

Educación
¿Debería ser tan pequeño el nivel de significancia en una prueba de hipótesis?
Should the significance level in a hypothesis test be so small?
Revista Torreón Universitario
Universidad Nacional Autónoma de Nicaragua-Managua, Nicaragua
ISSN: 2410-5708
ISSN-e: 2313-7215
Periodicidad: Cuatrimestral
vol. 12, núm. 33, 2023
Recepción: 28 Julio 2022
Aprobación: 25 Enero 2023

Resumen:
En sesiones de clase de Estadística y Probabilidad en el contenido de Pruebas de Hipótesis se le hace la siguiente pregunta al profesor: ¿por qué utilizar un nivel de significancia tan pequeño en la mayoría de los ejercicios propuestos? El profesor responde: “para estar casi 100% seguros”, una respuesta casi similar a la que brindan las bibliografías relacionadas al tema, pero en este estudio se abre una crítica u observación de que es poco adecuada esa respuesta y al contrario no debería ser tan pequeño ese nivel de significancia. El presente documento tiene como objetivo reflexionar acerca de la forma en que enseñamos en la Estadística y Probabilidad el contenido de Prueba de Hipótesis o sustentar este vacío del conocimiento que se encuentra presente y no se aborda en ningún libro, en base a las consultas exhaustivas realizadas en las bibliografías Matemáticas y Estadísticas con Probabilidades en las bibliotecas virtuales del sistema bibliotecario de las universidades inscritas al CNU (Consejo Nacional de Universidades), Biblioteca Central de la UNAN-Managua y bibliotecas virtuales de otras universidades internacionales. La bibliografía relacionada a este contenido critico es muy escasa ya que la propuesta de revisión es una idea original del autor en este artículo estudio. Esto también puede ser argumentado por la doctora en Matemática y Estadística Elisa Cabana en artículo ¿Por qué un nivel de significancia de 0.05? (Cabana, 2021), donde expresa que no hay base científica para las elecciones hechas por Fisher (Matemático Inglés) en sus textos sobre la distribución Normal. Dentro del proceso de pruebas de hipótesis se consideran los tipos de hipótesis y los métodos diferentes a utilizar para determinar si una hipótesis es rechazada o no hay suficiente argumento para aceptarla. En todos estos procesos se considera el nivel de significancia (muchas veces representado por la letra griega Alpha ()) como un valor entre 1%, 5% o 10% (Harcet y otros, 2014, pág. 101). El valor de significancia es la representación en área de la región de rechazo en una curva Gaussiana. Las pruebas de hipótesis están relacionadas a los intervalos de confianza los cuales apoyan la decisión de rechazar la hipótesis nula si el valor que se presume para la media poblacional está fuera del intervalo de confianza con un nivel de significancia del %. En este documento se brindarán algunos ejemplos resueltos para apoyar el análisis de la situación que se plantea. Entonces un nivel de significancia muy pequeño solo nos abre un abanico muy amplio para realizar inferencia o estimación sobre la media poblacional a partir de la media muestral de una variable aleatoria. Por tanto, la consideración que se aborda y plantea en este documento es la utilización de un >10% para rodear de manera más precisa a la media poblacional y así poder inferir o estimar con mayor precisión y seguridad al valor de la media poblacional.
Palabras clave: pruebas, hipótesis, nivel, significancia, región.
Abstract:
In class sessions of Statistics and Probability in the content of Hypothesis Testing, the following question is asked to the professor: why use such a small significance level in most of the proposed exercises? The teacher answers: "to be almost 100% sure", an answer almost similar to the one given in the bibliographies related to the subject, but in this study a criticism or observation is made to the effect that this answer is inadequate and, on the contrary, the significance level should not be so small. The objective of this document is to reflect about the way in which we teach in Statistics and Probability the content of Hypothesis Testing or to support this gap of knowledge that is present and is not addressed in any book, based on the exhaustive consultations made in the bibliographies Mathematics and Statistics with Probabilities in the virtual libraries of the library system of the universities registered to the CNU (National Council of Universities), Central Library of the UNAN-Managua and virtual libraries of other international universities. The bibliography related to this critical content is very scarce since the revision proposal is an original idea of the author in this study article. This can also be argued by the PhD in Mathematics and Statistics Elisa Cabana in article Why a significance level of 0.05? (Cabana, 2021), where she expresses that there is no scientific basis for the choices made by Fisher (English Mathematician) in his texts on the Normal distribution. Within the process of hypothesis testing, the types of hypotheses and the different methods to be used to determine whether a hypothesis is rejected or there is not enough argument to accept it are considered. In all these processes the significance level (many times represented by the Greek letter Alpha (α)) is considered as a value between 1%, 5% or 10% (Harcet, Heinrichs, Seiler, & Torres Skoumal, 2014, p. 101). The significance value is the representation in area of the rejection region on a Gaussian curve. Hypothesis testing is related to confidence intervals which support the decision to reject the null hypothesis if the presumed value for the population mean is outside the confidence interval with a significance level of α%. This paper will provide some solved examples to support the analysis of the situation at hand. So a very small significance level only opens a very wide range to make inference or estimation about the population mean from the sample mean of a random variable. Therefore, the consideration addressed and proposed in this paper is the use of an α>10% to surround more precisely the population mean and thus be able to infer or estimate more accurately and safely the value of the population mean.
Keywords: testing, hypothesis, significance, level, region.
Introducción
Pruebas de hipótesis
El establecimiento y la comprobación de hipótesis es una parte esencial de los estudios estadísticos. Para formular una prueba de este tipo, normalmente se propone una teoría, la cual aún no se ha demostrado que sea cierta. Por ejemplo, supongamos que se ha afirmado de que un nuevo fármaco para ayudar a combatir la infección funciona mejor que el actual. Queremos establecer y probar una hipótesis para determinar si esta afirmación es cierta.
Las pruebas de hipótesis siempre comienzan con una afirmación sobre un parámetro de la población. En general, cuando se discuten las hipótesis se consideran dos afirmaciones que son directamente contradictorias entre sí. El proceso de comprobación de las hipótesis nos proporciona argumentos de por qué una determinada hipótesis puede ser aceptada o rechazada.
La hipótesis planteada se llama hipótesis nula y la denotamos por H0 y la hipótesis alternativa afirma lo contrario y se denota por H1.
Consideremos un ejemplo sobre unos pollos de engorde. Supongamos que los datos de años anteriores indican que el peso medio de la población de pollos de engorde es de 2 kg. Queremos estimar el peso medio de los pollos de engorde de este año, y para ello tomamos una muestra de cierto tamaño. La media de la muestra es de 2,0 kg. La hipótesis nula siempre afirma que no hay cambios, es decir, que el peso medio de los pollos de engorde este año es también de 2 kg. Lo escribimos como (donde es la media poblacional y es la media muestral.)
La hipótesis alternativa puede tener diferentes enunciados en función del tipo de prueba que queramos realizar.
Hay dos tipos de pruebas de hipótesis y tres tipos de hipótesis alternativas
i. Prueba de dos colas : en el ejemplo significa que el peso medio de los pollos es diferente de 2 kg.

ii. Prueba de una cola superior : el peso medio de los pollos es mayor a 2 kg.

iii. Prueba de una cola inferior : el peso medio de los pollos es menor a 2 kg.

También debemos decidir qué nivel de significación, α, necesitamos para concluir que una determinada hipótesis es aceptada, con de certeza. El nivel de significación está directamente relacionado con el intervalo de confianza, por lo que si estamos seguros al 95% de que el valor medio está en el intervalo de confianza podemos aceptar la hipótesis nula con un nivel de significación del 5% de la prueba.
Los niveles de significancia usualmente son 1%, 5% y 10%. Al calcular los estadísticos de prueba, al igual que calcular los intervalos de confianza, se utiliza los estadísticos z sino el estadístico -t. Utilizaremos el estadístico -z cuando la varianza sea conocida, y el estadístico -t cuando la varianza es desconocida (independientemente del tamaño de la muestra, en este estudio no hace relevancia a este último).
El valor crítico es el valor z o el valor t encontrado en el nivel de significación de la prueba. Si el valor z o t de la prueba se encuentra fuera de la llamada región de aceptación, rechazamos la hipótesis nula, en caso contrario, no la rechazamos.
El valor p es la probabilidad de que el parámetro que investigamos (es decir, la media) se encuentre dentro de la región de rechazo, dado que la hipótesis nula es verdadera. Si el valor p es mayor que el nivel de significación no podemos decir que aceptamos la hipótesis nula, sino que decimos que "no tenemos pruebas suficientes para rechazar", o simplemente "no rechazamos", la hipótesis nula.
Paso 1. Establecer la hipótesis nula y alternativa
Paso 2. Establecer un criterio para una decisión
Paso 3. Calcular los estadísticos necesarios
Paso 4. Decidir o tomar una decisión en base a los estadísticos calculados y criterios de decisión.
Nivel de significancia
El nivel de significación es el límite para juzgar un resultado como estadísticamente significativo. Si el valor de significación es menor que el nivel de significación, se considera que el resultado es estadísticamente significativo. El nivel de significación también se conoce como el nivel alfa. (Cognos Analytics, 2021)
Pruebas de hipótesis para cuando la media y la desviación es conocida
Como en el cálculo de los intervalos de confianza, utilizamos z-estadístico en pruebas de hipótesis. Vamos a ver un ejemplo en el cual lo relacionaremos con el intervalo de confianza.
A continuación, se presentará un par de ejemplos en la parte de desarrollo, con los métodos que indican las bibliografías, en los cuales se aborda el análisis y conclusión de la misma.
Desarrollo
EJEMPLO 1
Se sabe que el tiempo de secado de un tipo de pintura para coches tiene una distribución normal con una media de 75 minutos y una desviación estándar de 9 minutos. Los pintores de coches de una empresa automovilística han descubierto un aditivo que acorta el tiempo de secado. Sin embargo, si la empresa aprueba el uso de este aditivo, el coste de pintar un coche aumentará naturalmente. No lo aprobarán a menos que tengan pruebas sólidas de que el aditivo reduce el tiempo de secado. Una prueba en 49 coches nuevos dio un tiempo medio de secado de 72 minutos[a].
Usando un nivel de significancia del 5%, ¿Qué le recomendarías a la empresa?
Solución
Establecemos las hipótesis nula y afirmativa

Utilizando la calculadora Texas Instrument, obtenemos los siguientes resultados:

Realizando las comparaciones del valor - p probabilístico con en el nivel de significancia
0.0098<0.05
Como este valor es inferior al 5%, rechazamos la hipótesis nula y concluimos que tenemos pruebas suficientes de que el tiempo medio de secado es inferior a 75 minutos. Por lo tanto, la empresa puede seguir adelante y empezar a utilizar el aditivo.
EJEMPLO 2
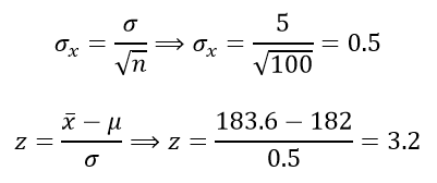
En cierto país se cree que la altura media de la población de hombres es 182 cm y la desviación estándar de 5 cm. Una muestra aleatoria de 100 hombres fue tomada de la población y la altura media encontrada fue de 183.6 cm.[b]
Establezca la hipótesis nula y alternativa
Use una prueba de dos colas con un nivel de significancia del 10% para decidir si la afirmación es verdadera o no.
Solución A
Nuestra hipótesis nula H0 es mantener la afirmación de que la media poblacional () es de 182 cm expresándose de la siguiente manera:
La hipótesis alternativa plantea lo contrario a la hipótesis nula, en este caso como se pide una prueba de dos colas se establece como:
Gráficamente con un nivel de significación del 10% esto quiere decir lo siguiente

Realizando una estandarización para z donde y tenemos lo siguiente:
La desviación estándar muestral se calcula de la siguiente manera

Dado que , es la región de rechazo repartida en las dos colas,

El valor de estandarizado de para un área de 0.05 es
Por su simetría , se procede a comparar z y z1 , resultando respectivamente la comparación 3.2>1.645, gráficamente lo podemos ver así

El valor de z=3.2 que es la estandarización de 197.5 queda fuera de la región de aceptación por lo que la hipótesis nula se rechaza a un nivel de significancia del 10%.
Esta conclusión podemos hacerla extensiva a los intervalos de confianza. En el ejemplo anterior al regresar la estandarización a la variable aleatoria X se observa así

Realizando el cálculo de intervalos de confianza en esta situación aplicando el uso de la calculadora estadística obtenemos la siguiente información.

El intervalo de confianza nos confirma una vez más que la hipótesis nula establecida se debe rechazar dado que lo que se cree como media poblacional () está fuera del intervalo de confianza (182.78,184.42).
Es sabido que en un intervalo de confianza entre más grande sea el tamaño de la muestra más inferencia precisa se realizará sobre la media poblacional de una variable aleatoria que se estudia, como por ejemplo, se realiza una encuesta en un determinado país, entre más personas integremos a la encuesta más preciso será el valor de la media muestral de una variable aleatoria en estudio hacia la media de toda la población de esa variable aleatoria
Se procede a revisar el siguiente ejemplo número tres.
EJEMPLO 3
Cuando comparamos el valor p con cada uno de los niveles de significación comunes (1%, 5% y 10%), concluimos que rechazamos la hipótesis nula en los tres niveles de significación, ya que 0,0037 es menor que todos y cada uno de ellos.
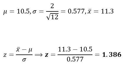
Después de una noche de lluvia, 12 lombrices han salido a la superficie en la tierra. Sus longitudes, medidas en cm, eran las siguientes: 12.0, 11.1, 10.5, 10.8, 12.1, 10.4, 10.9, 12.2, 10.9, 11.9, 11.12, 11.6. Se sabe que las lombrices proceden de una población que sigue una distribución normal con el valor promedio de 10,5 cm y una desviación estándar de 2 cm. Se cree que las lombrices están aumentando de tamaño[c].
Indique las hipótesis nula y alternativa
Utilice una prueba superior de una cola al nivel de significación del 5% para decidir si la afirmación es verdadera o no.
Solución
es la creencia de que las lombrices están aumentando en su tamaño
Solución B

El valor de z critico dado que es en una cola tiene como valor
Comparando , 1.645>1.386 con esto se concluye que no tenemos suficiente evidencia para rechazar la hipótesis nula con un nivel de significancia del 5%.
Revisando el problema por el método de p, obtenemos utilizando la calculadora estadística, Texas instrument

Realizando la comparación de p y , resulta 0.0829>0.05, podemos concluir en el problema que no tenemos suficiente evidencia para rechazar la hipótesis.
El ejemplo finaliza hasta aquí.
¡Pero analicemos un poco más a fondo el asunto!
Ahora agreguemos a este ejemplo anterior un tercer inciso con el siguiente enunciado
c. Ahora utilice un nivel de significancia del 10% y realice nuevamente las comparaciones y criterio de conclusión
Para darle solución, al efectuar las comparaciones resulta tener: 0.0829<0.10, en este caso cambia la conclusión a rechazar la hipótesis nula, y así se mantiene para todos los casos donde el nivel de significancia es mayor al 10%.
Conclusiones
Mantener un nivel significancia Alpha entre el rango de 1%-9% es completamente poco óptimo para la inferencia de un parámetro como la media muestral hacia la media poblacional. En el ejemplo 2 del desarrollo podemos observar que si cambiamos el nivel de significancia a un , la conclusión en el problema cambia a rechazar rotundamente la hipótesis nula y esta decisión se mantendría para cualquier nivel de significancia mayor a 10%. Esto podemos interpretarlo como si tuviéramos un abanico amplio de opciones para inferir en la media poblacional y cualquiera que sea la propuesta sería aceptada, mientras que un nivel de significancia no tan pequeño defínase mayor al 10% reduce esas múltiples opciones a un abanico más pequeño donde podemos inferir de manera más precisa o cercana a la media poblacional. Podemos también verlo con este ejemplo: si te digo que pienso en un número del 1 al 1000 y que me digas cuál es ese número, tu respuesta quizás sería poco asertiva para inferir en el número que pienso, mientras, que si te digo que pienso en un número entre 1al 5 tu respuesta estaría más cerca o exactamente das con el número que tengo en mente.
En base al artículo de la doctora Cabana, donde expresa: “que estos valores de significancia no pueden ser ni arbitrarios ni convenidos. Aunque en la comunidad científica por lo general en muchos campos se utiliza el valor estándar, posiblemente porque es un tema aun a día hoy debatido…” (Cabana, 2021) Es por eso por lo que no podemos mantener la teoría de que el nivel de significancia debe estar entre 1% y 10%, al contrario, si se desea inferir fielmente a la media poblacional debemos elegir un nivel de significancia mayor o igual al 10% y no quedarnos con esos valores de nivel de significancia muy bajos.
El tener un nivel de significancia muy pequeño más bien genera mucha confianza, lo cual en este tipo de situaciones no sería correcto ser muy confiados, pues aceptaríamos cualquier propuesta que se brinde por ser demasiado confiados.
Se abre el debate, propuestas y análisis para las personas que revisen este documento.
Referencias
Cabana, E. (octubre de 2021). Aprende con Eli. Porqué el nivel de significación es 0..05?: https://aprendeconeli.com/por-que-nivel-significacion-005/
Cognos Analytics. (31 de agosto de 2021). IBM Cognos Analytics.https://www.ibm.com/docs/es/cognos-analytics/11.1.0?topic=terms-significance-level
Harcet, J., Heinrichs, L., Seiler, P. M., & Torres Skoumal, M. (2014). Mathematics Higher Level, STATISTICS. Great Britain: Oxford University Press.
Quinn, C., Blythe, P., Haese, R., & Haese, M. (2013). Mathematics for the International Students Mathematics HL (Option) Statistics and Probability. Australia: Haese & Harris Publications 2013.
Notas

