ISSN 2410-5708 / e-ISSN 2313-7215
Year 9 | No. 26 | p. 241 - 256 | October 2020 - January 2021
© Copyright (2020). National Autonomous University of Nicaragua, Managua.
This document is under a Creative Commons
Attribution-NonCommercial-NoDerivs 4.0 International licence.
Evaluation of the physical-chemical quality of the underground and surface waters in the mining area of Santo Domingo – Chontales
https://doi.org/10.5377/torreon.v9i26.10263
Submitted on March 17, 2020 / Accepted on July 7, 2020
B.Sc. Maybis López Hernández
Laboratory Analysis Specialist
Biotechnology Laboratory, UNAN-Managua
Ph.D Martha Lacayo Romero
Professor Researcher
Biotechnology Laboratory, UNAN-Managua
Eng. Anielka Dávila López
Research Technician
Biotechnology Laboratory, UNAN-Managua
Section: Health and Social Services
SCIENTIFIC ARTICLES
Keywords: water quality index, uses of water, groundwater and surface water, mining
Summary
This study was carried out to estimate the physical-chemical quality of five water sources, Peñas Blancas and Túnel Azul (groundwater) also El Sardinillo, and La Estrella and El Salto sites (surface water) in the mining zone of Santo Domingo, Chontales. Five samplings were carried out along the Artiguas river in winter, from September to December of 2013. The results obtained were compared with national and international standards or guidelines like WQSHC (Water Quality Standard for Human Consumption), WHO (World Health Organization), CCME (Canadian Council of Ministers of the Environment), FAO (Food and Agriculture Organization) and USEPA(the United States Environmental Protection Agency) according to use of water, drinking water, protection of aquatic life, irrigation and livestock. Also, a numerical value from 0 to 100 water quality for each site through the software CWQI 1.0 was calculated. The water quality indexes to the site of groundwater classify them as excellent for uses of human consumption and agricultural use, the water quality of the Túnel Azul being slightly higher than Peñas Blancas well. El Sardinillo reference site of surface water presents a quality index from fair to good for human consumption, poor to good for protection of aquatic life, and excellent for agricultural use considered in the established norms or criteria. La Estrella and El Salto sites have similar qualities to human consumption and protection of aquatic life from poor to marginal, also fair to excellent for agricultural use according to the considerations of the guide values established in the standards. The estimated physical-chemical quality for superficial water indicates that they cannot be used for human consumption, however, they can be useful for agriculture.
Introduction
Water is an essential resource for life and must be an adequate, safe, and accessible supply that can result in tangible health benefits (WHO, 2019). The quality of the water can change due to climatic conditions, natural events in the environment and the influence of anthropogenic activities, such as domestic, industrial, livestock, mining, among others, that make such an important resource unsuitable for its different uses, mining being one of the activities that cause greater contamination (WHO, 2011). The quality of the water, according to its use, has an important impact on health, since poor quality water causes outbreaks of acute or chronic diseases such as cholera, diarrhea, intestinal infections, parasitosis, typhoid, hepatitis, allergies, skin diseases, cancer, etc. (WHO, 2006).
Nicaragua has 28 mining districts, most of which are concentrated in the northern part of the country on the border with Honduras. Among the main mining, resources are gold, silver, copper, and lead, as well as molybdenum, zinc, iron, tungsten, and antimony deposits (Nolasco, S., CEICOM, 2011). In Santo Domingo, Chontales, much of the mining activity is carried out on the banks of the Artiguas River, causing a significant loss of natural resources such as water reserves, arable land, soil erosion, contamination and forest loss (Flores, M., E., 2009). In artisanal and small-scale mining, mercury (Hg) or mixed with cyanide (Hg / CN) is used during the amalgamation process in facilities known as dredges. The residue generated in the grinding is deposited on squads or near the extraction sites where it is exposed to weathering that facilitates the transport of this material to water sources or other ecological receptors. (Picado F., Mendoza A., Cuadra S., Barmen G., Jakobsson K., and G, 2010).
The objective of this research was to evaluate the physical-chemical quality of the ground and surface waters of the mining area of Santo Domingo - Chontales using standards, guidelines, or criteria recommended by national and international agencies that establish guidelines or maximum permissible values for different uses of the water. Likewise, the WQI 1.0 software was used to describe the state of the water column, sediments, and aquatic life (CCME, 2001). The results obtained may be used in establishing monitoring and management plans for water resources.
Materials and methods
This study was carried out in the mining area of Santo Domingo, Chontales, located to the north-west of the territory. The micro-watershed under study is the Artiguas river, a tributary to the Sucio Sur river, which discharges its waters to the Siquia River, and together with the Mico and Rama rivers flow into the Escondido River. Finally, the watershed ends in the Atlantic Ocean (Espinoza, T., & Espinoza Benavides L., 2005). Samples of groundwater and surface water were collected on five sampling dates, in the rainy season, distributed from September to December of 2013. (Table 1)
Table 1. Sampling sites in the Artiguas river
|
Site |
Coordinates |
|
|
N |
E |
|
|
ASub – Túnel Azul |
1355246 |
708855 |
|
PP – Peñas Blancas |
1357193 |
709637 |
|
AS–El Sardinillo |
1357522 |
709570 |
|
AS–Plantel La Estrella |
1357267 |
709535 |
|
AS–El Salto |
1355974 |
708675 |
The first point was El Túnel Azul, a spring where the inhabitants of Santo Domingo supply themselves for consumption. The second point was a drilled well known as Peñas Blancas located on the farm called el Jordán to replace the Blue Tunnel as a supply source and take advantage of the mining potential of the area where the spring is located.
Surface water samples were collected at three points along the Artiguas River. The first point was El Sardinillo reference site, upstream from the impact area of the mining activity. The second site was La Estrella, where mining waste was deposited and which is close to the river. The third point was El Salto downstream, located in the city limits where effluents and runoff from the facilities have been received, in addition to the city’s wastewater.
The samples were collected promptly at each of the sites. For the physicochemical parameters pH, conductivity, temperature, total alkalinity, chlorides, settleable solids, total suspended solids, and sulfates, the samples were stored under refrigeration at 4 °C until analysis. For the analysis of total recoverable metals and dissolved metals, the samples were preserved with concentrated HNO3, however, for the analysis of dissolved metals, the samples were filtered at the time of collection. The methodology and technique used are presented in Table 2 for each of the parameters.
Table 2. Parameters of interest for the study and method implemented for the analysis.
|
Parameters evaluated |
SMWW Methods used (American Public Health Association, American Water Works Association, & Water Environment Federation, 2012) |
|
Metals and metalloids: Al, Sb, As, Ba, Be, B, Ca, Cu, Cr, Fe, Li, Mg, Mn, Hg, Ni, Pb, K, Se, Na, Tl, V, Zn |
3030 F. Digestion with nitric and hydrochloric acid method 3120 B. Inductively Coupled Plasma Optical Emission Spectrometry |
|
Total alkalinity |
2320B. Titrimetric method |
|
Chlorides |
4500-Cl B. Argentometric method |
|
Conductivity and Temperature |
2510B. Laboratory method |
|
pH |
4500.H+B Electrometric method |
|
Settling solids |
2540 F. Volumetric analysis in Imhoff Cone |
|
Total Suspended Solids |
2540.D. Gravimetric method. Dried at 103-105 °C |
|
Sulfates |
4500-SO4 E. Turbidimetric method |
National and international guidelines governing water quality
Water quality was estimated by comparing the results with standards, guidelines or criteria recommended by national and international agencies such as Water Quality Standard for Human Consumption (WQSHC, 1994), Guidelines established by the World Health Organization (WHO, 2006), Canadian Council of Ministers of the Environment (CCME, 2019), guidelines established by the Food and Agriculture Organization (Ayers RS, Westcot DW, & FAO, 1985) and the standards described by the United States Environmental Protection Agency (USEPA, 2017). These agencies establish values for the different uses of water, human consumption, protection of aquatic life (acute and chronic), and agricultural use (irrigation and livestock).
Tables 3 and 4 describe the maximum allowable ranges established by national and international standards and guidelines for water quality according to its use. It should be noted that the values established in the tables are only for the parameters that did not fullfilled with the provisions of the regulations.
Table 3. Norms, guidelines, standards or guide values for human consumption
|
Parameter |
WQSHC |
OMS |
USEPA |
CCME |
|
1993/1994 |
2011 |
2015 |
2008 |
|
|
pH |
6,5-8,5 |
NE |
6,5-8,5 |
6,5-8,5 |
|
Aluminum (mg.l-1) |
0,2 |
0,20 |
0,05 to 0.2 |
0,10 |
|
Zinc (mg.l-1) |
3 |
NE |
5 |
5 |
|
Iron (mg.l-1) |
0,30 |
NE |
0,30 |
0,30 |
Table 4. Guide values or guidelines for the protection of aquatic life and agricultural use
|
Parameter |
EPA, Aquatic life (Aguda) |
EPA, Aquatic life (Crónica) |
CCME Aquatic Life Protection |
CCME Protection for Agricultural Use 2008 |
FAO Irrigation |
FAO Cattle |
|
|
2015 |
2015 |
2008 |
Irrigation |
Cattle |
1994 |
1994 |
|
|
pH |
NE |
6,5-8,5 |
NE |
NE |
NE |
6.5 - 8.4 |
NE |
|
TSS |
22,00 |
22,00 |
45,00 |
||||
|
Aluminum (mg.l-1) |
0,75 |
0,087 |
0,005 |
5,00 |
5,00 |
5 |
5 |
|
Copper (mg.l-1) |
0,0027 |
0,0021 |
0,002 |
1,00 |
1,00 |
0.05 |
0.5 |
|
Chromium (mg.l-1) |
0,139 |
0,0182 |
0,001 |
0,008 |
0,05 |
0.1 |
1 |
|
Iron (mg.l-1) |
0,3 |
1 |
0.3 |
5,00 |
NE |
5 |
NE |
|
Magnesium (mg.l-1) |
NE |
NE |
NE |
0,20 |
NE |
0.2 |
0.05 |
|
Thallium (mg.l-1) |
NE |
NE |
0.0008 |
NE |
NE |
NE |
|
|
Zinc (mg.l-1) |
0,0274 |
0,0276 |
0,03 |
5,00 |
50,00 |
2 |
24 |
Water quality estimation using CWQI software
The water quality index was calculated using the CWQI 1.0 software developed by the CCME which provides the most convenient way to summarize complex data and facilitate its interpretation. The CWQI incorporates three elements: a) Scope, number of variables that do not meet the water quality objectives; b) Frequency, number of times these objectives are not met; and c) Amplitude, the amount by which the objectives are not met. The index produces a number between 0 (lower quality water) and 100 (better quality water), so the water quality can be classified as Excellent (95-100), Good (80-94), Regular (65-79), Marginal (45-64) and poor (0-44). The index can be used both to monitor changes in a site over time and to make comparisons between sites (CCME, 2001). The water quality index software applies the following equation:

The water quality was estimated, first introducing the quality objectives, taking into account the maximum admissible values or those recommended by the standards to be used, then the data obtained were entered to run the program, obtaining numerical values for the water quality from each sampled site. (CCME, 2014).
Results and Discussion
Groundwater
At the Peñas Blancas site, the pH was slightly below the range established by WQSHC, EPA, and CCME for human consumption since they establish it in a very narrow range. In the Blue Tunnel, the values found for aluminum and zinc are within the ranges established by WQSHC, WHO, USEPA and CCME, and FAO for all water use, however, in the first sampling, it exceeds the guidelines established by the CCME for protection of aquatic life. (Table 5)
Table 5. Groundwater parameters that do not fulfill at least one regulation in the five samplings carried out from September to December 2013
|
Site |
Parameters |
First sample 04 Sept. |
Second Sample 25 Oct. |
Third sample 26 Nov. |
Fourth sample 12 Dec. |
Fifth simple 13 Dec. |
|
Peñas Blancas |
pH |
6,815 |
6,46 |
6,58 |
6,71 |
6,73 |
|
Túnel Azul |
aluminum (mg.l-1) |
0,011 |
<LD |
ND |
<LD |
<LD |
|
zinc (mg.l-1) |
0,11 |
0,094 |
0,096 |
0,086 |
0,085 |
Surface water
Table 6 shows that in all places total or dissolved aluminum was found in concentrations higher than what is established by the standards for the protection of aquatic life, human consumption, and agricultural use according to the CCME, WQSHC, USEPA, and FAO. Total or dissolved iron exceeded the values established by the EPA and CCME for protection of aquatic life and human consumption according to the CCME, WQSHC, and USEPA, and also exceeded the values established for agricultural use at the La Estrella and El Salto facilities according to CCME, however, in El Sardinillo is slightly higher than those established by these standards, which is not yet significant; since the waters of this site can be potentially considered for the use of human consumption.
Table 6. Surface water parameters that do not fulfill with at least one regulation in the five samplings carried out from September to December 2013
|
Site |
Parameters |
First sample 04 Sept. |
Second sample 25 Oct. |
Third sample 26 Nov. |
Fourth sample 12 Dec. |
Fifth sample 13 Dec. |
|
El Sardinillo |
Total aluminum (mg.l-1) |
0,359 |
0,06 |
0,784 |
0,642 |
3,4 |
|
Dissolved aluminum (mg.l-1) |
0,04 |
0,007 |
0,08 |
0,103 |
0,232 |
|
|
Total Iron (mg.l-1) |
0,594 |
<LD |
0,801 |
0,715 |
4,201 |
|
|
Manganese (mg.l-1) |
0,039 |
<LD |
<LD |
<LD |
0,098 |
|
|
Plantel La Estrella |
Total aluminum (mg.l-1) |
2,156 |
1,848 |
10,419 |
9,992 |
10,171 |
|
Dissolved aluminum (mg.l-1) |
ND |
0,563 |
<LD |
0,097 |
0,357 |
|
|
Dissolved Iron (mg.l-1) |
4,601 |
3,698 |
23,757 |
21,312 |
20,737 |
|
|
Total Iron (mg.l-1) |
0,136 |
<LD |
0,295 |
0,132 |
0,378 |
|
|
Total Manganese (mg.l-1) |
2,315 |
0,8 |
1,249 |
5,317 |
1,787 |
|
|
Zinc (mg.l-1) |
0,03 |
<LD |
<LD |
0,045 |
0,052 |
|
|
TSS (mg.l-1) |
118,5 |
425,4 |
591 |
337,7 |
||
|
El Salto |
Total aluminum (mg.l-1) |
13,691 |
1,934 |
11,791 |
3,306 |
8,31 |
|
Dissolved aluminum (mg.l-1) |
1,104 |
0,773 |
0,02 |
0,252 |
0,215 |
|
|
Copper (mg.l-1) |
0,004 |
<LD |
ND |
<LD |
<LD |
|
|
Chrome (mg.l-1) |
0,021 |
ND |
ND |
<LD |
<LD |
|
|
Total Iron (mg.l-1) |
21,907 |
3,715 |
20,465 |
29,099 |
18,439 |
|
|
Iron (mg.l-1) |
1,421 |
0,256 |
0,197 |
0,307 |
0,292 |
|
|
Total Manganese (mg.l-1) |
2,517 |
0,559 |
2,71 |
11,829 |
7,168 |
|
|
Dissolved Manganese (mg.l-1) |
0,198 |
0,29 |
0,468 |
0,428 |
0,415 |
|
|
Thallium (mg.l-1) |
ND |
ND |
<LD |
0,015 |
ND |
|
|
Zinc (mg.l-1) |
0,074 |
<LD |
<LD |
0,057 |
0,058 |
|
|
TSS (mg.l-1) |
509 |
66,57 |
314,78 |
357 |
371 |
In La Estrella and El Salto facilities, the total suspended solids (TSS) exceeded the values established by the EPA and CCME for the protection of aquatic life, this is probably because most artisanal mining companies discard their wastewater into the river. without any treatment, which contains large amounts of TSS causing an alteration in the concentrations of metals such as aluminum and iron, which could cause many aquatic species to become extinct, fish among them since these metals accumulate in certain vital organs causing them to death. (Slaninova A., Machova J., Svobodova Z., 2014).
Water quality index for groundwater sites
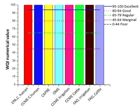
For Peñas Blancas site, the water quality turned out to be excellent for all uses human consumption, irrigation, and livestock, considered in the EPA, WQSHC, CAPRE, FAO, and WHO standards. However, for human consumption according to EPA and CCME, the index did not reach the maximum value of 100 because the pH in a narrower range (6.5-8.5) than in one of the samples, the value was slightly lower (6.46), which is not so important. (Figure 1).

Figure 1. Peñas Blancas Water Quality Index
In Blue Tunnel, the water quality index as well as in Peñas Blancas, turned out to be excellent for all uses, for human consumption (considered in the EPA, WQSHC, WHO standards) and irrigation and livestock farming according to the guidelines (considered in CCME and FAO). (Figure 2).

Figure 2. Blue Tunnel water quality index
In the two evaluated sites, the water quality is excellent for all uses, however, comparing the two sites and based on what the EPA and CCME standard for human consumption establish, the waters of the Blue Tunnel turned out to have a better index of quality than those of Peñas Blancas.
Surface water quality index
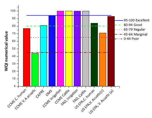
El Sardinillo is a reference site located upstream where there is no influence of mining activity. (Figure 3). The water quality index turned out to be fair to good for human consumption according to the Canadian guideline CCME, WHO and USEPA, so it is considered that it could be viable for this use; for the protection of aquatic life, according to the CCME and USEPA, it has a quality index that goes from poor to good, however, it turned out to be excellent water for agricultural use according to the CCME and FAO regulations.

Figure 3. Sardinillo water quality index
As in the previous case, the water quality index was calculated for the waters of La Estrella facility, which is located next, downstream, where the dump of the same name discharges its effluents. The indices are shown in figure 4.
The water quality index of La Estrella turned out to be poor to marginal for human consumption according to the guidelines CCME, WQSHC, WHO and EPA; for the protection of aquatic life, poor to marginal according to the CCME and EPA (acute and chronic), which indicates that many aquatic species could not survive in the waters of this site due to their poor quality, however, the water for the Agricultural use turned out to be regular according to CCME and excellent considering the values established by the FAO for irrigation and livestock.

Figure 4. La Estrella campus water quality index
The third important site for the analysis of surface waters is El Salto, which is located downstream. The water quality of this site turned out to be poor for human consumption and protection of aquatic life, however, according to the considerations of CCME and EPA, this water turned out to be marginal to good for irrigation and livestock according to the CCME and FAO. (Figure 5).

Figure 5. Salto water quality index
When calculating the water quality index in the three sampled sites, it was found that these waters can be used for irrigation and livestock, not for human consumption, however, considering the parameters analyzed, El Sardinillo can be considered with certain viability for human consumption, as well as to host aquatic life, not so in El Salto and La Estrella sites. The main problem of La Estrella and El Salto facilities is the total suspended solids since these have a high impact on water quality and the aquatic ecosystem. The sediment suspended in the water can irritate the gills of the fish since they are accumulated in this organ (Susfalk, R., Fitzgerald, B., Knust, A. & Desert Research Institute, 2008), also when these solids settle, they can suffocate organisms that live at the bottom of the river and cover the thick bed that certain fish require to spawn (Sullivan, JD, USDepartment of the Interior & USGeological Survey, 2000). However, the microbiological risk cannot be ruled out; since this last parameter was not analyzed.
Conclusions
• Peñas Blancas and Túnel Azul groundwater quality indices indicate that these waters are suitable for human consumption, irrigation, and livestock.
• El Sardinillo has a regular to good water quality index for human consumption according to CCME, WQSHC, and USEPA, therefore it is considered with potential for this use; also with a quality index ranging from poor to good for the protection of aquatic life and excellent for irrigation and livestock.
• The La Estrella and El Salto facilities show similarities in the quality of water for human consumption and protection of aquatic life with quality indices ranging from poor to marginal according to CCME, WQSHC, and USEPA. For agricultural use, La Estrella facility presented a water quality from fair to excellent and El Salto from marginal to good according to the considerations of CCME and FAO. This indicates that these waters are not suitable for human consumption, nor to host aquatic life, however, they could have the potential for agricultural use. Microbiological parameters were not analyzed, which could also influence the quality of the water in these studied sites.
Acknowledgments
• To the Austrian Agency for International Cooperation in Education and Research (OEAD), within the framework of APPEAR, and altogether with the University of Vienna (UNIVIE) of Austria, Universidad Nacional Santiago Antúnez de Mayolo (UNASAM), Peru, through the Bioremediation of Contaminated Sites project: Research and Education (BIOREM); for providing the financial means to carry out this research study.
• Dr. Katia Montenegro Rayo for her valuable technical contribution to the execution of this investigation.
• Ing. Francisco Ramón Vallecillo Galeano for his collaboration during the investigation.
• To the Municipality of Santo Domingo, Chontales for their collaboration in the monitoring of underground and surface water sources.
References
APHA, AWWA, WEF Standard Methods for the Examination of Water and. (2012). Standard Methods for the Examination of Water and wastewater 22nd edition. Washington: American Public Health Association.
Ayers R. S., Westcot D. W., & FAO. (1985). Water quality for agriculture. California: Food and agriculture Organization of the Unites Nations.
CAPRE. (1994). Normas de Calidad del Agua para Consumo Humano. Obtained from Normas de calidad del agua para consumo humano.
CCME. (2001). CCME Water Quality Index 1.0 User´s Manual.
CCME. (2014). Canadian Water Quality Guidelines for the Protection of Aquatic Life. Summary Table.
CCME. (28 de Junio de 2019). Guidelines for Canadian Drinking Water Quality - Summary Table. https://www.canada.ca/en/health-canada/services/environmental-workplace-health/reports-publications/water-quality/guidelines-canadian-drinking-water-quality-summary-table.html
Espinoza, T., & Espinoza Benavides L. (2005). Impacto de la mnería en la calidad en la microcuenca del Río Artiguas s. Énfasis en metales pesados. Managua.
Flores, M., E. (2009). Conflictos socioecológicos Minería Ficha N° 28. Fuhem.
Nolasco, S., CEICOM. (2011). Impactos de la Minería Metálica en Centroamérica. https://rb.gy/cukhix
OMS. (2006). Guías para la calidad del agua potable. Primer apéndice a la tercera edición. Vol 1. . Primer apéndice a la tercera edición. Vol 1. Recomendaciones. Tercera edición.
OMS. (14 de Junio de 2019). Agua. https://www.who.int/es/news-room/fact-sheets/detail/drinking-water
Picado, F., Cuadra, S., Mendeoza, A.,& Barmen, G. (2010). Ecological, Groundwater, and Human Health Risk Assessment in a Mining Region of Nicaragua. Risk Analysis, 916-933.
Slaninova A., Machova J., Svobodova Z. (2014). Fish kill caused by aluminium and iron contamination. En U. U. Agriculture, Integrated Investigations of Environmental Effects of Historical Mining in the Animas River Watershed, San Juan County, Colorado (págs. 573–581).
Sullivan, J. D., U.S.Department of the Interior & U.S.Geological Survey. (2000). Nutrients and Suspended Solids in Surface Waters of the Upper Illinois River Basin in Illinois, Indiana, and Wisconsin,1978–97. Middleton, Wisconsin.
Susfalk, R., Fitzgerald, B., Knust, A. & Desert Research Institute. (2008). Characterization of Turbidity and Total Suspended Solids in the Upper Carson River, Nevada. DHS Publication No. 41242.
USEPA. (20 de Julio de 2017). National Recommended Water Quality Criteria - Aquatic Life Criteria Table.
WHO. (2011). Guidelines for drinking-water quality. 4th ed.