

Educación
La Formación por Competencias del profesorado universitario: caso FAREM-Carazo
Competency Training for university teachers: FAREM-Carazo case
Revista Torreón Universitario
Universidad Nacional Autónoma de Nicaragua-Managua, Nicaragua
ISSN: 2410-5708
ISSN-e: 2313-7215
Periodicidad: Cuatrimestral
vol. 10, núm. 29, 2021
Recepción: 25 Septiembre 2021
Aprobación: 30 Septiembre 2021

Resumen: Esta investigación parte de la necesidad de definir el perfil competencial de los profesores de esta Facultad y con base en ese perfil competencial diseñar un plan de formación por competencias de acuerdo a sus necesidades, proponiendo como objetivo general: Diseñar una propuesta de formación docente por competencias ante las nuevas demandas del entorno y de la ciber sociedad para la FAREM-Carazo de la UNAN-Managua. Dicha propuesta de formación toma en cuenta las demandas de competencias docentes asociadas al saber, saber hacer, saber ser, saber aprender, saber transferir y saber desaprender. Se partió de una indagación reflexiva, conformando grupos de discusión entre profesores y expertos y posteriormente se llegó a la concienciación de lo que se quiere transformar en determinado momento y situaciones. Se desarrolló una metodología de estudio mixta, realizando una triangulación de datos y métodos, a través de la entrevista semi estructurada a los docentes expertos, cuestionarios aplicados a docentes y estudiantes de la Facultad y posteriormente se utilizó el método Delphi para validar la tesis. Se identificó el rol de la universidad y de los docentes, además se evidenció la necesidad imperante de proponer un programa de formación por competencias del profesorado, basado en las necesidades de su propia planta docente, que expresó una carencia de conocimiento generalizada, manifestando amplia disposición de ser formados en competencias. Al mismo tiempo se logró validar las competencias docentes necesarias ante los nuevos retos, las que se incluyeron en la Propuesta de Formación por Competencias del profesorado universitario de la FAREM-Carazo.
Palabras clave: competencias, educación superior, formación docente.
Abstract: This research is based on the needs to define the competency profile of the professors of this Faculty and based on this competency profile to design a competency-based training plan according to their needs, proposing as a general objective: To design a proposal for teacher training by competencies in the face of the new demands of the environment and cyber society for the FAREM-Carazo of the UNAN-Managua. This training proposal takes into account the demands of teaching skills associated with knowledge, know-how, know-how, know-how to learn, know how to know how to learn and know how to unlearn. It was based on a reflective inquiry, forming discussion groups between teachers and experts and later came to the awareness of what you want to transform in a certain moment and situations. It is developed a mixed study methodology, performing a triangulation of data and methods, through the semi-structured interview with expert teachers, questionnaires applied to teachers and students of the Faculty and subsequently the Delphi method used to validate the thesis was used. It was identified the role of the university and teachers, also evidenced the prevailing need to propose a training program by teacher competencies, based on the needs of its own teaching staff, which expressed a lack of generalized knowledge, expressing a wide willingness to be trained in skills. At the same time, it was possible to validate the necessary teaching skills in the face of the new challenges, which were included in the Proposal for Training by Competencies of university professors of the FAREM-Carazo.
Keywords: competences, higher education, teacher training.
1. Introducción
En la sociedad actual, la educación superior enfrenta la problemática del desajuste entre las demandas del mundo del empleo y la formación docente brindada. Así pues, la universidad se encuentra inmersa en la sociedad del conocimiento, marcada por los grandes cambios que implican las nuevas tecnologías de la información y la comunicación (García et al., 2017), en el entendido de las tecnologías son un medio en la resolución de problemas y no un fin en sí mismas (Tobón et al., 2015), lo que ha significado un cambio de rol del profesorado, generando la demanda de competencias determinadas que tienen que ver con el saber, saber hacer, saber ser, saber transferir, saber aprender y saber desaprender.
En consecuencia, se necesita resolver el problema de la brecha existente entre el profesor que necesita la sociedad y el profesor que realmente tiene la universidad, lo cual representa un gran reto, siendo este uno de los desafíos propuestos por la UNESCO en su Conferencia Mundial de 2009, en la que se plantea la necesidad de formación docente, tanto inicial como en el empleo, a través de planes y programas que doten a los docentes las competencias necesarias ante los nuevos retos; al mismo tiempo, articulando tradición e innovación y congregando la pluralidad de competencias, habilidades y conocimientos que las personas construyen en sus diferentes actividades (Declaración de la III Conferencia Regional de Educación Superior para América Latina y el Caribe, CRES 2018). En este orden de ideas, dentro de la Agenda 2030 para el Desarrollo Sostenible de la Organización de Naciones Unidas se plantean los desafíos del mundo de la actualidad sin precedentes afirmando que “Estamos frente a un cambio de época: la opción de continuar con los mismos patrones ya no es viable, lo que hace necesario transformar el paradigma de desarrollo actual en uno que nos lleve por la vía del desarrollo sostenible, inclusivo y con visión de largo plazo” (p. 7).
La sociedad del conocimiento demanda de las universidades profesores con formación integral, capaces de resolver problemas, con un alto sentido de responsabilidad con la sociedad y con capacidad de formar a los futuros profesionales (Salazar y Tobón, 2018). Por tal razón, en Latinoamérica la formación docente se ha actualizado en materia curricular en cuanto a los referentes teóricos, no obstante, aún existe la necesidad de realizar otros cambios, máxime cuando se trata de incorporar las demandas de formación que los mismos docentes identifican como necesidades capitales en su formación. En ese sentido, la formación docente, debe tomar en cuenta las demandas expresadas por ellos mismos (Ferrada, 2017).
Es el desfase entre la formación que tienen los docentes y la que deberían tener lo que debe llamar la atención de los directivos de las instituciones de educación superior y al mismo tiempo dirigir su orientación a la formación docente para resolver esa brecha, dado que nadie puede ignorar que la calificación docente incide en la calidad de la educación, de manera tal que si el docente no tiene desarrolladas las competencias requeridas, se ve en la dificultad de poder enseñarlas a sus estudiantes (Imbernón, 2017).
De ello resulta que esta investigación pretende construir conocimiento con base en sus autores y sus propios contextos, quienes son los que legitiman y determinan las temáticas que necesitan ser analizadas, reflexionadas y criticadas en el proceso de formación docente (Imbernón, 2019). Se trata de definir el perfil competencial de los profesores la FAREM-Carazo y con base en ese perfil competencial diseñar un plan de formación por competencias con base en sus necesidades.
2. Método
La información que se presenta en este artículo se fundamenta en un proceso sistemático de recogida de datos. Para llegar a este momento se ha hecho una inmersión inicial en el contexto de estudio a través de grupos de discusión con los docentes de los tres departamentos académicos de la FAREM-Carazo de la UNAN-Managua y con expertos en formación por competencias, así mismo se ha tomado notas de lo observado, por lo tanto, ya se tienen las primeras impresiones, las que han logrado concientizar a la investigadora acerca de la necesidad de realizar el estudio del tema en determinado momento y situaciones.
Posteriormente se hizo una recopilación de documentación a nivel nacional e internacional, estableciendo el marco de referencia a través de estudio documental y exploratorio investigando los fundamentos y las distintas aportaciones teórico-prácticas de la evolución de la universidad con sus diferente modelos, así como las tendencias actuales y futuras de las nuevas necesidades de la universidad actual y todo lo referido al concepto y clasificación de competencias en la educación y la formación del profesorado, sirviendo para aumentar el grado de claridad de fenómenos relativamente desconocidos y a la vez, tratando de detectar y conocer la realidad previo al desarrollo de la investigación, intentando encontrar la hipótesis, familiarizándose con un problema que luego será analizado de forma más detallada (Prieto y Domínguez, 2014).
A partir de dichos grupos de discusión, se desarrolla el diseño mixto de la investigación a través del proceso de recogida de datos que consta de tres fases, de las cuales la primera y la tercera son de carácter cualitativo y la segunda es cuantitativa.
A continuación, se presentan las fases del diseño mixto de esta investigación:
Primera Fase: Entrevista semi estructurada
Las entrevistas semiestructuradas que se aplicaron en esta fase de la investigación, van dirigidas a los profesores con determinada experticia de los tres departamentos docentes de la FAREM-Carazo, en búsqueda de conocer su punto de vista en cuanto al rol de la universidad, el nuevo rol y perfil del profesorado.
Dado que esta primera fase es de carácter cualitativa, se empleó una muestra no probabilística de expertos, al entrevistar a las personas consideradas idóneas en la materia, definiendo su número por saturación de categorías, hasta que las unidades de análisis no aportan datos útiles y novedosos, con un número de casos que permitieron responder a las preguntas de investigación (Hernández et al. 2014).
Para validar los instrumentos de este estudio se recurrió a 6 expertos; 3 desde el punto de vista metodológico y 3 de la temática de formación por competencias, a los que se les proporcionó un Protocolo de Validación por Expertos en el que se incluyó información referente a los objetivos de la investigación, las variables de estudio, las características de los expertos, así como el guion de la entrevista a aplicar, para ser evaluados a juicio de estos expertos los cuales dieron información, evidencia, juicio y valoraciones de los instrumentos en cuestión (Escobar y Cuervo, 2008). Las variables de la investigación fueron analizadas en el programa Nvivo 12, codificándolas en el texto para su debido análisis.
Segunda Fase: cuestionario
En el caso de los docentes se les presentó el listado de competencias propuestas, así como las unidades de competencias organizadas en torno a “diagnóstico, planificación, implementación y evaluación” con el objetivo que valoraran su propio nivel desarrollo de las mismas. Por otra parte, con los estudiantes, se buscó verificar la percepción de los mismos respecto a las competencias que han desarrollado los docentes de esta facultad. Esta fase es complemento de la primera fase, en la que se aplican entrevistas más abiertas.
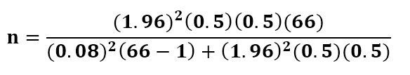
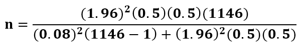
El universo de la investigación lo conforman 1146 estudiantes matriculados en el I Semestre del 2020, en IV y V año de las diferentes carreras que ofertan los tres departamentos académicos de la Facultad Regional Multidisciplinaria de Carazo en los turnos matutino, vespertinos y profesionalización. De igual manera, el universo de estudio para esta investigación lo componen los 66 docentes de planta, incluidos los 3 directores de departamento.
La selección de la muestra se realizó con un diseño muestral probabilístico en dos etapas, primero se consideró cada departamento como un estrato, y luego se efectuó un Muestreo Simple Aleatorio (MSA) sobre las unidades muestrales. Para calcular el tamaño de la muestra de los docentes se utilizó un modelo matemático con población conocida bajo incertidumbre, se usó un 50% como probabilidad de éxito y un 50 % como probabilidad de fracaso, para el error de estimación se consideró un 8 %, y un 95% para el nivel de confianza, según la fórmula que se muestra a continuación:

Dónde:
N = tamaño de la población
Z = nivel de confianza al 95%.
P = probabilidad de éxito, o proporción esperada
q = probabilidad de fracaso
d = precisión (Error máximo admisible en términos de proporción)

Obteniendo:

En el caso de los estudiantes, el cálculo se hizo de la misma manera:

Obteniendo:

La validación de este cuestionario implicó dos aspectos que indican que una escala cumple su objetivo: la validez y la confiabilidad. En primer lugar, para determinar la validez se empleó la validación por expertos, contando con la participación de 6 especialistas; 3 desde el punto de vista metodológico y 3 de la temática de formación por competencias. Estos expertos llenaron un guion de valoración del instrumento en donde expusieron sus puntos de vistas, los que fueron tomados en cuenta para mejorarlo, de manera que éste refleje dominio específico de contenido de lo que se pretende medir (Hernández et al., 2014).
En segundo lugar, se procedió analizar la confiabilidad del constructo, o sea, qué tan exitosamente un instrumento representa y mide un concepto teórico, esto se hizo a través del análisis de fiabilidad con el Alfa de Cronbach, procediendo a aplicar un pilotaje con un total de 15 docentes y 30 estudiantes por cada instrumento respectivamente, dando como resultado un alfa de 0.6 en cada uno de ellos. En consecuencia, este valor no es aceptable dado que representa muy poca relación entre las preguntas diseñadas para recolectar información. De tal manera que se procedió a hacer una revisión exhaustiva de cada apartado e ítem de los cuestionarios (Tuapanta et al. 2017), eliminando aspectos que produjeron confusión entre los encuestados, y que ya habían sido consultados en la entrevista a los docentes: rol de la universidad, función de los docentes, necesidades del profesorado en términos de competencias y tipo de formación que han recibido.
La propuesta del nuevo cuestionario quedó estructurada en orden de cumplir el objetivo número dos de la investigación: “Determinar las competencias que tienen los maestros de la FAREM-Carazo, según las valoraciones de los docentes y estudiantes”, con una propuesta de 6 competencias del profesorado y sus respectivas unidades de competencias, en torno a: diagnóstico, planificación, implementación y evaluación, de manera que se aplicó de nuevo el Alfa de Cronbach al instrumento reestructurado dando como resultado para el instrumento docente 0.913 y para el de los estudiantes 0.912. Estos resultados demuestran que ambos cuestionarios (estudiantes y docentes) tienen un alto nivel de fiabilidad, por lo tanto, se procedió a aplicar a las muestras calculadas con anticipación.
El análisis de estos datos se hizo a través del programa SPSS versión 24, a través del cual se generaron tablas y gráficas. El análisis estadístico realizado es de nivel descriptivo univariado.
Tercera Fase: Metodología Delphi
Al tener determinadas las necesidades en términos de competencias, así como las competencias y la formación que tienen y deberían tener los profesores universitarios, en esta tercera fase se hizo uso de la metodología Delphi, con el objetivo de validar la información obtenida. De manera que se elaboró un documento sintetizando la información de la tesis, desde la Introducción hasta las Recomendaciones, en busca de los comentarios y observaciones de los expertos seleccionados en el tema de estudio, las que sirvieron para ajustar y mejorar la investigación.
Para llevar a cabo esta fase se solicitó la participación de 15 expertos en el área de estudio, seleccionados por muestreo no probabilístico para analizar y dar su punto de vista sobre el planteamiento del problema, marco teórico, hipótesis, proceso de recogida de datos y las conclusiones.
Para recoger la información, se conformó un panel de expertos, utilizando como medio de comunicación los correos electrónicos de cada uno de ellos, en los que debían responder un cuestionario estructurado por preguntas que buscaron la validación del proceso de investigación y de la propuesta de formación docente por competencias. Cabe señalar que dicho cuestionario fue sometido a valoración por cinco expertos, tres desde el aspecto metodológico y dos desde la perspectiva de formación por competencias, con el fin de darle coherencia, claridad y comprensión a las preguntas diseñadas. Esto evidentemente conllevó a la mejora del documento, previo a la utilización de los participantes expertos en el grupo Delphi.
3. Resultados
3.1. Resultados de la primera fase cualitativa: entrevistas
A través de estas entrevistas se logró identificar las necesidades del profesor universitario, en términos de competencias. De la misma manera los entrevistados pudieron ordenar las competencias que debe tener el profesor universitario por orden de importancia en el nuevo contexto de la sociedad del conocimiento respecto a las demandas de la sociedad a la universidad. En primer lugar, se buscó conocer la opinión de los docentes en torno al rol de la universidad, pidiéndoles que la expresaran por orden de importancia, obteniendo los siguientes resultados:

Con el fin de darle coherencia al rol de la universidad se les pidió que dieran su opinión, por orden de importancia, en torno al rol del docente, obteniendo en su mayoría respuestas que orientan a:

Al consultar a los entrevistados acerca de cuál es la función de los docentes del siglo XXI, por orden de importancia, los profesores coincidieron en afirmar que las principales funciones del profesorado están las vinculados a la docencia, estos afirmaron que son múltiples las funciones de los mismos, mayormente asociadas al proceso didáctico en el que mencionan el proceso de:

Por otra parte, también se les consultó cuáles son las necesidades del profesorado en términos de competencias y por orden de importancia, resultando que la mayoría expresó la necesidad de ser formados en competencias.
En cuanto a las competencias que tienen en su mayoría, por orden de prioridad, los informantes coincidieron en las competencias de:

En relación a las competencias que deben tener, predominó por orden de importancia las siguientes respuestas:

Ya para finalizar la entrevista, se les consultó a los entrevistados acerca del tipo de formación que deberían tener, por orden de importancia mencionaron:

3.2. Resultados de la segunda fase cuantitativa
El cuestionario fue aplicado a un total de 66 docentes de los tres departamentos académicos y 133 estudiantes de cuarto y quinto año de las carreras de la FAREM-Carazo. En la Tabla 3 se puede apreciar el resultado de las medias de competencias obtenidas de estudiantes y docentes.


Con base en los resultados obtenidos en los cuestionarios aplicados a estudiantes y docentes de FAREM-Carazo, en la tabla 4 se puede observar las competencias con las valoraciones más bajas, más altas y las que presentaron los márgenes con mayores diferencias entre los dos grupos de informantes.

3.3. Resultados de la tercera fase
Posterior al desarrollo de las primeras dos fases: cualitativa y cuantitativa respectivamente, se desarrolló un panel de expertos conformado por 15 integrantes, quienes respondieron un guion de preguntas con el propósito de validar el proceso de investigación y la propuesta de formación docente por competencias. De los 15 expertos consultados, 12 respondieron positivamente dispuestos a colaborar con el estudio.
Los informantes dieron sus aportes para mejorar el planteamiento del problema, marco teórico, los instrumentos de recogida de datos, las muestras definidas en las fases cualitativa y cuantitativa, el análisis, las conclusiones y la propuesta del estudio. Estos aportes ayudaron a hacer ajustes de mejora en la investigación en las diferentes áreas mencionadas.
4. Discusión y conclusiones
Este trabajo ha tenido la preocupación constante de reunir las evidencias suficientes que sustenten la necesidad de una propuesta de formación por competencias, con el fin de garantizar validez y confiabilidad de la misma, razón por la que el análisis se hace triangulando información, en búsqueda de enriquecer la investigación a través de métodos y datos en contrastación con la fundamentación teórica planteada.
Una de las principales conclusiones fue que hay una gran distancia entre las imágenes que tiene el docente sobre sus competencias y las que el estudiante puede percibir desde su experiencia. De manera que en esta investigación se ha ofrecido una imagen clara de las competencias mejor valoradas por ambos grupos de informantes y las que necesitan ser mejoradas a través de la formación docente por competencias. Se logró ratificar que la universidad tiene un nuevo rol que consiste en la formación de ciudadanos para la sociedad del conocimiento, que respeten los derechos humanos y que sean responsables ante la sociedad garantizando un proceso educativo eficaz y que, a su vez, este rol ha generado nuevas necesidades de formación por competencias en el profesorado.
Un dato muy importante es que, a pesar de que la UNAN-Managua está trabajando en transformación de su currículo orientado a las competencias, no existe aún un perfil profesional docente declarado por competencias, resultando imperioso plantear conceptualmente y de forma clara los fundamentos del tema de competencias, dado que se ha convertido en un elemento de inseguridad por parte de los docentes, ante el proceso de Perfeccionamiento Curricular en el cual se encuentra inmersa la UNAN-Managua.
Por otra parte, el profesorado expresa dominio de las competencias específicas, según su especialidad, no obstante, se evidencia la necesidad de desarrollar competencias que unan la teoría con la práctica en la solución de problemas reales, de tal manera que se pudo obtener información de los docentes a nivel de autoevaluación del desarrollo de las competencias propuestas y se contrastó con la opinión de los estudiantes, pudiendo determinar el nivel de desarrollo de competencias que actualmente tienen los maestros de esta Facultad, desde el punto de vista de docentes y estudiantes.
La propuesta presentada a través de los cuestionarios aplicados se alimenta de diferentes contribuciones (Tobón, 2006) y se basa en los aportes de los informantes de este estudio, tomando en consideración que las competencias tienen un carácter multidimensional y polisémico (Domínguez, 2013). Se identificó, con base a los criterios definidos para su selección, al menos 21 elementos de competencia (43%) que requieren ser mejorados y priorizados a través de la formación.
Se ha podido evidenciar la necesidad imperante de proponer un programa de formación por competencias del profesorado, basado en las necesidades de su propia planta docente, que defina los lineamientos y fundamentos teóricos y metodológicos en el marco de un modelo basado en competencias para la educación superior; que estructure su planificación metodológica acorde al modelo a seguir; que determine los contenidos y estrategias a seguir, en coherencia con las necesidades encontradas en el estudio; y que estructure cada uno de sus componentes en etapas secuenciales y articuladas entre sí, que se constituyen en los módulos del programa, que tome en cuenta los modelos que han servido de referencia en procesos de formación: Academicista, Conductista, Humanista, Cognitivista-constructivista y Sociocrítico. En ese sentido, para responder a las diferentes demandas y situaciones de aprendizaje, la combinación e interrelación de los diferentes modelos es una estrategia integrada (Domínguez y Prieto, 2014), existiendo amplia disposición de parte del profesorado de ser formados en competencias, fundamentada en el aspecto multidimensional de las competencias, constituyéndose en un referente de calidad y de búsqueda continua del perfeccionamiento docente.
A lo largo de este estudio se ha abordado la nueva realidad de la sociedad del conocimiento, que implica transformaciones culturales, políticas, económicas, tecnológicas y educativas, lo que significa un gran reto para las instituciones de educación superior dado que, ante este nuevo escenario, se ha modificado el rol de la universidad y del profesorado y, por ende, se han generado nuevas competencias docentes. Con el fin de poder dar respuesta a las nuevas demandas, a continuación, se presenta la propuesta de formación docente por competencias para la FAREM-Carazo, la que está basada en los siguientes aspectos:
Parte de la detección de las carencias y necesidades de formación docente en términos de competencias, la que sirve de base para la oferta formativa de manera que permita adquirir las competencias necesarias para su buen desempeño profesional.
Se asume una postura crítica y sociocrítica, de cambio e innovación social, brindando especial importancia a la formación como concienciación e instrumento de cambio.
La formación propuesta busca atender las nuevas demandas socioeducativas: el desarrollo de la sociedad del conocimiento, las redes sociales y sus consecuencias en el empoderamiento de la ciudadanía crítica en temas como la diversidad, el bilingüismo, la orientación y tutoría, la gestión del centro y del aula, la resolución de conflictos (Domínguez, Prieto y Álvarez, 2019).
El programa de formación está caracterizado por enfocar su actuación a la práctica y no al contenido.
Debe ser abierto y flexible, en evolución constante, adecuándose a los cambios del contexto.
Las estrategias a usar pretenden llevar a los docentes a la reflexión continua de su propia práctica docente.
La propuesta está conformada por bloques o unidades de competencias según las dimensiones de saberes asumidos en este trabajo (saber, saber hacer, saber ser, saber aprender, saber transferir y saber desaprender) en torno a diagnóstico, planificación, implementación y evaluación.
Se considera que cada contexto habrá de generar competencias docentes específicas, con el consentimiento y la participación de los involucrados, tomando en cuenta las necesidades y características de cada situación, en este caso, la FAREM-Carazo.
Esta propuesta se orienta a atender las necesidades evidenciadas en este estudio, contemplando ámbitos de atención e impacto: el rol y funciones del profesorado universitario ante los nuevos retos, así como su perfil y competencias.
Tomando en consideración a Domínguez y Prieto (2013), el diseño de proyectos de formación contempla los siguientes elementos: Grupos destinatarios, objetivos, contenidos, metodologías, recursos, evaluación y el formador.
| Grupos destinatarios | Docentes de la FAREM-Carazo de los tres departamentos docentes, con necesidades formativas y de participación activa respecto a las competencias. |
| Objetivos de la formación | Objetivo General: Aportar a través de la formación al desarrollo de competencias docentes, de acuerdo al perfil competencial propuesto, con el fin de dar respuestas a las necesidades de los mismos ante los nuevos retos.Objetivos Específicos:- Promover el desarrollo de las competencias y saberes necesarios para ejercer la docencia, relacionando la teoría con la práctica.- Actualizar científica y técnicamente al profesorado a través de una metodología colaborativa, basada en casos reales y métodos alternativos. |
| Contenidos | Se tomará como referencia los bloques de competencias seleccionados para la formación del profesorado. Estos se organizaron según: a. Competencias propuestas b. Bloque de competencias de: - Diagnóstico - Diseño y Planificación - Implementación e intervención - Evaluación e innovaciónEl detalle de cada bloque puede verse en la tabla 6. |
| Metodologías | Participativa, a partir de la reflexión y la evaluación continua:- Expositiva- Auto formativa- Casos (incluye la simulación)- Proyectos- Mejora continua de productos- Colaboración entre diferentes actores- Resolución de problemas del contexto |
| Recursos didácticos | Estos deben ser instrumentos de uso que generalicen actitudes de cambio:- Infraestructura mínima para la formación- Uso de materiales que simulan la vida real- Disponibilidad de recursos para establecer problemas: Papelería y recursos tecnológicos (Datashow, computadora, videos, películas) |
| Evaluación | Se evaluará tomando en cuenta los problemas del contexto. Dicha evaluación estará definida a través del pacto y consenso entre los grupos y el formador, haciendo uso de: - Evaluación de diagnóstico - Evaluación continua,todo esto a través de: - Autoevaluación y coevaluación con fines de mejora |
| Formador | El rol del formador es de: - Concienciador de la situación del profesorado. - Con capacidad de detectar las necesidades y la transferencia e impacto social de los participantes - Actúa como un agente socioeducativo que procura el cambio de la Facultad. - Propicia el desarrollo del talento de los docentes. - El formador debe estar claro que su diseño puede ser modificado de acuerdo a variables no contempladas, con el fin de mejorar. |
A partir de los resultados de las diferentes fases de este estudio se puede presentar los siguientes contenidos para llevar a cabo la formación planteada. Es importante hacer notar que estos contenidos deben ser adaptados a situaciones y necesidades concretas de acuerdo a las finalidades de la formación. Observar que las competencias que demostraron tener mayor necesidad de formación están en cursiva y negrita:


Referencias bibliográficas
CRES 2018. (s.f.). Declaración III Conferencia Regional de Educación Superior para América Latina y el Caribe. Córdoba. Obtenido de http://www.cres2018.org/biblioteca/declaracion-final-cres-2018
Domínguez Fenández, G. (2013). El puesto de desempeño (perfil) del formador y los procesos de enseñanza-aprendizaje (funciones y competencias profesionales). Sevilla, España.
Domínguez Fernández, G. (2013). El perfil y Funciones del Formador. Modelos docentes y su aplicación al Currículum. España.
Domínguez, G. y Prieto, E. (2014). Modelos y paradigmas de educación. Funcionamiento de un programa de intervención y perfil del educador/a. La dimensión microdidáctica o de intervención educativa. Material para Doctorado en Educación e Intervención Social. UNAN-Managua. Sevilla: Universidad Pablo de Olavide.
Domínguez Fernández, G., Prieto Jiménez, E., & Álvarez , F. (2019). LAS SITUACIONES REALES DEL DOCENTE COMO ESTRATEGIA DE APRENDIZAJE INICIAL DEL PROFESORADO DE SECUNDARIA: EL MODELO SIRECA. Profesorado. Revista de currículum y formación del profesorado, 129-149.
Escobar-Pérez, J., & Cuervo-Martínez, Á. (2008). Validez de contenido y juicio de expertos: una aproximación a su utilización. Avances en Medición, 27–36. http://www.humanas.unal.edu.co/psicometria/files/7113/8574/5708/Articulo3_Juicio_de_expertos_27-36.pdf
Ferrada, D. (2017). Formación docente para la universidad. Revista Mexicana de Investigación Educativa, 783-811. https://www.redalyc.org/pdf/140/14053215006.pdf
García Sánchez, M., Reyes Añorve, J., & Godínez Alarcón, G. (2017). Las Tic en la educación superior, innovaciones y retos. Revista Iberoamericana de las Ciencias Sociales y Humanísticas, 1-18. https://www.redalyc.org/pdf/5039/503954320013.pdf
Hernández Sampieri, R., Fernández Collado, C., & Baptista Lucio, M. d. (2014). Metodología de la Investigación. México: Mc Graw Hill.
Imbernón, F. (2016). Los retos educactivos del presente y del futuro. La sociedad cambia, y el profesorado? Revista Internacional de Formação de Professores, 121-129. https://www.researchgate.net/publication/333650911_los_retos_educativoS_del_presente_y_del_futuro_la_sociedad_cambia_y_el_profesorado
Imbernón, F. (2019). La formación del profesorado de educación secundaria: la eterna pesadilla. Profesorado. Revista de currículum y formación del profesorado, 151-163. https://recyt.fecyt.es/index.php/profesorado/article/view/74488
Naciones Unidas. Objetivos de Desarrollo del Milenio Informe 2015. New York: ONU; 2015. Disponible en: http://www.un.org/es/millenniumgoals/pdf/2015/mdg_2015_s_summary_web.pdf [ Links ]
Naciones Unidas (2018), La Agenda 2030 y los Objetivos de Desarrollo Sostenible: una oportunidad para América Latina y el Caribe (LC/G.2681-P/Rev.3), Santiago
Tuapanta Dacto, J. V., Duque Vaca, M. A., & Mena Reinoso, A. P. (2017). Alfa de Cronbach para validar un cuestionario de uso TIC en docentes universitarios. Revista mktDescubre, 37 - 48. http://revistas.espoch.edu.ec/index.php/mktdescubre/article/view/141
Salazar G. & Tobón, S. (2018). Análisis documental del proceso de formación docente acorde con la sociedad del conocimiento. Revista Espacios Vol. 39 (Número 53) Vol. 39 (Número 53) Pág. 17-20.
Tobón, S. (2006). Aspectos básicos de la formación basada en competencias. Talca: Proyecto Mesesup. https://maristas.org.mx/gestion/web/doctos/aspectos_basicos_formacion_competencias.pdf
Tobón , S. (2017). Conceptual analysis of the socioformation according to the knowledgesociety. Knowledge Society! and Quality of Life, 9-35. https://issuu.com/cife/docs/essential_axes_of_knowledge_society
Tobón, S., Gonzalez, L., Nambo, J., & Vazquez Antonio, J. (2015). La Socioformación: Un Estudio Conceptual. Paradigma, 7 – 29. http://ve.scielo.org/scielo.php?script=sci_arttext&pid=S1011-22512015000100002
UNESCO. (2009) Conferencia Mundial sobre la Educación Superior 2009 Paris Francia

