ISSN 2410-5708 / e-ISSN 2313-7215
Year 10 | No. 29 | October 2021- January 2022
© Copyright (2021). National Autonomous University of Nicaragua, Managua.
This document is under a Creative Commons
Attribution-NonCommercial-NoDerivs 4.0 International licence.
Competency training for university teachers: FAREM-Carazo case
https://doi.org/10.5377/rtu.v10i29.12718
Submitted on September 25, 2021 / Accepted on September 30, 2021
Ed.D. Alicia María Idiáquez López
Research Teacher
National Autonomous University of Nicaragua, Managua
Regional Multidisciplinary Faculty of Carazo
Section:Education
Scientific Articles
Keywords: Competences; Higher education; Teacher training.
Abstract
This research is based on the need to define the competency profile of the professors of this Faculty and based on this competency profile to design a competency training plan according to their needs, proposing as a general objective: To design a proposal for teacher training by competencies in the face of the new demands of the environment and cyber society for the FAREM-Carazo (Multidisciplinary Regional Faculty of Carazo) of the UNAN-Managua. This training proposal takes into account the demands of teaching competencies associated with knowing, knowing how to do, knowing how to be, knowing how to learn, knowing how to transfer, and knowing how to unlearn. It was based on a reflective inquiry, forming discussion groups between teachers and experts and later came to the awareness of what you want to transform in a certain moment and situations. A mixed study methodology was developed, performing a triangulation of data and methods, through the semi-structured interview with the expert teachers, questionnaires applied to teachers and students of the Faculty and subsequently, the Delphi method was used to validate the thesis. The role of the university and teachers was identified, and the prevailing need to propose a training program by teacher competencies, based on the needs of their own teaching staff, which expressed a general lack of knowledge, manifesting a wide willingness to be trained on competencies. At the same time, it was possible to validate the necessary teaching skills in the face of the new challenges, which were included in the Proposal for Training by Competencies of university professors of the FAREM-Carazo.
1. Introduction
In today’s society, higher education faces the problem of the mismatch between the demands of the world of employment and the teacher training provided. Thus, the university is immersed in the knowledge society, marked by the great changes implied by the new information and communication technologies (García et al., 2017), in the understanding of technologies are a means in the resolution of problems and not an end in themselves (Tobón et al., 2015), which has meant a change in the role of teachers, generating the demand for certain competences that have to do with knowledge, know-how, know-how to be, know how to transfer, know how to learn and know how to unlearn.
Consequently, it is necessary to solve the problem of the gap between the teacher that society needs and the professor that the university really has, which represents a great challenge, this being one of the challenges proposed by UNESCO at its 2009 World Conference, in which the need for teacher training is raised, both initial and in employment, through plans and programs that provide teachers with the necessary skills in the face of new challenges; at the same time, articulating tradition and innovation and bringing together the plurality of competences, skills and knowledge that people build in their different activities (Declaration of the III Regional Conference on Higher Education for Latin America and the Caribbean, CRES 2018). In this order of ideas, within the 2030 Agenda for Sustainable Development of the United Nations Organization, the challenges of today’s unprecedented world are raised, affirming that “We are facing a change of era: the option of continuing with the same patterns is no longer viable, which makes it necessary to transform the current development paradigm into one that takes us along the path of sustainable development, inclusive and with a long-term vision” (p. 7).
The knowledge society demands from universities professors with comprehensive training, capable of solving problems, with a high sense of responsibility to society and with the ability to train future professionals (Salazar and Tobón, 2018). For this reason, in Latin America teacher training has been updated in curricular matters in terms of theoretical references, however, there is still a need to make other changes, especially when it comes to incorporate the training demands that teachers themselves identify as capital needs in their training. In this sense, teacher training must take into account the demands expressed by them (Ferrada, 2017).
It is the gap between the training that teachers have and that which they should have that should attract the attention of the directors of higher education institutions and at the same time direct their orientation to teacher training to solve this gap, since no one can ignore that teacher qualification affects the quality of education, in such a way that if the teacher has not developed the required skills, he is in the difficulty of being able to teach them to his students (Imbernón, 2017).
It follows that this research aims to build knowledge based on its authors and their own contexts, who are the ones that legitimize and determine the topics that need to be analyzed, reflected and criticized in the teacher training process (Imbernón, 2019). It is about defining the competency profile of the FAREM-Carazo teachers and based on that competency profile designing a competency-based training plan based on their needs.
2. Method
The information presented in this article is based on a systematic data collection process. To reach this moment, an initial immersion has been made in the context of study through discussion groups with the teachers of the three academic departments of the FAREM-Carazo of the UNAN-Managua and with experts in training by competences, likewise notes of what has been observed, therefore, the first impressions are already available, those that have managed to raise awareness among the researcher about the need to study the subject at a certain time and in situations.
Subsequently, a compilation of documentation was made at national and international level, establishing the frame of reference through documentary and exploratory study investigating the foundations and the different theoretical-practical contributions of the evolution of the university with its different models, as well as the current and future trends of the new needs of the current university and everything related to the concept and classification of competences in education and training d the teaching staff, serving to increase the degree of clarity of relatively unknown phenomena and at the same time, trying to detect and know the reality prior to the development of the research, trying to find the hypothesis, becoming familiar with a problem that will later be analyzed in more detail (Prieto and Domínguez, 2014).
From these discussion groups, the mixed design of the research is developed through the data collection process that consists of three phases, of which the first and third are qualitative and the second is quantitative.
Below are the phases of the mixed design of this research:
First Phase: Semi-structured interview
The semi-structured interviews that were applied in this phase of the research are aimed at professors with certain expertise from the three teaching departments of FAREM-Carazo, in search of knowing their point of view regarding the role of the university, the new role and profile of the teaching staff.
Given that this first phase is of a qualitative nature, a non-probabilistic sample of experts was used, when interviewing the people considered suitable in the field, defining their number by saturation of categories, until the analysis units do not provide useful and novel data, with a number of cases that allowed to answer the research questions (Hernández et al. 2014).
To validate the instruments of this study, 6 experts were used; 3 from the methodological point of view and 3 of the subject of training by competences, which were provided with an Expert Validation Protocol in which information was included regarding the objectives of the research, the study variables, the characteristics of the experts, as well as the script of the interview to be applied, to be evaluated in the opinion of these experts who gave information, evidence, judgment and evaluations of the instruments in question (Escobar and Cuervo, 2008). The research variables were analyzed in the Nvivo 12 program, codifying them in the text for proper analysis.
Second Phase: questionnaire
In the case of teachers, they were presented with the list of proposed competencies, as well as the competence units organized around “diagnosis, planning, implementation and evaluation” with the aim of assessing their own level of development. On the other hand, with the students, it was sought to verify their perception regarding the competences that the teachers of this faculty have developed. This phase is complementary to the first phase, in which more open interviews are applied.
The universe of research is made up of 1146 students enrolled in the I Semester of 2020, in IV and V year of the different careers offered by the three academic departments of the Regional Multidisciplinary Faculty of Carazo in the morning, evening and professionalization shifts. Similarly, the universe of study for this research is made up of the 66 staff teachers, including the 3 department directors.
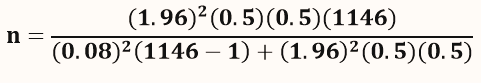
The selection of the sample was made with a probabilistic sample design in two stages, first each department was considered as a stratum, and then a Simple Random Sampling (MSA) was carried out on the sample units. To calculate the sample size of the teachers, a mathematical model with a known population under uncertainty was used, 50% was used as a probability of success and 50% as a probability of failure, for the estimation error 8% was considered, and 95% for the confidence level, according to the formula shown below:

Where:
N = population size
Z = 95% confidence level.
P = probability of success, or expected proportion
q = probability of failure
d = accuracy (Maximum permissible error in terms of proportion)

Obtaining:

In the case of students, the calculation was done in the same way:

Getting:

The validation of this questionnaire involved two aspects that indicate that a scale meets its objective: validity and reliability. First, to determine the validity, validation by experts was used, with the participation of 6 specialists; 3 from the methodological point of view and 3 from the theme of training by competences. These experts filled out a script for the evaluation of the instrument where they presented their points of view, which were taken into account to improve it, so that it reflects a specific domain of content of what is intended to be measured (Hernández et al., 2014).
Secondly, we proceeded to analyze the reliability of the construct, that is, how successfully an instrument represents and measures a theoretical concept, this was done through the reliability analysis with Cronbach’s Alpha, proceeding to apply a pilotage with a total of 15 teachers and 30 students for each instrument respectively, resulting in an alpha of 0.6 in each of them. Consequently, this value is not acceptable since it represents very little relationship between the questions designed to collect information. In such a way that an exhaustive review of each section and item of the questionnaires was carried out (Tuapanta et al. 2017), eliminating aspects that produced confusion among the respondents, and that had already been consulted in the interview with the teachers: role of the university, function of the teachers, needs of the teaching staff in terms of competences and type of training they have received.
The proposal of the new questionnaire was structured in order to meet the objective number two of the research: “Determine the competences that farem-Carazo teachers have, according to the assessments of teachers and students”, with a proposal of 6 competencies of the teaching staff and their respective units of competences, around: diagnosis, planning, implementation and evaluation, so that Cronbach’s Alpha was again applied to the restructured instrument resulting in 0.913 for the teaching instrument 0.913 and for the student instrument 0.912. These results show that both questionnaires (students and teachers) have a high level of reliability, therefore, we proceeded to apply to the samples calculated in advance.
The analysis of this data was done through the SPSS version 24 program, through which tables and graphs were generated. The statistical analysis carried out is of a univariate descriptive level.
Third Phase: Delphi Methodology
Having determined the needs in terms of competences, as well as the competences and training that university professors have and should have, in this third phase the Delphi methodology was used, with the aim of validating the information obtained. So a document was prepared synthesizing the information of the thesis, from the Introduction to the Recommendations, in search of the comments and observations of the experts selected in the subject of study, which served to adjust and improve the research.
To carry out this phase, the participation of 15 experts in the area of study was requested, selected by non-probabilistic sampling to analyze and give their point of view on the problem statement, theoretical framework, hypothesis, data collection process and conclusions.
To collect the information, a panel of experts was formed, using as a means of communication the emails of each of them, in which they had to answer a questionnaire structured by questions that sought the validation of the research process and the proposal of teacher training by competences. It should be noted that this questionnaire was evaluated by five experts, three from the methodological aspect and two from the perspective of competency-based training, in order to give coherence, clarity and understanding to the questions designed. This obviously led to the improvement of the document, prior to the use of the expert participants in the Delphi group.
3. Results
3.1. Results of the first qualitative phase: interviews
Through these interviews it was possible to identify the needs of the university professor, in terms of competences. In the same way, the interviewees were able to order the competences that the university professor must have in order of importance in the new context of the knowledge society with respect to the demands of society to the university. In the first place, we sought to know the opinion of the professors about the role of the university, asking them to express it in order of importance, obtaining the following results:
Table 1.
Competences that the university professor must have with respect to the demands of society
|
1. To train and guide professionals with an integral vision, according to the vision and mission of the UNAN-Managua. |
|
2. Respond to the needs and problems of society through research. |
|
3. Develop social programs that help the labor insertion of the studyer. |
|
4. Train and guide students with humanism and values. |
|
5. Prepare students to work with diversity and generate jobs. |
|
6. Take on the challenges of today’s society. |
Source: Own elaboration
In order to give coherence to the role of the university, they were asked to give their opinion, in order of importance, on the role of the teacher, obtaining mostly answers that guide to:

Figure 1.
Role of the university teacher
Source: Own elaboration
When consulting the interviewees about what is the function of teachers in the twenty-first century, in order of importance, the teachers agreed that the main functions of the teaching staff are those linked to teaching, they affirmed that there are multiple functions of the same, mostly associated with the didactic process in which they mention the process of:

Figure 2.
Role of teachers of the twenty-first century.
Source: Own elaboration
On the other hand, they were also asked what the needs of teachers are in terms of competences and in order of importance, resulting in the majority expressing the need to be trained in competences.
Regarding the competences that they have in their majority, in order of priority, the informants agreed on the competences of:

Figure 3.
Competences of FAREM-Carazo faculty in order of priority.
Source: Own elaboration
In relation to the competences they must have,the following answers predominated in order of importance:
Table 2.
Competences that university teachers must have.
|
Competences that university teachers must have |
|
|
1. Generic Competences 2. Permanent update 3. ICT skills 4. Research competences 5. Communication skills 6. Troubleshooting 7. Cooperative work 8. Creativity 9. Autodidact 10. Planning the teaching-learning process 11. Tolerance 12. Multifunctional competencies 13. Open to learning |
14. Teamwork 15. Social commitment 16. Human relations 17. English as a second language 18. Mastery of the subject taught 19. Oral and written expression 20. Leadership 21. Knowledge management competencies 22. Entrepreneurship 23. Competency-specific training 24. Interpersonal skills 25. Ability to manage and formulate projects 26. Critical thinking |
Source: Own elaboration
To finish the interview, the interviewees were asked about the type of training they should have,in order ofimportance they mentioned:

Figure 4.
Type of training they should have.
Source: Own elaboration
3.2. Results of the second quantitative phase
The questionnaire was applied to a total of 66 teachers from the three academic departments and 133 fourth and fifth year students of the FAREM-Carazo careers. Table 3 shows the result of the means of competences obtained from students and teachers.
Table 3:
Average of the proposed competences
|
Average of the proposed competences |
Students |
Teachers |
Averages of averages |
|
Media |
Media |
||
|
Competences for lifelong learning, research and innovation in different contexts |
3.02 |
3.26 |
3.14 |
|
Skills for the management of information and creativity |
2.87 |
3.28 |
3.08 |
|
Competencies for teamwork in a Cooperative way |
3.13 |
3.46 |
3.29 |
|
Competencies for situation management and problem solving |
2.98 |
3.22 |
3.10 |
|
Competences for the use and management of new information and communication technologies |
2.93 |
3.24 |
3.09 |
|
Competences for life in society, recognizing the historical reality of the country. |
2.83 |
3.35 |
3.09 |
|
Average diagnostic competencies |
Students |
Teachers |
Averages of averages |
|
Media |
Media |
||
|
Has knowledge and mastery in the areas in which he works |
3.41 |
3.63 |
3.52 |
|
Teaches and is constantly updated |
3.40 |
3.63 |
3.51 |
|
Demonstrate creativity in different scenarios |
3.07 |
3.46 |
3.26 |
|
Learn and teach others |
3.35 |
3.65 |
3.50 |
|
Planning Measures |
Students |
Teachers |
Stocking Averages |
|
Media |
Media |
||
|
Knows and applies the rules, regulations and ethical principles of the university |
3.68 |
3.78 |
3.73 |
|
Study the profile of the career and from this adapt its planning |
3.44 |
3.65 |
3.54 |
|
Diagnoses students’ learning needs |
3.24 |
3.48 |
3.36 |
|
Organizes and plans its classes in an orderly manner and according to the needs of students and the university |
3.41 |
3.65 |
3.53 |
|
It makes an ordering of the contents of the program considering the necessary knowledge for the development of the same |
3.29 |
3.52 |
3.41 |
|
Manages in a timely manner the information and resources needed to perform its work |
3.38 |
3.70 |
3.54 |
|
Selects and prepares teaching materials to use in the development of the class |
3.17 |
3.67 |
3.42 |
|
Organize the learning environment |
3.12 |
3.59 |
3.35 |
|
Make decisions autonomously in different situations to solve problems according to the context |
3.20 |
3.48 |
3.34 |
|
Promotes autonomous learning of students |
3.38 |
3.85 |
3.62 |
|
Analyze and synthesize information in the best possible way |
3.40 |
3.67 |
3.54 |
|
Identifies, raises and solves learning problems of its students |
3.14 |
3.54 |
3.34 |
|
Adapts to different situations and contexts |
3.31 |
3.67 |
3.49 |
|
Work as a team and cooperatively with other professionals, students and community members |
3.30 |
3.46 |
3.38 |
|
Means of implementation of the intervention |
Students |
Teachers |
Averages of averages |
|
Media |
Media |
||
|
Relate theory to practice |
3.41 |
3.74 |
3.58 |
|
Properly uses information and communication technologies to improve learning in different areas |
3.37 |
3.33 |
3.35 |
|
Communicates orally and assertively in different contexts |
3.46 |
3.61 |
3.53 |
|
Communicates in a written and assertive manner in different contexts |
3.30 |
3.39 |
3.35 |
|
You have proficiency in a second language that allows you to communicate orally or in writing based on academic needs |
2.35 |
2.20 |
2.27 |
|
Applies research knowledge to problem solving |
3.30 |
3.22 |
3.26 |
|
Encourages and applies collaborative work among its students |
3.46 |
3.65 |
3.56 |
|
Guide and tutor from close to the personal development and training of the student |
3.26 |
3.43 |
3.35 |
|
Demonstrates initiative and entrepreneurial spirit |
3.31 |
3.46 |
3.38 |
|
Respects both colleagues, students and community members |
3.69 |
3.89 |
3.79 |
|
Motivates and leads towards common goals, seeking permanent improvement |
3.50 |
3.65 |
3.57 |
|
Formulates and manages projects for the community |
3.00 |
2.78 |
2.89 |
|
Demonstrate respect for other cultures and customs |
3.50 |
3.76 |
3.63 |
|
Face risk and uncertainty in different scenarios |
3.04 |
3.43 |
3.24 |
|
Demonstrates institutional identity and sense of belonging |
3.34 |
3.87 |
3.60 |
|
Take care of the environment and show sensitivity to these issues |
3.43 |
3.72 |
3.57 |
|
Evaluation and innovation measures |
Students |
Teachers |
Averages of averages |
|
Media |
Media |
||
|
Know and apply the different forms of evaluation using critical thinking |
3.37 |
3.54 |
3.46 |
|
Evaluates its students according to the regulations established by the university |
3.62 |
3.70 |
3.66 |
|
Engages and encourages students to participate in scientific and innovation events |
3.17 |
3.35 |
3.26 |
|
Values the participation of its students in scientific and innovation events |
3.17 |
3.37 |
3.27 |
|
Shows skills to work in international contexts |
2.80 |
2.87 |
2.84 |
|
Understand the social and historical reality of the country, the institution and the students |
3.35 |
3.76 |
3.56 |
|
Acts with social and institutional responsibility in the different academic scenarios |
3.46 |
3.83 |
3.64 |
|
It has a self-critical sense of reflection, with skepticism, oriented to research and innovation |
3.35 |
3.52 |
3.44 |
Source: Own elaboration.
Based on the results obtained in the questionnaires applied to students and teachers of FAREM-Carazo, table 4 shows the competencies with the lowest, highest ratings and those that presented the margins with the greatest differences between the two groups of informants.
Table 4.
Assessments of competences (low, high and differences between them).
|
Lower competencies |
Higher competencies |
Greater differences in valuations |
|
•Skills for the management of information and creativity. •Competence for handling situations and solving problems. •Skills for the use and management of new technologies. •Competences for life in society, recognizing the historical reality of the country. •Proficiency in the second language. •Formulates and manages projects. •Skills to work in international contexts |
•Knows and applies the rules and regulations and ethical principles of the university. •Respect for colleagues and students and community members •Respect for other cultures and customs. •Institutional identity and sense of belonging. •Evaluates students according to the regulations established by the university. •Promotes autonomous learning of students. •Acts with social and institutional responsibility in the different academic scenarios |
•Demonstrate creativity in different scenarios •Learn and teach others •Manages in a timely manner the information and resources needed to perform its work •Select and prepare teaching materials to use in the development of the class. •Organize the learning environment •Identifies, raises and solves learning problems of its students •Adapts to different situations and contexts •Relate theory to practice •Face risk and uncertainty in different scenarios •Demonstrates institutional identity and sense of belonging •Understand the social and historical reality of the country, the institution and the students |
Source: Own elaboration
3.3. Results of the third phase
After the development of the first two phases: qualitative and quantitative respectively, a panel of experts was developed consisting of 15 members, who answered a script of questions in order to validate the research process and the proposal for teacher training by competences. Of the 15 experts consulted, 12 responded positively willing to collaborate with the study.
The informants gave their contributions to improve the problem statement, theoretical framework, data collection instruments, samples defined in the qualitative and quantitative phases, analysis, conclusions and the proposal of the study. These contributions helped to make improvement adjustments in research in the different areas mentioned.
4. Discussion and conclusions
This work has had the constant concern of gathering sufficient evidence to support the need for a competency-based training proposal, in order to guarantee its validity and reliability, which is why the analysis is done by triangulating information, in search of enriching the research through methods and data in contrast with the theoretical foundation proposed.
One of the main conclusions was that there is a great distance between the images that the teacher has about his competences and those that the student can perceive from his experience. So this research has offered a clear picture of the competencies best valued by both groups of informants and those that need to be improved through teacher training by competencies. It was possible to ratify that the university has a new role that consists of the formation of citizens for the knowledge society, who respect human rights and who are responsible to society guaranteeing an effective educational process and that, in turn, this role has generated new training needs for teacher competencies.
A very important fact is that, despite the fact that UNAN-Managua is working on the transformation of its competency-oriented curriculum, there is still no professional teaching profile declared by competences, making it imperative to raise conceptually and clearly the fundamentals of the subject of competences, given that it has become an element of insecurity on the part of teachers, before the process of Curricular Improvement in which the UNAN-Managua is immersed.
On the other hand, the teaching staff expresses mastery of the specific competences, according to their specialty, however, the need to develop competences that join theory with practice in the solution of real problems is evident, in such a way that itwas possible to obtain information from the teachers at the level of self-evaluation of the development of the proposed competences and was contrasted with the opinion of the students, being able to determine the level of development of competences that currently have the teachers of this Faculty, from the point of view of teachers and students.
The proposal presented through the questionnaires applied is fed by different contributions (Tobón, 2006) and is based on the contributions of the informants of this study, taking into account that the competences have a multidimensional and polysemic character (Domínguez, 2013). Based on the criteria defined for their selection, at least 21 elements of competence (43%) that need to be improved and prioritized through training were identified.
It has been possible to demonstrate the prevailing need to propose a training program by teacher competencies, based on the needs of its own teaching staff, which defines the guidelines and theoretical and methodological foundations within the framework of a competency-based model for higher education; to structure its methodological planning according to the model to be followed; to determine the contents and strategies to be followed, in coherence with the needs found in the study; and that it structures each of its components in sequential and articulated stages, which are constituted in the modules of the program, that takes into account the models that have served as a reference in training processes: Academicist, Behaviorist, Humanist, Cognitivist-constructivist and Sociocritical. In this sense, to respond to the different demands and learning situations, the combination and interrelation of the different models is an integrated strategy (Domínguez and Prieto, 2014), with a wide willingness on the part of the teaching staff to be trained in competences, based on the multidimensional aspect of the competences, constituting a benchmark of quality and continuous search for teacher improvement.
Throughout this study, the new reality of the knowledge society has been addressed, which implies cultural, political, economic, technological and educational transformations, which means a great challenge for higher education institutions given that, in this new scenario, the role of the university and the teaching staff has been modified and, therefore, new teaching skills have been generated. In order to be able to respond to the new demands, the proposal for teacher training by competences for FAREM-Carazo is presented below, which is based on the following aspects:
•Part of the detection of the shortcomings and needs of teacher training in terms of competences, which serves as the basis for the training offer in a way that allows to acquire the necessary skills for their good professional performance.
•A critical and socio-critical stance of change and social innovation is assumed, giving special importance to training as an awareness and instrument of change.
•The proposed training seeks to meet the new socio-educational demands: the development of the knowledge society, social networks and their consequences on the empowerment of critical citizenship in issues such as diversity, bilingualism, guidance and tutoring, the management of the center and the classroom, conflict resolution (Domínguez, Prieto and Álvarez, 2019).
•The training program is characterized by focusing its action on practice and not on content.
•It must be open and flexible, constantly evolving, adapting to changes in the context.
•The strategies to be used aim to lead teachers to the continuous reflection of their own teaching practice.
•The proposal is made up of blocks or units of competences according to the dimensions of knowledge assumed in this work (knowing, knowing how to do, knowing how to be, knowing how to learn, knowing how to transfer and knowing how to unlearn) around diagnosis, planning, implementation and evaluation.
•It is considered that each context will have to generate specific teaching competences, with the consent and participation of those involved, taking into account the needs and characteristics of each situation, in this case, the FAREM-Carazo.
•This proposal is aimed at meeting the needs evidenced in this study, contemplating areas of attention and impact: the role and functions of university professors in the face of new challenges, as well as their profile and competences.
Taking into consideration Domínguez and Prieto (2013), the design of training projects includes the following elements: Target groups, objectives, contents, methodologies, resources, evaluation and the trainer.
Table 5.
Plan of the Proposal of Training by Competences of the
University Professors of the FAREM-Carazo FOCOMPRU
|
Target groups |
Teachers of the FAREM-Carazo of the three teaching departments, with training needs and active participation regarding the competences. |
|
Objectives of the training |
General Objective: Contribute through training to the development of teaching skills, according to the proposed competency profile, in order to respond to their needs in the face of new challenges. Specific Objectives: •Promote the development of the skills and knowledge necessary to teach, relating theory to practice. •Scientifically and technically update the teaching staff through a collaborative methodology, based on real cases and alternative methods. |
|
Contents |
The blocks of competences selected for teacher training will be taken as a reference. These were organized according to: a. Proposed competences b. Block of competences of: •Diagnosis •Design and Planning •Implementation and intervention •Evaluation and innovation The detail of each block can be seen in Table 6 |
|
Methodologies |
Participatory, based on reflection and continuous evaluation: •Exhibition •Self-training •Cases (includes simulation) •Projects •Continuous product improvement •Collaboration between different actors •Context troubleshooting |
|
Didactic resources |
These should be instruments of use that generalize attitudes of change: •Minimum infrastructure for training •Use of materials that simulate real life •Availability of resources to establish problems: Stationery and technological resources (Datashow, computer, videos, movies) |
|
Evaluation |
It will be evaluated taking into account the problems of the context. This evaluation will be defined through the pact and consensus between the groups and the trainer, making use of: •Diagnostic Evaluation •Continuous evaluation, all this through: •Self-assessment and co-evaluation for improvement purposes |
|
Trainer |
The role of the trainer is to: •Awareness of the situation of teachers. •With the ability to detect the needs and the transfer and social impact of the participants •It acts as a socio-educational agent that seeks the change of the Faculty. •It promotes the development of teachers’ talent. •The trainer must be clear that his design can be modified according to variables not contemplated, in order to improve. |
Source: Own Elaboration
Based on the results of the different phases of this study, the following contents can be presented to carry out the proposed training. It is important to note that these contents must be adapted to specific situations and needs according to the purposes of the training. Note that the competencies that demonstrated the greatest need for training are in italics and bold:
Table 6.
Proposed competences and their elements in the study
according to the results of the collection of information
|
Proposal of competences |
Six competences of the proposal |
•Competencies for teamwork in a cooperative manner. •Competence for lifelong learning, research and innovation in different contexts. •Competence for the management of information and creativity. •Competence for handling situations and solving problems. •Competence for the use of information and communication technology. •Competence for life in society, recognizing the historical reality of the country. |
|
Diagnosis |
In the Diagnosis, the competences demanded for it are grouped, both in the social and work environment, based on an analysis of the scenario in which the intervention will be developed. |
•Knowledge and mastery in the areas in which he works. •Learn and be constantly updated •Creativity in the different scenarios. •Learning and teaching others. |
|
Intervention Design / Planning |
The Design of the intervention refers to the competences necessary for the planning of the work. |
•Knowledge and application of the rules, regulations and ethical principles of the university. •Study of the profile of the career and from this adapts its planning. •Diagnosis of the learning needs of your students. •Organization and planning of classes according to needs •Ordering of the contents of the program considering the necessary knowledge for it. •Decision making with autonomy in different situations to solve context problems. •Analysis of information in the best possible way. •Teamwork in a cooperative way. •Selection and preparation of didactic materials to use in the development of the class. •Organization of the learning environment •Promotion of autonomous learning of students •Identification, approach and resolution of learning problems of your students •Adaptation to different situations and contexts •Timely management of the information and resources needed to perform your job. |
|
Implementation and intervention |
The Intervention and follow-up refers to the group of competences required for the implementation of the planned actions, where the acquired knowledge is applied. |
•Appropriate use of information and communication technologies •Oral and assertive communication in different contexts •Written communication in different contexts •Application of research knowledge in conflict resolution. •Promotion and application of collaborative work in students •Guidance and tutoring from the personal development and training of the student. •Initiative and entrepreneurial spirit. •Respect for colleagues and others in the community. •Motivation and driving towards common goals. •Respect for other cultures and customs •I take care of the environment. •Proficiency in a second language that allows you to communicate orally or in writing according to academic needs. •Formulates and manages projects in favor of the community. •Demonstrates institutional identity and sense of belonging. •It faces risk and uncertainty in different scenarios. •Relate theory to practice |
| Evaluation and innovation |
Evaluation, innovation and improvement are the competences with which the evaluation of the results obtained in the intervention is carried out, analyzing and reflecting on the aspects that require improvement and innovation in the field in which we work. |
•Knowledge and application of the different forms of evaluation. •Evaluation of students according to the regulations established by the university. •Promotion of participation in scientific and innovation events. •Assessment of student participation in scientific and innovation events. •Self-critical sense reflective with skepticism, oriented to research and innovation. •Shows skills to work in international contexts. •Understand the social and historical reality of the country, the institution and the students. •It acts with social and institutional responsibility in the different academic scenarios. |
Source: Own Elaboration
References
CRES 2018. (n.d.). Declaration III Regional Conference on Higher Education for Latin America and theCaribbean. Córdoba. Obtained from http://www.cres2018.org/biblioteca/declaracion-final-cres-2018
Domínguez Fenández, G. (2013). The performance position (profile) of the trainer and the teaching-learning processes (professional functions and competences). Seville, Spain.
Domínguez Fernández, G. (2013). The profile and functions of the Trainer. Teaching models and their application to the Curriculum. Spain.
Domínguez, G. & Prieto, E. (2014). Models and paradigms of education. Operation of an intervention program and profile of the educator. The microdydical dimension or educational intervention. Material for Doctorate in Education and Social Intervention. UNAN-Managua. Seville: Pablo de Olavide University.
Domínguez Fernández, G., Prieto Jiménez, E., & Álvarez, F. (2019). THE REAL SITUATIONS OF THE TEACHER AS AN INITIAL LEARNING STRATEGY OF SECONDARY SCHOOL TEACHERS: THE SIRECA MODEL. Faculty. Journal of Curriculum and Teacher Training,129-149.
Escobar-Pérez, J., & Cuervo-Martínez, Á. (2008). Content validity and expert judgment: an approach to its use. Advances in Measurement,27–36. http://www.humanas.unal.edu.co/psicometria/files/7113/8574/5708/Articulo3_Juicio_de_expertos_27-36.pdf
Ferrada, D. (2017). Teacher training for the university. Mexican Journal of Educational Research,783-811. https://www.redalyc.org/pdf/140/14053215006.pdf
García Sánchez, M., Reyes Añorve, J., & Godínez Alarcón, G. (2017). ICT in higher education, innovations and challenges. Revista Iberoamericana de las Ciencias Sociales y Humanísticas,1-18. https://www.redalyc.org/pdf/5039/503954320013.pdf
Hernández Sampieri, R., Fernández Collado, C., & Baptista Lucio, M. d. (2014). Research Methodology. Mexico: Mc Graw Hill.
Imbernón, F. (2016). The educational challenges of the present and the future. Society changes, and teachers? Revista Internacional de Formação de Professores,121-129. https://www.researchgate.net/publication/333650911_los_retos_educativoS_del_presente_y_del_futuro_la_sociedad_cambia_y_el_profesorado
Imbernón, F. (2019). Secondary school teacher training: the eternal nightmare. Faculty. Journal of Curriculum and Teacher Training,151-163. https://recyt.fecyt.es/index.php/profesorado/article/view/74488
United Nations. Millennium Development Goals Report 2015. New York: UN; 2015. Available in: http://www.un.org/es/millenniumgoals/pdf/2015/mdg_2015_s_summary_web.pdf [Links ]
United Nations (2018), The 2030 Agenda and the Sustainable Development Goals: an opportunity for Latin America and the Caribbean (LC/G.2681-P/Rev.3), Santiago
Tuapanta Dacto, J. V., Duque Vaca, M. A., & Mena Reinoso, A. P. (2017). Cronbach's alpha to validate a questionnaire on ICT use in university teachers. mktDescubre Magazine,37 - 48. http://revistas.espoch.edu.ec/index.php/mktdescubre/article/view/141
Salazar G. & Tobón, S. (2018). Documentary analysis of the teacher training process in accordance with the knowledge society. Espacios Magazine Vol. 39 (Number 53) Vol. 39 (Number 53) Pp. 17-20.
Tobón, S. (2006). Basic aspects of competency-based training. Talca: Mesesup Project. https://maristas.org.mx/gestion/web/doctos/aspectos_basicos_formacion_competencias.pdf
Tobón , S. (2017). Conceptual analysis of the socioformation according to the knowledgesociety. Knowledge Society! and Quality of Life, 9-35. https://issuu.com/cife/docs/essential_axes_of_knowledge_society
Tobón, S., Gonzalez, L., Nambo, J., & Vazquez Antonio, J. (2015). Socio-training: A conceptual study. Paradigm,7 – 29.
UNESCO. (2009) World Conference on Higher Education 2009 Paris France