

Educación
Aprendizaje de ecuaciones diferenciales aplicadas en física utilizando tecnología
Learning applied differential equations in physics using technology
Revista Torreón Universitario
Universidad Nacional Autónoma de Nicaragua-Managua, Nicaragua
ISSN: 2410-5708
ISSN-e: 2313-7215
Periodicidad: Cuatrimestral
vol. 11, núm. 31, 2022
Recepción: 15 Febrero 2022
Aprobación: 19 Abril 2022

Resumen:
Este artículo presenta una revisión bibliográfica del tema “Ecuaciones diferenciales aplicadas en física”, desde un enfoque didáctico, con el objetivo de exponer a los principales autores y aportes que se han dado a las ciencias. En cuanto a la parte metodológica, se hizo un análisis de contenido, mediante revisión documental-bibliográfico de estudios publicados entre 2011 - 2021. La relevancia, el idioma, año de publicación y el lugar de origen se utilizaron como criterios temáticos al seleccionar el material idóneo a analizar. En cuanto a las fuentes de información fidedigna se recurrió al buscador Google académico. Después de realizar la búsqueda, se realizó un análisis de contenido bibliométrico y cualitativo para seleccionar las publicaciones más relevantes para este estudio. En la actualidad las matemáticas a nivel superior siguen siendo pensadas como difíciles y poco aplicables en la vida real, más al tratarse de ecuaciones diferenciales, donde se toman temáticas de cálculo como derivadas, que al llevarlas a física se cree muy complejo su análisis por el hecho de tener que abordar un modelo físico y matemático. Existe una vasta variedad de maneras de formar el aprendizaje en los estudiantes mediante metodologías activas y estudios más profundos, que abordan el modelado de las ecuaciones desde un punto abstracto. Los resultados indican que el aprendizaje de ecuaciones diferenciales en física es muy poco y aumentándole la parte del uso de tecnología para adquirir competencias profesionales, se vuelve más reducida la cantidad de publicaciones en artículos especializados.
Palabras clave: aprendizaje, ecuaciones diferenciales, física, modelos.
Abstract:
This article presents a bibliographic review of the topic "Differential equations applied in physics", from a didactic approach, to expose the main authors and contributions that have been given to the sciences. Regarding the methodological part, a content analysis was made, through a documentary-bibliographic review of studies published between 2011 - and 2021. Relevance, language, year of publication, and place of origin were used as thematic criteria when selecting the suitable material to be analyzed. As for the sources of reliable information, the academic Google search engine was used. After performing the search, a bibliometric and qualitative content analysis was carried out to select the most relevant publications for this study. At present, higher-level mathematics is still considered difficult and not very applicable in real life, especially when dealing with differential equations, where calculus topics such as derivatives are taken, which, when taken to physics, are considered very complex to analyze due to the fact of having to deal with a physical and mathematical model. There is a wide variety of ways to train students' learning through active methodologies and more in-depth studies, which approach the modeling of equations from an abstract point of view. The results indicate that the learning of differential equations in physics is very little and by increasing the part of the use of technology to acquire professional competencies, the number of publications in specialized articles becomes smaller.
Keywords: learning, differential equations, physics, models.
I. Introducción
Para los docentes de matemáticas y física, encontrar alternativas, medios para continuar mejorando en su quehacer educativo, ha sido una constante que ha trascendido a lo largo del tiempo. Hallar modelos didácticos, que permitan la motivación en el estudiantado, para lograr la adquisición de nuevas competencias, aprovechando todos y cada uno de los recursos con que se disponen, para que la clase tenga una mejor aceptación y comprensión, pese a su nivel de complejidad.
La educación en general, y en particular la educación superior, ha enfrentado diferentes cambios y desafíos a lo largo de su historia, como producto de las necesidades y demandas sociales, que incitan de alguna manera a la adaptación a las nuevas realidades del siglo XXI. (Roa, 2021, p. 65)
Existen pocos estudios referentes a tecnología, ecuaciones diferenciales y física, haciéndose muy difícil juntar esta terna, por ello se realizó una búsqueda en diferentes trabajos relacionados a ella, incluso a nivel nacional no se encontró ningún antecedente, siendo en el área de las matemáticas aplicadas más trabajadas las temáticas generales como en la tesis doctoral de Blandón (2017), titulada “Propuesta metodológica para el proceso de enseñanza-aprendizaje de la unidad de Álgebra en la asignatura de Matemática General en la Facultad Regional Multidisciplinaria FAREM-Estelí” en el cual se recogen aspectos relacionados la epistemología y conceptualización para crear una propuesta de aspectos generales.
Siendo la temática más cercana a ecuaciones diferenciales la tesis doctoral presentada por Granera (2017), titulada “Proceso de enseñanza–aprendizaje de la integral definida como el área bajo una curva en las asignaturas de Cálculo en las carreras de Ingeniería Estudio realizado en la Facultad Regional Multidisciplinaria de Estelí” que plantea una revisión del término integral como punto de partida en sus referentes teóricos, para la elaboración de una propuesta basada en entornos computacionales.
Tanto la matemática como la física, se encuentran entre las grandes ciencias en las que el hombre ha probado y tratado de explicar la realidad de los diversos fenómenos que ocurren en la vida cotidiana, acercándose a modelos como la matemática o la física. En este estudio se utiliza la teoría fundamentada, ya que es un enfoque basado en el desarrollo teórico en información recopilada y analizada de manera sistemática. Su principal característica es el método de comparación constante, es un proceso de análisis inductivo en el que se interactúa entre la información y el análisis de datos hasta reducirlos a los conceptos más representativos.
El modelo físico puede referirse a la edificación de teoría (modelo matemático) de un sistema físico. Asimismo, existen simulaciones de fenómenos cotidianos, que poseen aspectos del comportamiento de sistemas físicos complejos, donde se toman en cuentas diferentes leyes, ecuaciones y el llamado análisis físico, para la comprensión de la ciencia.
II. Metodología
La implementación de este artículo de revisión se basa en un paradigma cualitativo, desde un enfoque interpretativo, dada su orientación al análisis de contenido, bajo una metodología de carácter documental bibliográfica. Como estrategia de búsqueda de información, se continuó identificando, seleccionando y categorizando fuentes por tema, año de publicación y relevancia entre 2011 y 2021. Estos se relacionan con el tema de las ecuaciones diferenciales aplicadas en la física. Además, los estudios obtenidos de otras fuentes de Internet a través de Google académico se consideraron valiosos para contribuir a la investigación y también se incluyeron en este estudio.
Para analizar los datos obtenidos se utilizó la Revisión narrativa, ya que esta es una estrategia que facilita la comprensión de la temática sobre aplicación de las ecuaciones diferenciales en física, con un aprendizaje por competencias, puesto que la describe con fundamentación teórica e incluye diferentes tipos de información, considerando distintas fuentes y posibilitando el aprendizaje mediante la definición y detalle de conceptos.
Las categorías de análisis fueron: ecuaciones diferenciales, competencias y metodologías didácticas para el aprendizaje de las matemáticas.
III. Resultados

En cuanto a la distribución de acuerdo con las categorías de análisis, se evidencia la frecuencia de artículos producidos en su mayoría en el área de didáctica de la matemática, en su mayoría utilizando tecnología, dado que las dificultades de aprendizaje son frecuentes y con recursos tecnológicos al estudiante se le hace atractiva la clase, con respecto a competencias solo un 25% de artículos se encontraron, esto se debe en gran mayoría a que hace poco muchas universidades pasaron de un sistema por objetivos a uno por competencias, y en la parte de matemática y física, muy pocos autores han incursionado en la redacción.
Un 12,5% de artículos son referente a las ecuaciones diferenciales, en su forma más abstracta y demostrativa, donde se ve su aplicación en las diferentes ramas de las ciencias naturales y en especifico de la Física, esto se debe a que es una temática un poco compleja, debido al análisis de los diferentes modelos científicos.

La mayor producción científica en cuanto al tema en estudio se da en Sudamérica y México, esto debido a que en esas localidades se implementan muchas metodologías a fin de lograr aprendizajes significativos, a través de la adquisición de competencias matemáticas, en segundo lugar Nicaragua y Cuba, esto porque en ocasiones los estudios realizados no son publicados y quedan solo en físico, en bibliotecas.
Ultimo lugar España que, si bien realizan anualmente muchas publicaciones, en diferentes revistas de impacto, en temáticas de ecuaciones diferenciales no han tenido muchas publicaciones recientes.
IV. Discusión de los Resultados
En los últimos años, se han dado muchas publicaciones científicas, referente a las metodologías para el aprendizaje de ecuaciones diferenciales, aplicadas en física, donde se le da el agregado de utilizar tecnología, la cual es una competencia importante en el mundo actual.
Para comprender más sobre la temática se parte de un preámbulo sobre derivadas, por ser este uno de los conceptos principales de ecuaciones diferenciales.
Para (Zill, 2018)
la derivada
de una función
es otra función
que se encuentra con una regla apropiada. La
función
es derivable en el intervalo
y usando la regla de la cadena, su derivada es
(p.2)
Si se sustituye
en el lado derecho de la última ecuación por
,
la derivada será

La ecuación (1) es llamada ecuación diferencial, pero resulta necesario dar una definición formal:
Una ecuación que contiene derivadas de una o más variables respecto a una o más variables independientes, se dice que es una ecuación diferencial (ED). (Zill, 2018, p. 2)
Una vez definida las ecuaciones diferenciales, se puede hacer mención a los trabajos que se han realizado a nivel internacional, refrente a la temática en estudio.
Guzmán (2021) realizó una tesis doctoral titulada: Modelo didáctico para el desarrollo de competencias en ecuaciones diferenciales en estudiantes de Ingeniería en una universidad pública de Lambayeque en Chiclayo, Perú.
El desarrollo de competencias, constituye un factor importante en la formación del estudiante universitario, puesto que implica formarlo en capacidades, habilidades y aptitudes que le permitan construir sus saberes y lograr aprendizajes significativos (Guzmán , 2021, p. 11)
La investigación partió con el diagnóstico de una muestra de 50 estudiantes del quinto ciclo, a quienes se les aplicó un cuestionario para medir el desarrollo de competencias en la unidad didáctica de ecuaciones diferenciales, los obtuvieron un nivel de logro deficiente, con lo que se evidenció que estos no logran desarrollar las competencias señaladas en la unidad didáctica en mención, ante esta situación este estudio planteó un modelo didáctico, que se fundamentó en teorías del aprendizaje y enfoques socio formativos, el mismo que fue validado por juicio de expertos quienes determinaron su pertinencia y aplicabilidad.
El aprendizaje de ecuaciones diferenciales, siempre se ve complejo, por el hecho de tener cierta complejidad numérica y algebraica, lo cual se refleja cuando es grande el número de estudiantes, que no logran alcanzar competencias de manera armónica, al contrario se vuelve algo frustrante, donde el docente es visto como el villano del proceso educativo.
La complejidad antes mencionada, en ocasiones se manifiesta al cobinar ecuaciones diferenciales con aplicaciones a problemas físicos, por ejemplo para Abalos (2019):
Las teorías electrodinámicas no lineales, surgidas de Lagrangiano arbitrarios en término de los invariantes electromagnéticos. Estas teorías presentan relaciones de dispersión definidas en términos de dos métricas lorentzianas efectivas. Donde se ha probado que estas teorías son simétricas hiperbólicas (una clase dentro de las fuertemente hiperbólicas) si y solo si, los conos temporales de esas métricas efectivas tienen intersección no vacía. (p.60)
4.1 Aplicación de ecuaciones en física
Para Herrera (2021) “la física permite desarrollar las capacidades de análisis, interpretación, síntesis a través de los conocimientos científicos, metodológicos e investigativos relacionados a la Ciencia Física que lo hacen capaz de desempeñarse en el ámbito laboral”. (p.15)
Para Mañas y Martínez (2015):
La Física está repleta de Ecuaciones Diferenciales Parciales (EDP) lineales y no lineales. Tanto en electromagnetismo como en mecánica cuántica las ecuaciones básicas son lineales, pero en otras áreas, como la dinámica de medios continuos o la relatividad general, las ecuaciones fundamentales son no lineales. (p.5)
Existen cuatro ejemplos fundamentales de EDP lineales, todas ellas de segundo orden a continuación se mencionan:
4.1.1 La ecuación de Poisson

Siendo
una función dada. Si
la EDP se conoce como ecuación de Laplace.
Ambas EDP aparecen a menudo en electrostática y en mecánica de fluidos. (Mañas y Martínez, 2015, p. 5)
4.1.2 La ecuación de ondas

Donde
es un número real positivo que representa la
velocidad de propagación de las ondas. (Mañas y
Martínez, 2015, p. 5)
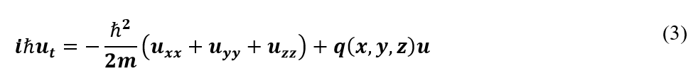
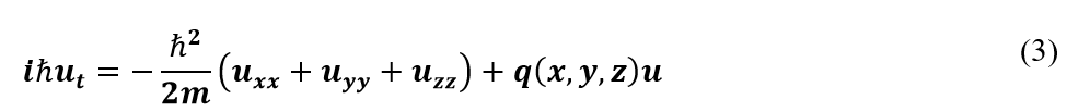
4.1.3 La ecuación de Schrödinger

Que describe la dinámica de una
partícula de masa
en un campo de fuerzas con función potencial
. El
símbolo
representa la constante de Planck normalizada.
Es de observar la presencia del número imaginario
en el coeficiente de
. (Mañas y Martínez, 2015, p. 5)
4.1.4 La ecuación del calor

Es relevante en procesos de difusión
térmica y de difusión de fluidos en general. El símbolo
representa el coeficiente de difusión. (Mañas y Martínez, 2015, p. 5)
Para escribir de forma abreviada las ecuaciones anteriores es conveniente usar la notación del operador Laplaciano

Así se obtiene:
1. Ecuación de Poisson en 3 dimensiones:

2. Ecuación de ondas en 1+3 dimensiones:

3. Ecuación de Schrödinger en 1+3 dimensiones:

4. La ecuación del calor en 1+3 dimensiones:

En ocasiones se consideran versiones
simplificadas de las ecuaciones anteriores en las que
no depende de algunas de las variables
. Así, una versión en
dimensiones de las ecuaciones de ondas,
Schrödinger o del calor es una EDP en que se supone que
depende de
solamente. (Mañas y Martínez, 2015, p. 6)
Para Mañas y Martínez (2015) hay muchos ejemplos de EDP no lineales de gran importancia por sus aplicaciones en la Física. Los métodos que se emplean en su estudio son muy diferentes de los desarrollados para las EDP lineales. (p.6)
Algunos ejemplos:
1. La ecuación de Korteweg–de Vries

Con aplicaciones en hidrodinámica, Física del estado sólido y Física del plasma. (Mañas y Martínez, 2015, p. 6)
2. La ecuación de Schrödinger no lineal

Con relevancia en diversos campos entre los que destaca la óptica no lineal. (Mañas y Martínez, 2015, p. 6)
Es importante mencionar que Bel (2014) llevó acabo una tesis titulada: Soluciones oscilatorias en Ecuaciones Diferenciales con retardo.
La autora utiliza las Ecuaciones Diferenciales con retardo para modelar problemas en Física, ingeniería o biología, entre otros. Estas ecuaciones constituyen un ejemplo de Ecuaciones Diferenciales funcionales. La complejidad presente en estos modelos es mucho mayor que la observada en Ecuaciones Diferenciales ordinarias, basta considerar una ecuación de primer orden en una dimensión que incluya un parámetro y un retardo, para hallar movimiento periódico, cuasiperíodico o bien comportamiento caótico.
La primer metodología presentada en esta tesis combina la utilización del método de análisis homotópico y un método de colocación para calcular la estabilidad de los ciclos periódicos existentes. Las ventajas que presentó este procedimiento y las distintas adaptaciones realizadas permiten describir escenarios dinámicos interesantes en distintas ecuaciones con retardo. El autor analizó la ecuación de van der Pol donde realimentada con retardo, distintas bifurcaciones y resonancias en las que intervienen uno o varios ciclos periódicos.
Sin dudar a dudas, es amplia la temática de ecuaciones diferenciales, pero al tratar de sus aplicaciones en física se vuelve algo complejo de comprender por los estudiantes universitarios, esto porque se tiene muy arraigado la parte “repetitiva” y no “analítica”, es decir los estudiantes solo repiten pasos dados, pero se vuelve difícil, cuando se debe analizar un fenómeno que ocurre y llegar a utilizar modelos físicos y matemáticos.
Aunque existe la intención de mejorar la labor docente en las aulas universitarias, algunos docentes siguen teniendo la idea de enseñar Matemáticas solamente con un libro de Cálculo como único medio, colocando directamente las definiciones y resolviendo ejercicios a partir de ella, sin una planificación coherente que ofrezca la oportunidad al estudiante de entender la definición y saber cómo se llegó a ella y para qué sirve. Ahondando aún más este problema, el casi nulo involucramiento en la enseñanza, de medios tecnológicos y ambientes pertinentes a los intereses de los estudiantes ocasionan el fracaso en la asignatura. (Flores, 2017, p. 36)
4.2 Uso de recursos tecnológicos
Las aulas virtuales son un factor de vital importancia en la transformación de diversos campos de la sociedad. Las herramientas tecnológicas, tienen el potencial de transformar la naturaleza de la educación en cuanto a dónde y cómo se produce el proceso de enseñanza-aprendizaje, así como de introducir cambios en los roles de los profesores y los estudiantes, y en las diferentes acciones que se realiza en el proceso educativo. (González y Granera, 2021, p. 51)
El aprendizaje de la Matemática y Física debe ser vista como una actividad específica y compleja en la que no es suficiente el conocimiento científico, sino también que los docentes que la facilitan utilicen recursos didácticos que motiven a los estudiantes. Una clase de Ecuaciones Diferenciales mal diseñada es perjudicial para los estudiantes a largo plazo, ya que desde su punto de vista se vuelve aburrida y se convierte en un castigo donde son calificados, juzgados y hasta regañados, principalmente si estos estudiantes serán los futuros transmisores de conocimiento en las aulas de clase.
Los avances acelerados de las tecnologías de la información y comunicación (TIC) han marco el antes y el después permitiendo la participación de todos los sectores de la sociedad. Las incorporaciones de estas en la educación han revolucionado la forma en que nos educamos, cambiado la vida personal y académica, lo que ha permitido tener disponible un amplio abanico de herramientas integradoras y participativas para la construcción de una nueva sociedad. (Fletes, 2021, p. 2)
Los estudios a nivel doctoral que han vinculado las matemáticas y entornos virtuales son muchas, pero no logran juntar la terna, ecuaciones diferenciales, física y tecnología.
Para Potosme (2017)
Dialogar sobre las TIC es aludir a los medios electrónicos, a la televisión por satélite y cable, a la telefonía celular, a las computadoras y los programas informáticos que facilitan el acceso a las redes, esencialmente porque los avances tecnológicos, han dado al computador un protagonismo como recurso pedagógico, generando un rotundo cambio, al permitir desarrolla actividades en donde se pueda tener acceso a diferentes fuentes de información. En particular en Matemática las posibilidades de enseñanza y aprendizaje son superiores ya que se puede acceder a diferentes programas de aplicaciones, que permiten visualizar la representación geométrica, por ejemplo, de objetos abstractos, reducir tiempo en la ejecución de grandes problemas de cálculo, además de motivar al estudiantado. (p.67)
El uso de los medios tecnológicos requiere una nueva configuración del proceso y la metodología de enseñanza, porque el contenido a desarrollar no tiene que estar completamente en manos de los docentes, y los estudiantes ya no son solo receptores de información, ahora son constructores de su propio aprendizaje.
Para Padilla, et al (2014) la apropiación de las TIC en la educación superior trae consigo toda una perspectiva interpretativa sobre la importancia del discurso pedagógico para afrontar las dificultades de interacción, roles y posibilidades pedagógicas flexibles en el marco de la sociedad de la información. (p. 272)
Debe entenderse que las TIC no son solo una simple herramienta, sino que en primer lugar constituyen una nueva forma de diálogo, estética, narrativa, conexión relacional, identidad y cosmovisión. Una de las consecuencias es que cuando una persona es excluida del acceso y uso de las TIC, se perderá la forma de existencia y existencia del mundo, y otros también perderán estos aportes.
Respecto al uso de tecnologías, al incorporarlas en la asignatura de Matemática, ofrecen una amplia variedad de recursos y aplicaciones a los docentes. Estas pueden utilizarse como herramientas para realizar cálculos complejos, resolver problemas, dibujar gráficos e interpretar y analizar datos. Esto quiere decir, una ayuda conveniente para el mejoramiento en el proceso enseñanza-aprendizaje y particularmente de la Matemática, claro está que esto se consigue mediante una aplicación apropiada de la misma, lo cual ha permitido al autor del presente estudio, realizar un análisis referente a los entornos virtuales como recurso para el aprendizaje de la Matemática. (González y Granera, 2021, pp. 58-59)
La tecnología viene siendo, como un medio de verificación, para cálculos de gran complejidad, pero se vuelve necesario que el estudiante tenga la capacidad de análisis suficiente, para interpretar los resultados obtenidos.
En consecuencia, de todo lo antes descrito, en los resultados presentados por los autores de las distintas investigaciones seleccionadas y analizadas, se logra evidenciar la importancia de la temática de ecuaciones diferenciales aplicadas en física, en el proceso de enseñanza aprendizaje de la Matemática, considerando el uso de la tecnología como apoyo para elevar la calidad educativa.
V. Conclusiones
Este artículo de revisión de tema ha permitido precisar varios puntos. En primera medida, que son pocos los estudios de ecuaciones diferenciales, que relacionan a la física y tecnología, teniendo en cuenta que este último no puede verse como un sustituto de la labor docente.
Las aplicaciones de ecuaciones diferenciales en física son muchas, pero en ocasiones en los procesos áulicos no se logran ver, por centrarse en la repetición de pasos matemáticos.
El uso de recursos tecnológicos debe verse como una estrategia adicional para lograr, por un lado, motivar al estudiante para la experimentación de aplicaciones mediante software, simulaciones y herramientas interactivas.
Es necesaria la creación de metodologías referentes a la aplicación de ecuaciones diferencias en física, utilizando tecnología, para así contribuir a los procesos de enseñanza – aprendizaje a nivel universitario.
Utilizar recursos tecnológicos conlleva a dar solución a las exigencias de la sociedad actual permitiendo promover la creativa tanto del docente como de los estudiantes a través del aprovechamiento de todo el potencial que ofrecen estos instrumentos tecnológicos.
Referencias bibliográficas
Blandón Dávila, M. E. (2017). Propuesta metodológica para el proceso de enseñanza-aprendizaje de la unidad de Álgebra en la asignatura de Matemática General en la Facultad Regional Multidisciplinaria FAREM-Estelí, UNAN-Managua. Tesis para optar al grado de doctora en Matemática Aplicada, Estelí, Nicaragua. Recuperado el 5 de Marzo de 2021, de https://repositorio.unan.edu.ni/8818/
Fletes Calderón, O. R. (2021). Las nuevas tecnologías en la educación superior, una oportunidad. Revista Torreón Universitario, 1-2. Recuperado el 3 de Enero de 2022, de https://revistatorreonuniversitario.unan.edu.ni/index.php/torreon/article/view/362/661
Flores Morales, J. J. (2017). Modelo para la Enseñanza y Aprendizaje Asistido de las Matemáticas: Una propuesta didáctica de microplanificación para el desarrollo del tópico interpretación geométrica de la derivada y sus implicaciones en el análisis funcional. Universidad Central “Martha Abreu” De Las Villas Santa Clara, Cuba Y Universidad Nacional Autónoma De Nicaragua Unan Managua, Juigalpa, Nicaragua.
González, J. I., y Granera, J. A. (2021). Entornos Virtuales de Aprendizaje (EVA) para la enseñanza-aprendizaje de la Matemática. Revista Científica de la FAREM-Estelí: medio ambiente, tecnología y desarrollo humano, 49-62. Recuperado el 2 de Diciembre de 2021, de https://rcientificaesteli.unan.edu.ni/index.php/RCientifica/article/view/1080/1142
Granera Rugama, J. A. (2017). Proceso de enseñanza–aprendizaje de la integral definida como el área bajo una curva en las asignaturas de Cálculo en las carreras de Ingeniería. Tesis presentada para optar al título de Doctor en Matemática Aplicada, Facultad Regional Multidisciplinaria, Chontales, Estelí, Nicaragua. Recuperado el 14 de Marzo de 2021, de https://repositorio.unan.edu.ni/8823/
Guzmán Roldan, C. M. (2021). Modelo didáctico para el desarrollo de competencias en ecuaciones diferenciales en estudiantes de Ingeniería en una universidad pública de Lambayeque. Tesis Para Obtener El Grado Académico De: Doctora en Educación, Universidad César Vallejos, Chiclayo, Perú. Recuperado el 13 de Diciembre de 2021, de https://repositorio.ucv.edu.pe/handle/20.500.12692/63824
Herrera Castrillo, C. J. (2021). prendizaje en las asignaturas “Electricidad” y “Termodinámica y Física Estadística” en tiempos de pandemia. Revista Multi-Ensayos, 14-25.
Mañas Baena, M., y Martínez Alonso, L. (2015). Ecuaciones Diferenciales II. Manual, Universidad Complutense de Madrid, Departamento de Física Teórica II (Métodos Matemáticos de la Física). Recuperado el 20 de Diciembre de 2021, de https://eprints.ucm.es/id/eprint/31464/
Potosme Mercado, N. G. (2017). Análisis de la incidencia de la Unidad Didáctica sobre la integral definida, en la conceptualización que tienen los estudiantes de segundo año de la Carrera de Contaduría Pública y Finanzas de la Universidad Politécnica de Nicaragua (UPOLI). Tesis presentada para optar al título de Doctor en Matemática Aplicada, Facultad Regional Multidisciplinaria De Chontales, Juigalpa, Chontales. Recuperado el 1 de Mayo de 2021, de https://repositorio.unan.edu.ni/8826/
Roa Rocha, J. C. (2021). Importancia del aprendizaje significativo en la construcción de conocimientos. Revista Científica De FAREM-Estelí, 63–75. Obtenido de https://www.camjol.info/index.php/FAREM/article/view/11608/13465
Zill, D. G. (2018). Ecuaciones diferenciales con aplicaciones de modelado (11 ed.). (A. E. García Hernández, Trad.) Cengage Learning Editores, S.A. de C.V. Recuperado el 22 de Diciembre de 2021, de https://issuu.com/cengagelatam/docs/zill_am_issuu

