions that were considered in the investigations and which have characteristics of being continuous and differentiable functions. (Cisneros, 2017)(Prieto, 2008)
|
Equation |
Root ( decimal places) |
|
e-x - x3 = 0 |
0.77288295914921012474962935812072828412055969238281 |
|
x - cos x = 0 |
0.73908513321516067229310920083662495017051696777344 |
|
e -x+2 ln x = 0 |
0.79851808532225987402597411346505396068096160888672 |
|
x + sin x - 2 |
1.10606015770627186256547247467096894979476928710938 |
Another aspect of importance in terms of the selection of this type of function is that the continuous treatment of them allows them to show in a very differentiated way the advantages they possess, among them the computational ease when programming in Python or any other programming language. , Python is a high-level language in which all the algorithms developed have been programmed applying the philosophy of Object Oriented Programming (OOP), and in all the stop criteria of the different source codes a tolerance level of. (Severance, 2020) 10e-15
It is evident that to obtain concrete results from algorithms it is transcendental to take into consideration the level of significance for each of the nonlinear equations, in words of is the level of significance in terms of the stopping criterion, is translated as the approximation efficiency that is for the real solution of the nonlinear equation considered. This fact becomes more popular when seeking to minimize the tolerance level, so it is reasonable that the different algorithms built perform a greater number of iterations to reach the established tolerance value. (Herrera & Cisneros, 2022)
Among the main advantages offered by OOP is that the limitations of structured programming are overcome through a programming version where tasks are solved through the collaboration of class objects, which appear as the main elements for instantiation. In this sense, the structuring and systematization of the programming carried out in the different algorithms constitute the fundamental pillar of the applied OOP, even more so when they are called or invoked it contributes significantly to showing results optimally in a shorter period than it would take doing it in the usual way.
The main criterion that ensures the functionality and effectiveness of the various algorithms is the seed value considered to achieve the desired approximation. In all cases, this value was very close to the real solution of each equation, to guarantee a convergence with a smaller number of iterations, as well as its possible modifications or variants from other seed values.
In the process of comparison between the algorithm of Newton’s method and those created, the same seed value is used, as well as the other criteria described above, that is, they all work under the same pre-established conditions, therefore, when the results achieved are equal or superior it means that the proposals of new algorithms for this type of nonlinear equations are efficient and optimal.
In the following table, from the equations described above, the comparison between Newton’s method and the new algorithms constructed is shown, based on the number of iterations required by each iterative method to reach the approximation established according to the corresponding nonlinear equation.
|
Equation |
Seed Value |
Newton’s method |
Algorithm 1 |
Algorithm 2 |
Algorithm 3 |
Algorithm 4 |
|
e-x - x3 = 0 |
0.7 |
4 |
3 |
3 |
4 |
4 |
|
x - cos x = 0 |
4 |
4 |
3 |
4 |
4 |
|
|
e -x+2 ln x = 0 |
4 |
3 |
4 |
4 |
4 |
|
|
x + sin x - 2 |
1.5 |
5 |
4 |
5 |
4 |
5 |
In the four algorithms designed the maximum order of the derivative is 3 because from the construction and deduction that from the established auxiliary function and the main scheme, it is concluded that for computational-mathematical purposes working with derivatives of higher order is not convenient for the number of function evaluations and the computational cost of them.
On the other hand, the number of iterations of the algorithms is directly linked to the type of nonlinear equation to be solved, this fact is manifested in its entirety from the results shown for each equation. Specifically, for equations of exponential type, which from various perspectives are considered as well-behaved equations under the following philosophy, the n - th derivative of it coincides with itself or becomes an expression that involves the original equation and this is extremely valuable because when expressed in the main scheme it allows multiple simplifications.
A new nonlinear equation studied in this research that is not exponential but that undoubtedly has particular and special characteristics is the equation: x+sin x+2=0. In summary, the different comparisons made between Newton’s method and the algorithms are based mainly on the fact that they were all programmed under the same conditions and differing only in their nature.
CONCLUSIONS
The relevant results achieved in this research work are detailed below:
Detailed demonstration of the convergence process associated with each of the variational iteration cases, which is determined directly from the construction and deduction of each main scheme.
Generalization of Newton’s method through the Variational Iteration Technique to generate new schemes and iterative methods, therefore, the 4 algorithms created for the resolution of nonlinear equations are deduced from 2 special cases of this technique.
Relevant auxiliary functions were found, specifically of exponential type and a trigonometric, which contributed to determining the new algorithms that exceed or are equivalent to the order of convergence of Newton’s method.
All the algorithms developed were programmed in the high-level programming language Python, under the philosophy of Object-Oriented Programming (OOP), and in all the stopping criteria of the different source codes a tolerance level of 10e-15 approximately. Each of the algorithms built verified the condition of running in a smaller or equal number of iterations than Newton’s method. This was done to compare optimal algorithms and those that are equivalent (number of iterations) to Newton’s method.
Annexes
1. Declaration and syntax of considered functions
Equation 1
def f(self,x0):
return (self.x0-np.cos(self.x0))
def fd1(self,x0):
return (1+np.sin(self.x0))
def fd2(self,x0):
return (-np.cos(self.x0))
def fd3(self,x0):
return (np.sin(self.x0))
Equation 2
def f(self,x0):
return (self.x0-np.cos(self.x0))
def fd1(self,x0):
return (1+np.sin(self.x0))
def fd2(self,x0):
return (-np.cos(self.x0))
def fd3(self,x0):
return (np.sin(self.x0))
Equation 3
def f(self,x0):
return (np.exp(-self.x0)+2*np.log(self.x0))
def fd1(self,x0):
return (-np.exp(-self.x0)+2/self.x0)
def fd2(self,x0):
return (np.exp(-self.x0)-2/self.x0**2)
def fd3(self,x0):
return (np.exp(-self.x0)+4*self.x0/self.x0**4)
Equation 4
def f(self,x0):
return (self.x0+np.sin(self.x0)-2)
def fd1(self,x0):
return (1+np.cos(self.x0))
def fd2(self,x0):
return (-np.sin(self.x0))
def fd3(self,x0):
return (-np.cos(self.x0))
2. Newton’s Algorithm source code
class Iterativos:
def __init__(self):
pass
def Método_de_Newton(self, x0):
self.x0=x0
account=0
error=10e-25
while True:
xnn=self.x0-self.f(self.x0)/self.fd1(self.x0)
if abs(xnn-self.x0)/xnn<=error:
print(“The solution is obtained in “, conta, “ interactions {:.15f}”.format(xnn))
break
account+=1
self.x0=xnn
return “”
iterative=Iterative(); print(“\nNEWTON METHOD”)
print(iterativos. Método_de_Newton(0.7))
3. Algorithm 1 source code
def AAHH36(self,x0):
account=0
self.x0=x0
while True:
#xnn=xn-(f(xn)*fd1(xn)**4)/(fd1(xn)**5-0.5*f(xn)*fd1(xn)**3*fd2(xn)-0.5*f(xn)**2*fd1(xn)**2*fd3(xn)+f(xn)**2*fd1(xn)*fd2(xn)**2)
xnn=self.x0-(self.f(self.x0)*self.fd1(self.x0)**4)/(self.fd1(self.x0)**5-0.5*self.f(self.x0)*self.fd1(self.x0)**3*self.fd2(self.x0) 0.5*self.f(self.x0)**2*self.fd1(self.x0)**2*self.fd3(self.x0)+self.f(self.x0)**2*self.fd1(self.x0)*self.fd2(self.x0)**2)
if abs(xnn-self.x0)/xnn<=10e-15:
print(“The solution is obtained in “, conta, “ iterations {:.50f}”.format(xnn))
break
account+=1
self.x0=xnn
return “”
4. Algorithm 4 source code
def AAHH54(self,x0):
account=0
self.x0=x0
while True:
#xnn=yn-(f(xn)**2*fd1(xn)**2*fd2(xn))/(fd1(xn)**5-0.5*(f(xn)*fd1(xn)**4-f(xn)**2*fd1(xn)**2*fd2(xn)))
yn=self.x0-self.f(self.x0)/self.fd1(self.x0)
xnn=yn-(self.f(self.x0)**2*self.fd2(self.x0))/(self.fd1(self.x0)**5-0.5*(self.f(self.x0)*self.fd1(self.x0)**4-self.f(self.x0)**2*self.fd1(self.x0)**2*self.fd2(self.x0)))
if abs(xnn-self.x0)/xnn<=10e-15:
print(“The solution is obtained in “, conta, “ iterations {:.50f}”.format(xnn))
break
account+=1
self.x0=xnn
return “”
Work Cited
Cisneros, I. (2017). Algorithms based on Adomian Polynomials and Variational Iteration for solving nonlinear equations. Managua: Unan - Managua.
Diloné, M. (2013). Iterative methods applied to the Kepler equation. Spain: Universidad de la Rioja.
Herrera, A., & Cisneros, I. (2022). Algorithmization for solving nonlinear equations using the variational iteration technique. FAREM Magazine - Estelí. Environment, Technology and Human Development(41), 60-76. https://doi.org/https://doi.org/10.5377/farem.v11i41.13886
Inokuti, M., Sekine, H., & Mura, T. (1978). General Use of the Lagrange Multiplier in Nonlinear Mathematical Physics. Nemat-Nasser, pp. 156-162.
King, R. .. (1973). A family of fourth-order methods for nonlinear equations. SIAM .
Melan, A. (1997). Geometry and Convergence of Euler´s and Halley´s Methods. . SIAM, 728-735.
Noor, K., & Noor, M. (2007). Iterative methods with fourth-order convergence for nonlinear equations. Appl. Math. Comput, 221-227.
Noor, M., Shah, F., Noor, K., & Al-Said, E. (2011). Variational iteration technique for finding multiple roots of nonlinear equations. Sci. Res. Essays, 1344–1350.
Noor, M., Waseem, M., Noor, K., & Al-Said, E. (2012). Variational iteration technique for solving a system of nonlinear equations. . Optim. Lett. DOI: 10. 1007/s11590-012-0479-3.
Prieto, J. (2008). Iterative Methods for Solving Nonlinear Equations. Faculty of Sciences, Universidad de los Andes.
Severance, C. (2020). Python for everyone. Exploring information with Python 3. MI, USA: Ann Arbor.
Shah, F. (2012). Variational iteration technique and Numerical Methods for solving nonlinear equations.
Traub, J. (1964). Iterative Methods for the Solution of Equations. , , . New Jersey, USA.: Prentice-Hall Englewood Cliffs.