

Ciencias sociales, Educación comercial y Derecho
Modelo para la valoración de la calidad de vida: un análisis en teletrabajo o trabajo en casa conceptualizado en épocas de Covid-19
Model for the assessment of quality of life: an analysis in telework or work at home conceptualized in Covid-19 times
Revista Torreón Universitario
Universidad Nacional Autónoma de Nicaragua-Managua, Nicaragua
ISSN: 2410-5708
ISSN-e: 2313-7215
Periodicidad: Cuatrimestral
vol. 11, núm. 32, 2022
Recepción: 15 Febrero 2022
Aprobación: 31 Agosto 2022

Resumen: El entorno laboral es, sin duda, un aspecto trascendental en la vida de cada individuo por su influencia en aspectos sociales, participación comunitaria, relaciones interpersonales, desarrollo individualista y económico, pero, al convertirse en una obligación de tipo parcial no debería ser un aspecto negativo, más bien, reconfortante, con la finalidad de que la posible coacción psicofísica no influya negativamente en la calidad de vida. Por aquello, la investigación tiene por objetivo: proponer un modelo de valoración de la calidad de vida de los trabajadores que se encuentren bajo teletrabajo o trabajo en casa, adicional a esto, promover un modelo estadístico en R que facilite la interpretación y análisis, con esto, la empresa que lo realice podrá formular planteamientos correctivos que permita mejorar el nivel de satisfacción del personal, con ello, el desempeño y productividad laboral. La metodología usada corresponde a una verificación inicial de fiabilidad con Alfa de Cronbach y para determinar la vía de las particularidades incidentes se usará Árboles de clasificación y regresión: CARTS. Los resultados han sido gratificantes para el instrumento, el nivel de confiabilidad se encuentra en el estándar ideal y las particularidades indican coherencia idónea, las empresas que busquen conocer la situacionalidad de sus trabajadores en modalidad trabajo en casa o teletrabajo y, con esto, forjar factores que incidan en la mejora continua organizacional, es importante enfatizar que el instrumento podrán usarse en todo tipo de organización sin discriminación alguna.
Palabras clave: Árboles de decisión, Calidad de vida, Covid-19, Satisfacción laboral, Teletrabajo, Trabajo en casa.
Abstract: The work environment is, undoubtedly, a transcendental aspect in the life of everyone for its influence in social aspects, community participation, interpersonal relationships, individualistic and economic development, but, when becoming an obligation of partial type should not be a negative aspect, rather, comforting, with the purpose that the possible psychophysical coercion does not influence negatively in the quality of life. Therefore, the research aims to propose a model for assessing the quality of life of workers who are under telework or work at home, in addition to this, to promote a statistical model in R that facilitates the interpretation and analysis, with this, the company that performs it may formulate corrective approaches to improve the level of staff satisfaction, thus, performance and labor productivity. The methodology used corresponds to an initial reliability check with Cronbach's Alpha and to determine the path of the incident particularities we will use Classification and Regression Trees: CARTS. The results have been gratifying for the instrument, the level of reliability is in the ideal standard and the particularities indicate suitable coherence, the companies that seek to know the situationality of their workers in modality work at home or telework and, with this, to forge factors that influence in the continuous organizational improvement, it is important to emphasize that the instrument can be used in any type of organization without any discrimination.
Keywords: Decision trees, Quality of life, Covid-19, Job satisfaction, Telecommuting, Telework, Work at home.
INTRODUCCIÓN
El fenómeno del trabajo en casa no es nuevo, ya tiene premisas palpables desde la década pasada; sin embargo, ahora se ha convertido en una estrategia alternativa para la mayoría de las empresas debido a la actual pandemia concebida por el Covid-19, además de impactar en la salud, también ha influenciado en la vida social y económica de las personas (Haro, 2021).
Desde una perspectiva colectiva todo tiene dos caras, esto ocurre con el teletrabajo y trabajo en casa, una de las opiniones es que faculta a mantener la continuidad en la operabilidad de la empresa y permite el equilibrio entre el trabajo y la vida social, además argumentan que esta modalidad es flexible y ayuda a pasar más tiempo con la familia, en la parte económica enfatiza que ayuda a ahorrar dinero y tiempo de movilización. Mientras que, por otra parte, la opinión sobre que la productividad de los empleados se ve comprometida, y las horas de trabajo se extienden, profundiza en un reto, es decir, la relación trabajo-familia afije un desafío personal que en algunos casos disminuye el rendimiento laboral (Kumar et al., 2021).
Dentro de las predisposiciones existentes de reestructuración empresarial y organizacional, surge el concepto de flexibilización laboral, el cual ha inducido significativas evoluciones tanto a nivel social, económico y jurídico, involucran convenciones diversas de vinculación laboral, amplificación o reducción de jornadas de trabajo y nuevas modalidades para la ejecución. Mediante esta nueva particularidad denominada “flexibilización laboral”, pretende brindar nuevas oportunidades laborales, reducir costos, disminuir tiempos de movilización y desplazamiento e indudablemente, aumentar la productividad en las empresas. Las modalidades con mayor influencia y que cada vez cuenta con más partidarios, es lo que se ha denominado “trabajo en casa” y “teletrabajo” (Castellanos et al., 2014). Este enfoque no es nuevo en el mundo, se introdujo por primera vez a mediados de la década de 1970 después de la crisis energética de América del Norte y aumentó significativamente desde la década de 1980 hasta 1990 gracias al desarrollo de las Tecnologías de la Información y la Comunicación (TIC), esencialmente en los Estados Unidos, Europa y algunos países de América Latina (Fabregat y Gallego, 2002)
Globalmente, el teletrabajo es visto como una conformidad para forjar empleo, inclusive para personas vulnerables; en el caso de América Latina, no todos los países lo han reglamentado, en Colombia, diversas iniciativas han surgido para normalizar y estandarizar esta modalidad, es decir, se trata que se incluya como otro tipo de trabajo en el que empleadores y empleados apliquen conjuntamente los derechos y obligaciones de la legislación laboral (Moreno, 2017; Rodríguez Mejía, 2007).
Con el tiempo, la humanidad ha cambiado la estructura y rutina ordinaria de sus vidas, así como las relaciones interpersonales y, las tecnologías de la información y la comunicación (TIC) son el vehículo para mejorar la experiencia ante los límites existentes en el entorno. Estos han empoderado a países, organizaciones e incluso individuos, al crear una mejor calidad de vida. El uso controlado y eficiente de las TIC forja nuevas estructuras y civilizaciones que, según su uso, afectarán a la cotidianidad de los sujetos, el bienestar, el medio ambiente, la salud y muchos otros esquemas de la vida (Gorgues, 2004; Havriluk, 2010).
Por otro lado, la incertidumbre del futuro esboza miedo, debido a una nueva distinción entre la brecha digital, entre ricos y pobres. Estas ideas se ven consolidadas por el libro de Civit Alaminos y Merlos (2000), bosquejan que, “el teletrabajo es una forma de trabajo más eficaz, con menores costes fijos y mayor flexibilidad en la adaptación de las empresas a las necesidades del mercado, pero con indudables sesgos” (p. 252).
Dado que este enfoque está ganando impulso, más organizaciones pueden sentirse atraídas a su implementación; por dicha premisa, esta investigación realizará planteamiento de un material aplicativo, en conjunto con algunas aplicaciones estadísticas, así como los factores de interpretación.
REVISIÓN DE LITERATURA
La mayoría especula que el teletrabajo se refiere al uso de la tecnología en la vida cotidiana, y en cierto sentido, lo es. Los empleados remotos necesitan un conocimiento profundo de la tecnología de la información (TI) y su uso para hacer crecer sus operaciones, y faciliten su labor generando valor en cada una de sus actividades. Sin embargo, hay otros aspectos importantes a considerar, como la distancia, en otras palabras, que tan apartado se encuentra el teletrabajador de la oficina de la empresa donde trabaja (Martínez Sánchez, 2012).
Una segunda particularidad a observar es con relación a la gestión, salud y adaptabilidad; Herrero et al. (2018) enfatiza que, “los trabajadores de cuello blanco con desempeño de teletrabajo, las cifras de presión arterial eran más bajas cuando el trabajo se realizaba en el domicilio que cuando se hacía en los locales de la empresa, y que se asociaba con diferentes tareas laborales, siendo más prevalente en los hombres y manteniéndose después del trabajo continuo y prolongado una vez finalizadas las horas normales de trabajo” (p. 293); el uso del teletrabajo es una realidad ineludible para el entorno empresarial, pese a que es una alternativa viable es pertinente evaluar en primera instancia: los factores tecnológicos requeridles, los cargos con factibilidad para teletrabajo y las concepciones emocionales que puede convergir al aplicarlo (Santillan, 2020)
El entorno laboral es, sin duda, un aspecto trascendental en la vida de cada individuo por su influencia en aspectos sociales, participación comunitaria, relaciones interpersonales, desarrollo individualista y económico, pero, al convertirse en una obligación de tipo parcial no debería ser un aspecto negativo, más bien, reconfortante, con la finalidad de que la posible coacción psicofísica no influya negativamente en la calidad de vida estimulando distintos efectos perjudiciales en el desarrollo de sus actividades cotidianas; las múltiples premisas teóricas, en áreas de la antropología, psicología, teoría de conductualismo y sociología enfatizan que el trabajador que presenta una situación significativa de agotamiento mental y físico perpetrará resultados aberrantes en el desarrollo de sus actividades, perjudicando en la calidad de su trabajo (Panari et al., 2010). Por lo contrario, un laborador con alto ímpetu de motivación y entusiasmo forjará en el trabajo resultados esplendidos que prometerán crear valor corporativo, estas deducciones permiten catalogar que el entorno está expuesto a distintos complejos que inciden en los resultados (Haro y Vanegas, 2021)
El entorno investigativo administrativo referente al talento humano siempre está presente en nuevos preámbulos, actualmente la situación inducida por el Covid-19 ha infundado la necesidad de modificar el accionar ordinario por nuevos procesos, que en muchos casos no son en su totalidad aceptados por los laboradores; el conocido teletrabajo y trabajo en casa son términos que se han afianzado más en el mundo laboral, pero, que tan viable y adaptable son estos modelos; son decenas y cientos de empresas que por las limitadas condiciones han tenido que cambiar su modo de laborar, si bien, los comentarios con respecto a este modelo de trabajo tiene criticas como halagos, algunos afirman que no se acostumbran al uso de la tecnología de la información, otros aluden que, es necesario la relación social porque se pierde comunicación directa, en retrospectiva, algunos arguyen que este modo de trabajo es cómodo y disminuye los gastos adversos que se usaban para llegar al destino de trabajo, además, este tipo de modalidad de trabajo requiere una logística y coordinación para evitar problemáticas vinculadas con la pérdida de calidad y la productividad (Peláez et al., 2013; Ramírez y Rúa, 2014; Rodríguez Mejía, 2007)
Las percepciones e incidencias sobre el trabajo en casa son diversas, se procede a citar algunos casos particulares y sus resultados: León Cañaveral et al. (2020) discierne que los empleados de la empresa Memory Corp S.A.S están en su mayoría expuestos a riesgos psicosociales debido a la extensa jornada de trabajo y a las condiciones de acciones repetitivas y elementos biomecánicos, es decir, postura y condiciones con respecto a la comodidad, factores eléctricos, iluminación y ruido; Valderrama et al. (2021) en su estudio direccionado al diseño de un plan de acción sobre los riesgos ergonómicos en el trabajo en casa en los empleados de la empresa Iatai Share Service Center S.A.S enfatiza que, la pandemia incidió a que la mayoría de los laboradores se trasladen a sus domicilios a continuar con sus actividades, para así evitar los contagios de Covid-19, argumenta que las precariedades y percances de los trabajadores son evidentes con respecto a la ergonomía y es pertinente invertir y adecuar el área de trabajo y disminuir las prolongadas posturas que pueden perjudicar en la salud de los trabajadores, debido a esto, es pertinente el diseño de un plan que permita que mejoren las condiciones y con esto el rendimiento; Vásquez Agudelo (2021) en estudio “Trabajo en casa: percepciones de los trabajadores del call center Konecta” en su aplicación determina que los empleados tuvieron una preferencia a esta nueva modalidad laboral, pese a la falta de preparación y conocimiento, asimismo, concordaban que aunque las dificultades eran palpables el tiempo en familia era una compensación significativa; Caceres Gomez y Forero Peñaranda (2021) en su investigación “análisis de las condiciones y riesgos del trabajo en casa en ECCO empresa de cambio y calidad organizacional S.A.S en Cucuta” argumenta que los riesgos principales a los que están inmersos los trabajadores en el trabajo en casa son a los riesgos naturales y biológicos, pero, los empleados catalogan que sus condiciones son aceptables, su asertividad a la conformidad es superior al 50%.
En todas direcciones, se están creando nuevas alternativas, como la reestructuración de los procesos productivos y el trabajo a distancia como políticas económicas y laborales de las empresas para incrementar la productividad y el desempeño laboral. Todas las premisas y preámbulos explican la transformación y el enfoque del trabajo actual, la evolución del trabajo industrial, las nuevas contradicciones, aseveraciones y la flexibilidad del mercado con la teoría y el idealismo. En base a esto, el proceso laboral se ha modificado de acuerdo con los intereses y exigencias del entorno, de esta manera, las nuevas tecnologías suponen como una vía a las relaciones sociales como factor (Camacho y Vera, 2018; de la Garza Toledo, 2003).
El cambio tecnológico se puede definir como aquel proceso de mejora de la tecnología de producción con el fin de optimizar la productividad (Basco et al., 2018). Con respecto a la anterior proposición, más allá de la tecnología es necesario observar la relación existente de esta modalidad y el empresario, debido a que es la empresa quien considera este tipo de temas, dependiendo de su punto de vista y propósito de su negocio se ven facultados en decidir si adaptar la modalidad o seguir en lo tradicional, pero, las nuevas restricciones van más allá del lucro, y esta modalidad laboral no se convierte en una decisión, sino, más bien un punto de salida y holgura; a través del teletrabajo, ha existido un aumento en la inclusión laboral, observado desde la participación de personas con discapacidad que son profesionales lideres competentes, con las habilidades y la motivación para aspirar. Pero ¿Por cuales razones es tan fácil incluirla como opción laboral?; la infraestructura de teletrabajo se basa en administrar información a través de un simple navegador web, como correo electrónico, calendario, organizadores de notas y archivos, de esta manera, el sistema informático puede aislarse del dispositivo cliente (computadora, laptop, teléfono inteligente o tableta), siempre y cuando este tenga una interconectividad eficiente (Silva y Reygadas, 2013).
Aunque la tecnología permita la inclusión, facilite la comunicación, sea factor elementar en la realización de tareas y gestor inmediato de información, es pertinente tener en cuenta algunas particularidades; las razones psicosociales propuestas por el teletrabajo y trabajo en casa como parte de la cotidianidad puede afectar a las relaciones sociales, esto podría perjudicar la comunicación humana, así como la pérdida del lenguaje corporal, bocal y visual fluido al tratar con menos personas frente a frente (Bohórquez Castaño, 2020).
Desde la perspectiva del bienestar y la calidad de vida, Pinto y Muñoz (2020) y Suárez-Barros (2016) ratifican que, es necesario tener conciencia de la exposición del teletrabajo en los laboradores y el estrés al que están expuestos por el agobio de las redes, contactos electrónicos como: WhatsApp, e-mails, y teleconferencias, esto se convierte en una experiencia subjetiva y angustiosa al demandar mayor presión al cumplimiento de diversas actividades, por lo mencionado, es necesario tomar como tarea fundamental el precautelar por el bienestar de los trabajadores en la modalidad teletrabajo para promover un entorno y clima laboral productivo.
MATERIALES Y MÉTODOS
Enfoque
El estudio se plantea como cualitativo, debido a que pretende indagar el comportamiento de múltiples factores con respecto a la calidad de vida con el propósito de establecer elementos con alto nivel de relación e impacto, ya sea en particularidades negativas o positivas, con aquello forjar ideales de aplicación directa para la empresa que adjudique esta metodología (Cárdenas y Cortés, 2000).
Diseño de la investigación
El diseño de la investigación es de planteamientoexperimental purodebido a la utilización de una variable independiente con respecto a varias dependientes que pretenden relacionarse entre sí, la direccionalidad es prospectivo porque busca estudiar el fenómeno que causa en una acción presente, también, puede solventarse para referir eventos futuros, la recolección de datos toma el papel de aleatoria para el pilotaje insertado y prolectivo puesto que se obtienen con ímpetu y criterio de investigador (Álvarez-Risco, 2020).
Propósito
El objetivo de la investigación es: proponer un modelo de valoración de la calidad de vida de los trabajadores que se encuentren bajo teletrabajo o trabajo en casa, adicional a esto, promover un modelo estadístico en R que facilite la interpretación y análisis, con esto, la empresa que lo realice podrá formular planteamientos correctivos que permita mejorar el nivel de satisfacción del personal, con ello el desempeño y productividad laboral.
Técnicas de recolección de datos y cronología
En primera instancia la investigación es bibliográfica y documental, por la pertinencia de indagar las particularidades que inciden en la calidad de vida del trabajador, posterior al planteamiento del instrumento, la recolección de los datos toma un efecto aleatorio para realizar pilotajes y observar el comportamiento de las variables (Manterola et al., 2019)
Categoría de análisis
Se procede a detallar el instrumento de evaluación:

La escala usada corresponde a Likert, se procede a detallar las particularidades de las puntuaciones

Alfa de Cronbach
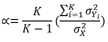
Teniendo en cuenta que los planteamientos teóricos-prácticos no siempre son adecuados a otros, debido al significativo nivel de dispersión y sesgos de los grupos de estudio, es ideal reflexionar la verificación de la consistencia interna de la herramienta usada; esto se lleva a cabo mediante una valoración de fiabilidad calculada por el Alfa de Cronbach. Oviedo y Arias (2005) conceden que este estadístico formula la fuerza de la agrupación en valores de proporción, previa exploración y conceptualización del error, el cual se ostenta como la diferencia entre el valor real observado y la media de estos; se detalla la ecuación:

K = representa el número de ítems en la escala
= varianza del ítem i
= varianza de las
puntuaciones observadas de los individuos
Árboles de clasificación y regresión: CARTS
Los árboles de clasificación y regresión por su naturaleza son un procedimiento no paramétrico, es decir, concibe que no requiera hipótesis relativa con respecto a la distribución de las variables, ya sea independiente como las dependientes (Guisande y Vaamonde, 2012). El algoritmo de particionamiento recursivo es el idóneo para la construcción del estadístico CART (Izenman, 2008).
Sea la variable Y una variable dependiente, explicativa o de respuesta, sean p las variables predictoras
categorizadas como fijas, mientras que, Y es netamente aleatoria, esta metodología pretende buscar la relación entre
con la finalidad de predecir el comportamiento de Y, en términos matemáticos, se estima la probabilidad condicional de la variable explicativa-aleatoria (Sepúlveda y Morales, 2013). Su ecuación es la siguiente:

Cuando la variable explicativa es discreta, o estratificado bajo una funcional de probabilidad tal como la esperanza condicional, toma la siguiente forma:

RESULTADOS Y DISCUSIÓN
En primera instancia quien requiera replicar necesita implementar el Alfa de Cronbach, el cual deberá estar entre > 0,60, lo cual convierte el instrumento viable para la aplicación en su organización.

Con un alfa de 0,990 se ratifica que el instrumento es viable y fiable para la aplicación en este proceso aleatorio.
library(rpart)
Se requiere llamar: Recursive Partitioning and Regression Trees o Partición recursiva y árboles de regresión
install.packages("rpart.plot")
Se procede a instalar el paquete Recursive Partitioning and Regression Trees enfocado en lineamientos gráficos, debido a que R no cuenta de forma ordinaria con este paquete pre-instalado
library(rpart.plot)
Se procede a llamar el paquete instalado
datos<-read.csv2("Base Calidad de Vida.csv", header=TRUE, encoding="latin1")
Se procede a cargar la base de datos en formato csv, aunque puede modificarse esta línea para cargar cualquier tipo de archivo, la marca verde representa al nombre del archivo a cargar
attach(datos)
Crear un entorno en la ruta de búsqueda
CART<- rpart(Aspecto.43 ~ Aspecto.1 + Aspecto.2 + Aspecto.3 + Aspecto.4 + Aspecto.5 + Aspecto.6 + Aspecto.7 + Aspecto.8 + Aspecto.9 + Aspecto.10 + Aspecto.11 + Aspecto.12 + Aspecto.13 + Aspecto.14 + Aspecto.15 + Aspecto.16 + Aspecto.17 + Aspecto.18 + Aspecto.19 + Aspecto.20 + Aspecto.21 + Aspecto.22 + Aspecto.23 + Aspecto.24 + Aspecto.25 + Aspecto.26 + Aspecto.27 + Aspecto.28 + Aspecto.29 + Aspecto.30 + Aspecto.31 + Aspecto.32 + Aspecto.33 + Aspecto.34 + Aspecto.35 + Aspecto.36 + Aspecto.37 + Aspecto.38 + Aspecto.39 + Aspecto.40 + Aspecto.41 + Aspecto.42, method="class", control=rpart.control(minsplit=2,minbucket = 2, cp = 0.0001, surrogatestyle = 0))
Se realiza el árbol, en primera instancia se ubica el Aspecto.43 y todos los demás cuestionamientos existentes, method puede tomar la característica de (anova, poisson, class o exp), sin embargo, al ubicarse un solo factor toma la característica de “class”, minsplit: número mínimo de observaciones que deben existir en un nodo para que se haga la partición, minbucket: número mínimo de observaciones en un nodo terminal, surrogatestyle: controla el mecanismo para elegir las variables suplentes. Si es 0 se utiliza la variable con el mayor número de elementos clasificados correctamente
rpart.plot(CART, type=0, extra=0, varlen=5, ycompress = TRUE, main= "Factores que inciden en la calidad de vida", cex.main=2, cex=1)
type: formato del gráfico: 0 muestra las variables que se han seleccionado en cada partición y al final las categorías predominantes en los nodos terminales, extra: permite mostrar información adicional en los nodos: 0 solamente muestra el grupo mayoritario en el nodo, varlen: define el número de caracteres de los textos: 0 utiliza el texto completo, >0 los abrevia teniendo en cuenta el número, ycompress: si es TRUE, cuando se solapan los nodos se desplazan verticalmente para evitar este solapamiento, main: se detalla el nombre que adjudicará el gráfico, cex: si es NULL calcula el tamaño de los textos automáticamente.

Una vez el gráfico esté a disposición la interpretación se lee desde el punto requerirle de la base (5), se sube hasta el cúmulo del árbol; se procede a leer tres caminos viables al objetivo:

CONCLUSIONES
Ciertamente, conocer todo lo que suscita en una empresa es de suma importancia para poder direccionar el camino de la entidad a la sostenibilidad, además, siendo el factor humano el elemento circunstancial para el desarrollo organizativo es pertinente conocer su situacionalidad y todos los aspectos que permitan la mejora continua del mismo. Por esto, el planteamiento del modelo toma la pertinencia idónea, y en conjunto con la estadística se podrá analizar los aspectos más relevantes en dicha organización, con lo cual se reduce el nivel de uso de recursos y permitirá aumentar la eficiencia y eficacia.
En un planteamiento aleatorio realizado expuesto en la figura 3. permite concebir la importancia de los siguientes aspectos: la distribución de las responsabilidades laborales, la motivación laboral acordé al compromiso personal, la cantidad de horas trabajadas que se asemejen al trabajo presencial, las posibilidades de ascenso laboral, que no comprometa la salud física, la motivación por realizar las tareas diarias y que los laboradores se encuentren 100% enfocados en las actividades.
Teniendo en cuenta los aspectos y su direccionamiento con respecto a la escala, se podrán formular tácticas, es decir, condicionamientos a corto plazo y, estrategias, planteamientos a largo plazo. Sumados estos escenarios poder obtener la mejora continua en la organización y posibilitando el aumento de la productividad y desempeño laboral.
Es importante argumentar que, el planteamiento de este instrumento investigativo basado en el análisis teórico y estadístico se puede aplicar a cualquier tipo de organización, de cualquier sector económico, debido a que su bosquejo es general, las únicas condiciones, es que el trabajador se encuentre en la modalidad trabajo en casa o teletrabajo, y que luego de la aplicación del instrumento el nivel de confiabilidad sea superior a 0,60. con esto se puede proceder a analizar los resultados mediante el Árbol de clasificación y regresión: CARTS.
Bibliografía
Alatartseva, E., y Barysheva, G. (2015). Well-being: Subjective and Objective Aspects. Procedia - Social and Behavioral Sciences, 166, 36–42. https://doi.org/10.1016/j.sbspro.2014.12.479
Álvarez-Risco, A. (2020). Clasificación de las investigaciones. Repositorio Institucional - Ulima. https://repositorio.ulima.edu.pe/handle/20.500.12724/10818
Basco, A. I., Beliz, G., Coatz, D., y Garnero, P. (2018). Industria 4.0: Fabricando el futuro (Vol. 647). Inter-American Development Bank.
Bewley, T. (1999). Work motivation. Federal Reserve Bank of St. Louis Review, 81(May/June 1999).
Bohórquez Castaño, V. A. (2020). Riesgos Psicosociales Asociados al Teletrabajo Revisión bibliográfica [Thesis, Corporación Universitaria Minuto de Dios]. https://repository.uniminuto.edu/handle/10656/11695
Caceres Gomez, G. B., y Forero Peñaranda, M. (2021). Análisis de las condiciones y riesgos del trabajo en casa en ecco empresa de cambio y calidad organizacional s.a.s en Cúcuta. http://repository.unilibre.edu.co/handle/10901/19185
Camacho, C. M. V., y Vera, M. (2018). Teletrabajo: Una Revisión Teórica sobre sus Ventajas y Desventajas. INVESTIGATIO, 10, 41–53. https://doi.org/10.31095/irr.v0i10.194
Cárdenas, L. E. R., y Cortés, L. R. (2000). Exploración al diseño experimental. Ciencia e ingeniería neogranadina, 9, 51–59.
Castellanos, Y. S., Sánchez, S. E., y Santana, A. M. (2014). Trabajo en casa y calidad de vida: Una aproximación conceptual. Cuadernos Hispanoamericanos de Psicología, 14(1), 57–72. https://doi.org/10.18270/chps..v14i1.1345
Chungkham, H. S., Ingre, M., Karasek, R., Westerlund, H., y Theorell, T. (2013). Factor structure and longitudinal measurement invariance of the demand control support model: An evidence from the Swedish Longitudinal Occupational Survey of Health (SLOSH). PLoS One, 8(8), e70541.
Civit Alaminos, C., y Merlos, M. (2000). Implantación del teletrabajo en la empresa. Ediciones Gestión 2000.
de la Garza Toledo, E. (2003). Tratado latinoamericano de sociología del trabajo. FLACSO México, UAM, FCE.
Diener, E., Oishi, S., y Tay, L. (2018). Advances in subjective well-being research. Nature Human Behaviour, 2(4), 253–260. https://doi.org/10.1038/s41562-018-0307-6
Fabregat, M. B. A., y Gallego, E. C. (2002). Teletrabajo y salud: Un nuevo reto para la Psicología. Papeles del psicólogo, 83, 55–61.
Gorgues, A. C. (2004). Innovación organizacional y domesticación de Internet y las TIC en el mundo rural, con nuevas utilidades colectivas y sociales. La figura del Telecentro y el Teletrabajo. CIRIEC-España, revista de economía pública, social y cooperativa, 49, 77–116.
Guisande, C., y Vaamonde, A. (2012). Gráficos estadísticos y mapas con R. Ediciones Díaz de Santos, Madrid, 367.
Haro, A. F., y Vanegas, C. (2021). Evaluación de las capacidades de innovación: Un estudio de caso en una universidad colombiana. Avances de investigación, 8(1), 7–27. https://doi.org/10.47966/avan-inv.2021.817-27
Haro, A. H. (2021). EL MARKETING DIGITAL: UN MEDIO DE DIGITALIZACIÓN DE LAS PYMES EN ECUADOR EN TIEMPOS DE PANDEMIA. Investigación y Desarrollo, 14(1), 163–181.
Hart, C. W. M., y White, K. L. (1992). Los experimentos de Hawthorne. Investigaciones sobre Servicios de Salud: una antología, Washington, DC: OPS, 32–41.
Havriluk, L. O. (2010). El Teletrabajo: Una opción en la era digital. Observatorio Laboral Revista Venezolana, 3(5), 93–109. https://dialnet.unirioja.es/servlet/articulo?codigo=3252786
Helson, H. (1948). Adaptation-level as a basis for a quantitative theory of frames of reference. Psychological review, 55(6), 297.
Helson, H. (1964a). Adaptation-level theory: An experimental and systematic approach to behavior.
Helson, H. (1964b). Current trends and issues in adaptation-level theory. American psychologist, 19(1), 26.
Herrero, M. T. V., Alberich, J. I. T., Vicente, A. T., Torre, M. V. R. I. de la, y García, L. C. (2018). El teletrabajo en salud laboral. CES Derecho, 9(2), 287–297. https://doi.org/10.21615/cesder.9.2.6
Herzberg, F., Mausner, B., y Snyderman, B. B. (1959). The motivation to work. New York: JohnWiley y Sons. Inc.
Izenman, A. J. (2008). Modern multivariate statistical techniques. Regression, classification and manifold learning, 10, 978–0.
Kumar, P., Kumar, N., Aggarwal, P., y Yeap, J. A. L. (2021). Working in lockdown: The relationship between COVID-19 induced work stressors, job performance, distress, and life satisfaction. Current Psychology. https://doi.org/10.1007/s12144-021-01567-0
Latorre Navarro, M. F. (2011). La gestión de recursos humanos y el desempeño laboral.
León Cañaveral, A. M., Restrepo Rivera, D., Barreto Novoa, J. L., Calderon Corredor, K. L., y Melgarejo Serrano, N. A. (2020). Seguimiento a Las Condiciones de Trabajo de los Empleados de la Empresa Memory Corp S.A.S., en Modalidad de Trabajo en Casa [Thesis, Corporación Universitaria Minuto de Dios]. https://repository.uniminuto.edu/handle/10656/11718
Manterola, C., Quiroz, G., Salazar, P., y García, N. (2019). Metodología de los tipos y diseños de estudio más frecuentemente utilizados en investigación clínica. Revista Médica Clínica Las Condes, 30(1), 36–49. https://doi.org/10.1016/j.rmclc.2018.11.005
Martínez Sánchez, R. (2012). El teletrabajo como tendencia del mercado laboral.
Maslow, A. H. (1943). A theory of human motivation. Psychological review, 50(4), 370.
Mishra, P. K. (2013). Job satisfaction. IOSR journal of humanities and social science, 14(5), 45–54.
Moreno, D. C. R. (2017). Legislación laboral para el teletrabajo. Principia Iuris, 14(27), 166–183.
Oviedo, H. C., y Arias, A. C. (2005). Aproximación al uso del coeficiente alfa de Cronbach. Revista colombiana de psiquiatría, 34(4), 572–580.
Panari, C., Guglielmi, D., Simbula, S., y Depolo, M. (2010). Can an opportunity to learn at work reduce stress? A revisitation of the job demand-control model. Journal of workplace learning.
Peláez, A., Rodríguez, J., Ramírez, S., Pérez, L., Vázquez, A., y González, L. (2013). La entrevista. Universidad autónoma de México.[En línea].[Online].[cited 2012 Septiembre 30. Disponible en: http://www. uam. es/personal_pdi/stmaria/jmurillo/InvestigacionEE/Presentaciones/Curso_10/E.
Pinto, A., y Muñoz, G. (2020). Teletrabajo: Productividad y bienestar en tiempos de crisis. Escuela de Psicología, 2.
Ramaci, T., Alario, M., y Santisi, G. (2015). Il cambiamento organizzativo tra comunità di lavoro e ‘boundaryless learning’. Annali della facoltà di Scienze della formazione Università degli studi di Catania, 13, pp-127.
Ramírez, S. L. C., y Rúa, N. E. G. (2014). El concepto de teletrabajo: Aspectos para la seguridad y salud en el empleo. Revista CES Salud Pública, 5(1), 82–91.
Rodríguez Mejía, M. (2007). El teletrabajo en el mundo y Colombia. Gaceta laboral, 13(1), 29–42.
Rubenstein, C. L., Duff, J., Prilleltensky, I., Jin, Y., Dietz, S., Myers, N. D., y Prilleltensky, O. (2016). Demographic group differences in domain-specific well-being. Journal of Community Psychology, 44(4), 499–515.
Santillan, W. (2020). El teletrabajo en el COVID-19. CienciAmérica: Revista de divulgación científica de la Universidad Tecnológica Indoamérica, 9(Extra 2), 65–76. https://dialnet.unirioja.es/servlet/articulo?codigo=7746439
Sepúlveda, J. F. D., y Morales, J. C. C. (2013). Comparación entre árboles de regresión CART y regresión lineal. Comunicaciones en Estadística, 6(2), 175–195. https://dialnet.unirioja.es/servlet/articulo?codigo=7393722
Siegrist, J. (2016). Effort-reward imbalance model. En Stress: Concepts, cognition, emotion, and behavior (pp. 81–86). Elsevier.
Silva, D., y Reygadas, L. (2013). Tecnología y trabajo colaborativo en la sociedad del conocimiento. Alteridades, 23(45), 107–122.
Suárez-Barros, A. S. (2016). Teletrabajo: Realidad y bienestar. Desbordes, 7, 17–32.
Taylor, F. W. (1911). Administración científica. Barcelona: Ediciones Orbis.
Valderrama, A. C., Santamaria Galeano, J., y Saldana Tavera, I. (2021). Diseño de un plan de acción que reduzca los riesgos ergonómicos de los empleados que están bajo modalidad de trabajo en casa de la empresa Iatai Share Service Center SAS.https://repositorio.ecci.edu.co/handle/001/1326
Vásquez Agudelo, D. D. (2021). Trabajo en casa: Percepciones de los trabajadores del call center Konecta del Municipio de Itagüí, Antioquia [MasterThesis, Universidad EAFIT]. http://repository.eafit.edu.co/handle/10784/26545
White, R. L., Parker, P. D., Lubans, D. R., MacMillan, F., Olson, R., Astell-Burt, T., y Lonsdale, C. (2018). Domain-specific physical activity and affective wellbeing among adolescents: An observational study of the moderating roles of autonomous and controlled motivation. International Journal of Behavioral Nutrition and Physical Activity, 15(1), 87. https://doi.org/10.1186/s12966-018-0722-0

