

Ciencias sociales, Educación comercial y Derecho
El crédito y el crecimiento económico en Nicaragua en el período 2011-2021
Credit and economic growth in Nicaragua in the period 2011-2021
Revista Torreón Universitario
Universidad Nacional Autónoma de Nicaragua-Managua, Nicaragua
ISSN: 2410-5708
ISSN-e: 2313-7215
Periodicidad: Cuatrimestral
vol. 11, núm. 32, 2022
Recepción: 17 Marzo 2022
Aprobación: 04 Agosto 2022

Resumen:
En este estudio se pretende realizar un análisis de la relación entre el crédito otorgado por el sistema financiero nacional y el crecimiento económico medido mediante el Producto Interno Bruto (PIB) en Nicaragua en el periodo 2011 al 2021. En la última década la cartera de crédito bruta ha representado en promedio el 32.11% del PIB de Nicaragua y en el año 2017 esta misma relación representó el 40%, lo que permite inferir en que el crecimiento económico depende de los niveles de crédito que se otorguen dentro de la economía. Para determinar el grado de relación que existe entre las variables se utilizó el modelo de correlación de Pearson que permita conocer la relación que existe entre ambas variables, que en este caso sería el Producto Interno Bruto visto desde el enfoque de la producción y la cartera de crédito bruta del sistema financiero, teniendo en cuenta que existe una relación lineal entre las variables. Como resultado se obtuvo que existe un grado de relación altamente significativo entre ambas variables, lo que indica que en la medida que la cartera de crédito crece de igual manera lo hace el PIB, dependiendo significativamente el crecimiento económico de los niveles de créditos otorgados dentro de la economía, siendo este crecimiento susceptible a eventos exógenos los cuales modifican el rumbo del crecimiento económico.
Palabras clave: PIB, crédito, crecimiento económico.
Abstract:
This study aims to carry out an analysis of the relationship between the credit granted by the national financial system and economic growth measured by the Gross Domestic Product (GDP) in Nicaragua in the period 2011 to 2021. In the last decade, the gross credit portfolio has represented an average of 32.11% of Nicaragua's GDP and in 2017 this same ratio represented 40%, which allows us to infer that economic growth depends on the levels of credit that are provide within the economy. To determine the degree of relationship that exists between the variables, the Pearson correlation model was used, which allows knowing the relationship that exists between both variables, which in this case would be the Gross Domestic Product seen from the production and portfolio approach. gross credit of the financial system, taking into account that there is a linear relationship between the variables. As a result, it was obtained that there is a highly significant degree of relationship between both variables, which indicates that to the extent that the credit portfolio grows in the same way, so does the GDP, with economic growth depending significantly on the levels of credits granted within the economy, this growth being susceptible to exogenous events which modify the course of economic growth.
Keywords: GDP, credit, economic growth.
1. Introducción
En la última década Nicaragua ha mostrado un crecimiento económico importante, esto se ha logrado mediante las gestiones macroeconómicas aplicadas, lo que a su vez ha ayudado al crecimiento de la inversión extranjera y al desarrollo de pequeños proyectos en los diferentes sectores de la economía, promoviendo así, el desarrollo económico local y nacional.
Al hablar de crecimiento económico, resulta importante mencionar la relevancia que tienen los créditos otorgados por el sector financiero en los diferentes sectores de la economía del país. El crédito ha sido una base fundamental para el desarrollo, avance tecnológico y expansión de pequeñas y medianas empresas, que con su producción contribuyen a mejorar la economía del país; incidiendo de manera positiva en los indicadores económicos como el nivel de PIB que refleja directamente el crecimiento económico del país, PIB per cápita y la tasa de desempleo.
El propósito de la investigación es determinar el nivel de relación que existe entre la cartera de crédito del sistema financiero nacional y el crecimiento económico medido desde el PIB determinado mediante enfoque de la producción. Para ello se utilizaron estadísticas del Banco Central de Nicaragua (BCN) de la última década comprendida entre los años 2011 y 2021, tales como: tasas de crecimiento del PIB, PIB nominal y real desde el enfoque de la producción, la cartera de crédito bruta por sector, actividad y montos del sistema financiero nacional.
Los datos estadísticos proporcionados por el Banco Central de Nicaragua son la principal fuente de información para determinar el grado de relación entre las variables en estudio mediante el Coeficiente de Correlación de Pearson.
2. Desarrollo
2.1. El Producto Interno Bruto
De acuerdo al Banco Central de Nicaragua (BCN), el Producto Interno Bruto (PIB) es aquel que: “reúne toda la actividad económica generada de un país; es decir, la producción total de bienes y servicios finales producidos en una economía durante un año” (2012, p.1). Es decir, toda la actividad económica que proviene de fuentes nicaragüenses originadas y terminadas dentro del país.
El PIB es calculado por el Banco Central de Nicaragua para conocer el crecimiento económico del país al término de un año, los agentes económicos contribuyen de manera directa al crecimiento económico, a través de la inversión, el empleo y la producción.
El PIB se determina en términos monetarios nominales y reales. El PIB real de acuerdo al Banco Central de Nicaragua; “indica que la valoración de los distintos componentes del PIB fue realizada utilizando los precios de un año especifico al cual se le denomina año Base” (p.3). Para seleccionar el año base para determinar el PIB real, se debe de tomar en cuenta que las condiciones macroeconómicas de ese año hayan sido las más estables, en el caso de Nicaragua el año base que se utiliza para determinar el PIB real es el año 2006. Mientras que el PIB nominal se determina utilizando los precios vigentes de cada año.
Ante las definiciones de PIB real y nominal es importante tener en cuenta que ambos se miden en términos monetarios, es por ello que variables como la inflación pueden tener efectos en el PIB nominal al reflejar los incrementos interanuales de precios, aunque el PIB en realidad no haya tenido variación, para dar una solución a esto se determina el PIB real deflactando el PIB nominal.
El deflactor del PIB es un índice utilizado para conocer la parte del crecimiento de una economía que se debe al aumento de precios, y de esta manera conocer el crecimiento económico real que ha tenido un país.
Además del PIB, el BCN determina el nivel de bienestar de la población mediante el PIB per cápita, es decir por persona, este se calcula de la siguiente manera:

Los países con altos índices de PIB per cápita, por lo general tienen un mayor nivel de crecimiento económico, por ello resulta tan importante el crédito para el desarrollo de una economía, puesto que estimulan la producción, la inversión y por ende el empleo.

A como se puede apreciar en la Figura 1, el PIB real en Nicaragua había mostrado un crecimiento promedio de 5.1% entre los años 2011 y 2017, pero con los acontecimientos ocurridos en el año 2018, esta tasa de crecimiento cayo radicalmente a un -3.4% para ese año, manteniendo ese comportamiento en el año 2019 y 2020 tras los estragos de la pandemia y fenómenos naturales como los huracanes IOTA y ETA, pero gracias a la buena gestión macroeconómica y el esfuerzo de todos los sectores de la economía el PIB mostro en el año 2021 un cambio favorable.
2.2. Comportamiento del crédito y el PIB en el período 2011-2021
El crédito ha tenido un comportamiento similar al del PIB, el cual mostro una reducción drástica a partir de los hechos que acontecieron en el 2018, hechos que desestabilizaron la economía del país y a su vez provocaron a una contracción del crédito y escepticismo del publico ahorrante de las diferentes entidades bancarias del país, provocando una menor captación de fondos por parte de los bancos, además estos hechos promovieron un incremento en los niveles de desempleo, lo que incidido de manera radical en los cambios en las condiciones para el otorgamiento del crédito tanto para consumo, así como también para aquellos dirigidos a las pequeñas y medianas empresas.

En la figura 1 y 2 se puede observar el comportamiento del PIB y la cartera de crédito, mostrando que su comportamiento tiende a seguir el mismo patrón, en cuanto a los incrementos y disminuciones de ambas variables, siendo variables relacionadas linealmente.
Los créditos son otorgados a sectores de la económica tales como; comercio, agricultura, ganadería industria y créditos personales. Estos créditos ayudan a dinamizar la economía y a mejorar las condiciones de vida de las personas, permitiéndoles el acceso a viviendas, vehículos, salud, educación, entre otros.
En la última década comprendida desde el año 2011 hasta el año 2021, el comportamiento de los créditos otorgados ha sido constante, en cuanto a la composición en las categorías de los créditos otorgados, teniendo como principal destino de financiamiento el sector comercial con un 35% del total de la cartera, seguido de los créditos personales con un 16% y vivienda un 14%. En la figura 3, se puede apreciar la distribución de la cartera de crédito bruta promedio de los últimos 10 años.

El crédito llego a representar en el año 2017 el 40.35% del PIB nominal, esta relación se realizó calculando la proporción cartera de crédito bruta versus el PIB nominal, se tomó como base de cálculo el PIB nominal debido a que la cartera de crédito está calculada y registrada a precios de cada año dado. (Ver figura 4)
Al realizar este análisis se puede apreciar la importancia que tiene el crédito para el crecimiento económico de un país, y sobre todo en Nicaragua, donde actualmente surgen pequeñas y medianas empresas que requieren de capital para crecer, expandirse y mantenerse en el mercado. En este sentido la cartera de crédito bruta está en primer lugar orientada al sector comercial, aquí es importante mencionar, que de igual manera es el sector comercial quien representa el mayor peso del PIB del país.

2.3. Relación del crédito del sistema financiero y el crecimiento económico en Nicaragua
2.3.1. Modelo de Correlación de Pearson.
Con los análisis realizados anteriormente se puede apreciar que existe una relación entre el comportamiento de la cartera de crédito y el crecimiento económico del país. Para poder medir y determinar el grado de relación que existe entre ambas variables, se aplicara el modelo de correlación de Pearson.
Para Morales el modelo de Correlación de Pearson “Expresa en qué grado los sujetos tienen el mismo orden en dos variables” (2011, p.1). El coeficiente de correlación permite medir el grado de relación que tienen dos variables cuantitativas desde el enfoque estadístico.
Para utilizar el modelo de correlación de Pearson ambas variables deben de estar relacionadas de manera lineal, es decir que ambas variables se muevan en la misma dirección a un ritmo constante, puede que ambas variables no incrementen en igual proporción, pero si en la misma dirección.
Para aplicar este modelo y medir la relación entre el crédito del sistema financiero y el crecimiento económico desde el PIB, primero se representa la relación que existe entre ambas variables. En la figura 5 se puede apreciar que ambas se mueven en la misma dirección teniendo una relación lineal alta según el cálculo de la pendiente y de r2


2.3.2. Aplicación del Modelo de Correlación de Pearson.
Una vez que se determinó que existe una relación lineal entre las variables cartera de crédito y PIB, se aplica el modelo de correlación de Pearson el que se determina de la siguiente manera desde el método de puntuación directa:


En la siguiente tabla se determinan las variables antes descritas.

De donde:
1. Con los cálculos realizados en la tabla anterior, se determina la media de X e Y

2. Una vez que se determinó la media de X e Y, se determina el valor de la desviación estándar de X e Y

3. Determinada la desviación estándar de ambas variables, se procede a calcular el Coeficiente de Correlación de Pearson.


El Coeficiente de Correlación de Pearson oscila entre -1 y +1, en este caso el coeficiente de correlación da como resultado 0.99568, lo que indica que ambas variables están correlacionadas significativamente y cualquier cambio en una de las variables tiene incidencia directa en la otra.
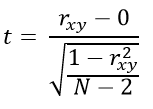
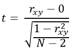
Debido a que existe la posibilidad de que el resultado obtenido del Coeficiente de Correlación de Pearson sea un evento del azar, se determinara el grado de significación del Coeficiente el cual está dado por:

Donde: : Coeficiente de correlación, y se plantean las siguientes hipótesis:
Aplicando el modelo de significación tenemos que:

Como resultado de t calculado tenemos 30.5, al buscar en la tabla de la distribución t de Student con un α de 0.05 y 10 – 2 = 8 grados de libertad, siendo 10 los años observados en la investigación, tenemos como t teórico t= 2.306,
Al comparar t calculada y t teórico se puede decir que:
t calculada 30.5 > t teórico 2.306 por tanto se rechaza la H0 con un riesgo máximo de error de 0.05, la correlación obtenida en el coeficiente de Pearson de 0.9956 se confirma y ambas variables están significativamente relacionadas.
3. Conclusiones
Nicaragua es un país que ha mostrado una de las mejores tasas de crecimiento económico en la región latinoamericana, crecimiento que se vio afectado por los acontecimientos sociales del año 2018, ralentizando el crecimiento económico del país.
El financiamiento ha sido parte fundamental en el crecimiento económico del país, por medio del cual las pequeñas y medianas empresas logran incrementar su producción, expandirse y generar nuevas fuentes de empleos y como consecuencia dinamiza la economía, permitiendo el acceso a la compra y venta de bienes y servicios.
Al aplicar el modelo de correlación de Pearson se determinó que el crecimiento económico medido desde el PIB está estrechamente ligado con el financiamiento que otorga el sistema financiero, por lo que se puede decir que un cambio en esta variable incide de manera directa en los niveles de PIB y por ende sus efectos en la economía del país.
Con un resultado de 0.99568, el nivel de correlación que existe entre el crédito y el crecimiento económico es directamente significativo, esto se logró apreciar en el año 2018 y 2019, años en los cuales el crédito se contrajo y los diferentes sectores de la economía dejaron de recibir total o parcialmente financiamiento, los bancos y financieras establecieron condiciones muy restrictivas en el acceso al crédito, lo que dejaba fuera a muchas empresas, así como también a personas naturales. Tales efectos se vieron reflejados en la tasa de crecimiento económico de esos años.
El crédito y el crecimiento económico van de la mano, por tanto, es importante promover medidas que faciliten la estabilidad económica, para que ambas variables sigan una tendencia positiva, lo que se traduce a crecimiento económico y bienestar de un país.
Referencias bibliográficas
Astudillo, M. y Paniagua, J. (2012). Fundamentos de Economía. México: Universidad Nacional Autónoma de México.
Banco Central de Nicaragua. (2012). Cuadernillos Económicos. Obtenido de https://www.bcn.gob.ni/sites/default//files/programas_educativos/educacion_economica/cuadernillos/Que_es_el_PIB.pdf
Gregorio, J. (2012). Macroeconomía. Teoría y Políticas. Santiago de Chile: Pearson-Educación.
Morales, A. y Morales. J. (2014). Crédito y Cobranza. México: Grupo Editorial Patria, S.A. de C.V.
Morales, P. (2011). El coeficiente de correlación. Obtenido de https://ice.unizar.es/sites/ice.unizar.es/files/users/leteo/materiales/01._documento_1_correlaciones.pdf

