Jeremi Abiuth Solano Ocampos1
https://orcid.org/0000-0002-6382-5099
jeremiocam@gmail.com
Dania Vanessa Muñoz López1
https://orcid.org/0000-0001-7505-8766
danialop9@gmail.com
Diógenes Martínez López1
https://orcid.org/0000-0001-7116-4422
diogmlp96@gmail.com
Jony Alexander Rojas Rojas1
https://orcid.org/0000-0003-4428-5127
jonyrojas2029@gmail.com
Recibido: 11 de diciembre de 2020, Aceptado: 16 de marzo de 2020
1 Universidad Nacional Autonoma de Niaragua. UNAN-Managua.
RESUMEN
El presente trabajo es un estudio sobre los estilos de aprendizaje y la actitud hacia la matemática en los estudiantes de primer año de la Facultad de Ciencias Médicas de la UNAN-Managua, con este, se pretende determinar si existe alguna relación entre estas dos variables. Esta investigación es de tipo descriptiva-correlacional, con un enfoque cuantitativo. Se trabaja con una muestra de 208 estudiantes, para la recolección de los datos se aplicaron dos cuestionarios: El primero corresponde a los estilos de aprendizaje y contiene 32 ítems, dicho instrumento es una simplificación del cuestionario Honey-Alonso elaborada por las autoras Vega M. y Patino M. (2013), el segundo cuestionario corresponde a la actitud hacia la matemática, compuesto por 23 ítems (12 positivos y 11 negativos), el cual es una adaptación del instrumento elaborado por Montesinos (2017), en ambos cuestionarios cada ítem será medido de manera ordinal por una escala tipo Likert. Los resultados obtenidos muestran que el estilo predominante en los estudiantes es el reflexivo y la actitud hacia la matemática es favorable. Además, se encontró que en los estudiantes de medicina de la UNAN-Managua las variables estilos de aprendizaje y actitud hacia la matemática se encuentran relacionados, según el método estadístico no paramétrico chi-cuadrado.
Palabras claves: estilos de aprendizaje; actitud; actitud hacia la matemática; relación.
ABSTRACT
This present work is a study on learning styles and attitude towards mathematics in freshmen of the Faculty of Medical Sciences of UNAN-Managua, with this, it is intended to determine whether there is any relationship between these two variables. This research is descriptive-correlational, with a quantitative approach. A sample of 208 students is toiled. For the collection of the data two questionnaires were applied: The first corresponds to learning styles and contains 32 items, this instrument is a simplification of the Honey-Alonso questionnaire prepared by the authors Vega M. and Patino M. (2013), the second questionnaire corresponds to the attitude towards mathematics, composed of 23 items (12 positive and 11 negative), which is an adaptation of the instrument developed by Montesinos (2017), in both questionnaires each item will be measured in an ordinal way by a Likert scale. The results show that the predominant style in students is reflective and the attitude towards mathematics is favorable. In addition, it was found that in UNAN-Managua medical students the variable styles of learning and attitude towards mathematics are related, according to the chi-square nonparametric statistical method.
Keywords: learning styles; attitude; attitude towards mathematics; relationship.
INTRODUCCIÓN
Durante años, la matemática en educación secundaria se ha convertido en una asignatura de menor preferencia para la mayoría de los estudiantes nicaragüenses, sumado a esto, la falta de motivación e interés se ven reflejados en las actitudes generalmente negativas de estos hacia dicha asignatura y en los resultados que presentan en sus evaluaciones.
Según Ballester, A. (2002) “para enseñar es importante conocer cómo aprenden los estudiantes. Si se enseña según el estilo de aprendizaje del estudiante, es decir de manera conectada y relacionada, la mayoría de estos aprenderán. En caso contrario pueden aparecer dificultades en el aprendizaje.” pág. 12. Haciendo énfasis en las palabras de este autor, sería de gran valor que los docentes puedan identificar el estilo de aprendizaje predominante de sus estudiantes y en base a eso, crear sesiones de clases que puedan ser de agrado para estos.
De acuerdo con Camacho, I., Romero, A., Rochín, C., & Pineda, I. (2015) el docente que aplica estrategias didácticas considerando los estilos de aprendizaje de los estudiantes, así como complementar dicha información con un dominio de la asignatura, puede mejorar la actitud que tienen los estudiantes hacia las matemáticas.
Tomando en cuenta lo antes mencionado, se lleva a cabo la presente investigación que pretende establecer si existe relación entre los estilos de aprendizaje y actitud hacia la matemática en los estudiantes de primer año de la Facultad de Ciencias Médicas de la UNAN-Managua, durante el primer semestre del año 2019, considerando que estos son recién egresados de los diferentes centros de educación secundaria del país.
Los hallazgos producto de esta investigación nos permitirá tener un punto de partida para futuras investigaciones y la identificación de cómo les gusta aprender matemática a los estudiantes de la Facultad de Ciencias Médicas. Esta información es de relevancia ya que si el docente conoce los estilos de aprendizaje de sus estudiantes y la relación que tienen con la actitud hacia la matemática, podrá emplear la metodología adecuada para una mejor asimilación de determinado contenido.
Antecedentes de estudio
En el año 2017 Jiménez E. y Flores W. realizan una investigación en la Costa Caribe Sur de Nicaragua, con la cual se pretende analizar las actitudes hacia las matemáticas del estudiantado de Educación Secundaria procedente de una escuela rural. Este es un estudio cuantitativo sustentado en el diseño descriptivo, se llevó a cabo con 60 estudiantes. Los resultados muestran que la actitud hacia las matemáticas es positiva.
En septiembre del 2005 se realizó una investigación por Luengo R. y Gonzáles J., en educación secundaria, con la cual se pretende establecer la posible relación entre las predominancias de los estilos de aprendizaje del alumno y el rendimiento en Matemáticas. Esta investigación es de tipo cuasi-experimental. Los autores concluyen que, en la muestra estudiada, existen relaciones significativas entre el rendimiento medio-alto en Matemáticas con una mayor predominancia en los estilos de aprendizaje teórico y reflexivo.
En el año 2018 Pereda, A. llevó a cabo un estudio, cuyo principal objetivo fue clasificar las características que distinguen a las actitudes y estilos de aprendizaje asociados al rendimiento académico de los estudiantes. Esta fue una investigación cuantitativa con nivel descriptivo y correlacional, se trabajó con una muestra de 180 estudiantes. Los resultados mostraron que los estudiantes presentan ciertas actitudes asociadas al rendimiento académico favorables al aprendizaje, los estilos de aprendizaje que mayormente se asocian al rendimiento académico son el reflexivo y pragmático.
En el año 2017, Montesinos, J. llevó a cabo un estudio cuyo propósito fue establecer la actitud frente al aprendizaje de las matemáticas en los estudiantes de secundaria de la institución educativa. La investigación fue de tipo descriptiva con un enfoque cuantitativo, se trabajó con una muestra de 70 estudiantes. Como resultado de esta investigación, el autor encontró que los estudiantes tienen una actitud favorable hacia la matemática.
En el año 2015 Bünyamin, A. estudió la relación entre los estilos de aprendizaje y la actitud hacia la matemática en estudiantes de octavo grado, la muestra estuvo constituida por 100 estudiantes. Los resultados muestran que, según la prueba de chi-cuadrado, los estilos de aprendizaje y la actitud hacia la matemática tienen relación.
Enfoque teórico del estudio
Para hablar de estilos de aprendizaje, es necesario conocer primeramente qué es “aprendizaje”, dado que no existe una única definición se toma la de Zapata, M. (2015) quien afirma que: “En lo que hay consenso es en que el aprendizaje es el proceso o conjunto de procesos a través del cual o de los cuales, se adquieren o se modifican ideas, habilidades, destrezas, conductas o valores…”.
La definición sobre “estilos de aprendizaje” ha sido abordada por diversos autores, entre algunos de estos podemos citar los siguientes:
Según Silva (1994) citado por Fernández, Y., Coronado, F., Pérez, L. y Quiroga, L. (2008) “estilo de aprendizaje es la manera o forma como cada individuo percibe (absorbe) y procesa (retiene) información”. David Kolb (1984) citado por Varela, M. (2014) describe los estilos de aprendizaje como: algunas capacidades de aprender que se destacan por encima de otras como resultado del aparato hereditario de las experiencias vitales propias, de las exigencias del medio ambiente actual.
Honey, Alonso y Gallego (1994) citados por Moya, M., Hernández, J., Hernández, R. y Gutiérrez, R. (2009) establecen cuatro estilos de aprendizaje, que se presentan a continuación:
Actitud y actitud hacia la matemática
En la literatura existen diversas definiciones de la actitud, entre algunas de estas tenemos:
Kerlinger & Lee (2002) citados por Dörfer, C. y Duque, G. (2016) afirman, que “una actitud es una predisposición organizada a pensar, sentir, percibir y comportarse hacia un referente u objeto cognitivo.” Según Myers, D. (2003) “actitud es la reacción evaluativa favorable o desfavorable hacia alguien o algo, que se manifiesta en las creencias, los sentimientos o el comportamiento deliberado”.
Bazán y Sotero (1998) afirman que teóricamente, los componentes de toda actitud son:
Se define la actitud hacia la matemática como el “fenómeno que involucra sentimientos (componente afectivo), creencias (componente cognitivo) y las tendencias de los alumnos a actuar de manera particular, acercándose o alejándose del objeto matemática (componente comportamental)”, (Bazán y Sotero., 1998).
“La actitud hacia las matemáticas es una predisposición del individuo para responder de manera favorable o desfavorable ante un determinado objeto, las Matemáticas”, (Lara, A., 2010).
MATERIALES Y MÉTODOS
Según Sampieri, R. (2014) “El enfoque cuantitativo utiliza la recolección de datos para probar hipótesis con base en la medición numérica y el análisis estadístico, con el fin establecer pautas de comportamiento y probar teorías”.
De acuerdo a lo anterior la investigación asume el enfoque cuantitativo dado que esta busca medir las variables, estilos de aprendizaje y actitud hacia la matemática, además probar las hipótesis planteadas, a partir del procesamiento de los datos recolectados por medio de herramientas estadísticas.
Conforme a Arias, F. (2012) “La investigación descriptiva consiste en la caracterización de un hecho, fenómeno, individuo o grupo, con el fin de establecer su estructura o comportamiento”.
El nivel de esta investigación fue descriptivo ya que esta pretende describir y caracterizar a los estudiantes de primer año de la Facultad de Ciencias Médicas de la UNAN-Managua, según su estilo de aprendizaje y la actitud de estos hacia la matemática, a su vez esta es una investigación de tipo correlacional puesto que se pretende establecer si existe relación entre el estilo de aprendizaje y la actitud hacia la matemática de los individuos antes mencionados.
La población para este estudio estuvo conformada por los estudiantes de primer año, de la Facultad de Ciencias Médicas de la UNAN-Managua, modalidad regular, los cuales son en total 452 estudiantes. La muestra para este estudio está conformada por 208 estudiantes, con un error de , un nivel de confianza de.
Según Arias, F. (2012) “Se entenderá por técnica de investigación, el procedimiento o forma particular de obtener datos o información.” Además “Un instrumento de recolección de datos es cualquier recurso, dispositivo o formato (en papel o digital), que se utiliza para obtener, registrar o almacenar información.”
De acuerdo con lo anterior, la técnica utilizada en este estudio fue la encuesta escrita y el instrumento el cuestionario. Las dos variables en estudio serán analizadas en primera instancia, por separado, es por ello que se aplicaron dos cuestionarios a cada sujeto de la muestra.
El cuestionario que corresponde a los estilos de aprendizaje contiene 32 ítems; 8 del estilo activo,
7 del reflexivo, 8 del teórico y 9 del pragmático, (Dicho instrumento es una simplificación del cuestionario Honey-Alonso (80 ítems) elaborada por las autoras Vega M. y Patino M. (2013)) cada ítem será medido de manera ordinal por una escala tipo Likert.
| Escala | Abreviatura | Puntaje |
| Totalmente en desacuerdo | TD | 0 |
| Muy poco de acuerdo | MPA | 1 |
| Algo de acuerdo | AA | 2 |
| Bastante de acuerdo | BA | 3 |
| Muy de acuerdo | MA | 4 |
| Totalmentede acuerdo | TA | 5 |
Para determinar el estilo predominante de cada individuo, se calcula el promedio de las puntuaciones obtenida en cada estilo (activo, reflexivo, teórico y pragmático) y el estilo que obtenga el promedio más alto es la predominante.
El cuestionario correspondiente a la actitud hacia la matemática está compuesto por 23 ítems; 6 del componente cognitivo, 11 del afectivo y 6 del conductual (Dicho cuestionario fue una adaptación del instrumento elaborado por Montesinos (2017)). Además, dicho cuestionario posee 12 ítems positivos (representan una actitud favorable hacia la matemática) y 11 negativos (representan una actitud desfavorable hacia la matemática), cada ítem será medido de manera ordinal por una escala tipo Likert.
| Escala | Abreviatura | Puntaje | |
| Positivos | Negativos | ||
| Totalmente de acuerdo | TDA | 5 | 1 |
| De acuerdo | DA | 4 | 2 |
| Neutro | N | 3 | 3 |
| En desacuerdo | ED | 2 | 4 |
| Totalmente en desacuerdo | TED | 1 | 5 |
En la clasificación de la actitud hacia la matemática (favorable o desfavorable) de los encuestados se procedió de la siguiente manera: se obtuvo la suma total de las puntuaciones por encuestado, si la suma es menor o igual que 69, entonces la actitud del encuestado es desfavorable en caso contrario es favorable. Cabe señalar que 69 es el promedio entre la suma total mínima posible (23) y la suma máxima posible (115).
RESULTADOS Y DISCUSIÓN
Se analiza y describe la información ya procesada, obtenida en los cuestionarios sobre estilos de aprendizaje y actitud hacia la matemática en los estudiantes de la Facultad de Ciencias Médicas. Primeramente, se presenta el nivel descriptivo, para determinar el estilo predominante y el tipo actitud hacia la matemática. Después se presenta el nivel inferencial en la que se hace uso del método no paramétrico de la Chi- cuadrado.
A continuación, se presentan las tablas y gráficos sobre los estilos de aprendizaje.
Tabla 1. Distribución de frecuencias de los estilos de aprendizaje en toda la muestra.
| Estilo de aprendizaje | Frecuencia | Porcentaje |
| Activo | 11 | 5.29 |
| Reflexivo | 116 | 55.77 |
| Teórico | 30 | 14.42 |
| Pragmático | 51 | 24.52 |
| TOTAL | 208 | 100 |
| Datos propios |
Figura 1. Distribución de porcentajes de los estilos de aprendizaje en toda la muestra

Datos propios
Interpretación: De acuerdo con la Figura 1, el estilo de aprendizaje con mayor porcentaje es el reflexivo con un 55.77%, lo que indica el predominio de este sobre los demás estilos en los estudiantes, le sigue el aprendizaje pragmático con un 24.52% y finalmente se tiene que el estilo menos apreciado es el activo con tan solo un 5.29%.
El hecho de haber obtenido que el estilo de aprendizaje reflexivo es el predominante, indica que generalmente estos estudiantes son cuidadosos, analizan con detenimiento antes de llegar a una conclusión, les gusta reunir información suficiente para prepararse con anticipación frente a una determinada actividad y los que se inclinan al estilo de aprendizaje pragmático les gusta que lo aprendido en la teoría puedan aplicarlo.
Tabla 2. Distribución de frecuencias de los estilos de aprendizaje por carrera.
| Carrera | Estilos de aprendizaje | Total | |||
| Activo | Reflexivo | Teórico | Pragmático | ||
| Odontología | 2 | 11 | 7 | 5 | 25 |
| 0.96% | 5.29% | 3.37% | 2.40% | 12.02% | |
| Optometría | 3 | 9 | 5 | 11 | 28 |
| 1.44% | 4.33% | 2.40% | 5.29% | 13.46% | |
| Medicina Grupo M611 | 2 | 18 | 3 | 5 | 28 |
| 0.96% | 8.65% | 1.44% | 2.40% | 13.45% | |
| Medicina Grupo M612 | 0 | 15 | 4 | 6 | 25 |
| 0% | 7.21% | 1.92% | 2.88% | 12.01% | |
| Medicina Grupo M613 | 0 | 16 | 6 | 5 | 27 |
| 0% | 7.70% | 2.88% | 2.40% | 12.98% | |
| Medicina Grupo M614 | 1 | 13 | 2 | 8 | 24 |
| 0.48% | 6.25% | 0.96% | 3.85% | 11.54% | |
| Medicina Grupo M615 | 2 | 15 | 3 | 5 | 25 |
| 0.96% | 7.21% | 1.44% | 2.40% | 12.01 | |
| Medicina Grupo M616 | 1 | 19 | 0 | 6 | 26 |
| 0.48% | 9.13% | 0% | 2.88% | 12.49 | |
| Total | 11 | 116 | 30 | 51 | 208 |
| 5.28% | 55.77% | 14.41% | 24.5% | 99.96% | |
Figura 2. Distribución de porcentajes de los estilos de aprendizaje por carrera

Datos propios
Interpretación: La Figura 2 nos indica que en las carreras de Odontología y Medicina el estilo de aprendizaje con mayor predominio en cada grupo es el reflexivo, seguido del estilo pragmático, a excepción de Odontología y el grupo M613 de Medicina que le sigue el estilo teórico. Además, el estilo activo está ausente en los grupos M112 y M113 de Medicina y también el teórico en el grupo M116. Por otra parte, en la carrera de Optometría el estilo con más presencia es el pragmático seguido del reflexivo; sin embargo, no es mucha la diferencia entre estos dos.
De lo anterior se puede decir que a los estudiantes de la carrera de Optometría les gusta aplicar lo que aprenden, pero también analizan detenidamente y les gusta preparase con anticipación antes de llevar acabo determinada acción.
A continuación, se presenta la tabla y gráfico que describe la actitud hacia la matemática:
Tabla 3. Distribución de frecuencia de la actitud hacia la Matemática en toda la muestra
| Actitud hacia la Matemática | Frecuencia | Porcentaje |
| Favorable | 155 | 74.5 |
| Desfavorable | 53 | 25.5 |
| TOTAL | 208 | 100 |
Interpretación: La Figura 2 nos indica que en las carreras de Odontología y Medicina el estilo de aprendizaje con mayor predominio en cada grupo es el reflexivo, seguido del estilo pragmático, a excepción de Odontología y el grupo M613 de Medicina que le sigue el estilo teórico. Además, el estilo activo está ausente en los grupos M112 y M113 de Medicina y también el teórico en el grupo M116. Por otra parte, en la carrera de Optometría el estilo con más presencia es el pragmático seguido del reflexivo; sin embargo, no es mucha la diferencia entre estos dos.
De lo anterior se puede decir que a los estudiantes de la carrera de Optometría les gusta aplicar lo que aprenden, pero también analizan detenidamente y les gusta preparase con anticipación antes de llevar acabo determinada acción.
A continuación, se presenta la tabla y gráfico que describe la actitud hacia la matemática:
Tabla 3. Distribución de frecuencia de la actitud hacia la Matemática en toda la muestra
| Actitud hacia la Matemática | Frecuencia | Porcentaje |
| Favorable | 155 | 74.5 |
| Desfavorable | 53 | 25.5 |
| TOTAL | 208 | 100 |
Datos propios
Figura 3. Distribución de porcentajes de la actitud hacia la matemática en toda la muestra

Dattos propios
Interpretación: En la Figura 3 se evidencia que el 74.5 % de los estudiantes que conforman la muestra poseen una actitud favorable hacia la matemática, posiblemente esto se debe a la buena preparación de éstos para el examen de admisión y así poder obtener un cupo en las carreras de la Facultad de Ciencias Médicas, ya que es una de las facultades con más demanda de la UNAN-Managua. Por otro lado, sólo el 25.5 % de la muestra reflejan una actitud desfavorable hacia la matemática.
Tabla 4. Distribución de frecuencia de la actitud hacia la Matemática por carrera0
| Carrera | Actitud ante la Matemática | TOTAL | |
| Favorable | Desfavorable | ||
| Odontología | 14 | 11 | 25 |
| 6.73% | 5.3% | 12.03% | |
| Optometría | 14 | 14 | 28 |
| 6.73% | 6.73% | 13.46% | |
| Medicina Grupo M611 | 25 | 3 | 28 |
| 12.02% | 1.44% | 13.46% | |
| Medicina Grupo M612 | 20 | 5 | 25 |
| 9.62% | 2.4% | 12.02% | |
| Medicina Grupo M613 | 24 | 3 | 27 |
| 11.54% | 1.44% | 12.98% | |
| Medicina Grupo M614 | 14 | 10 | 24 |
| 6.73% | 4.8% | 11.53% | |
| Medicina Grupo M615 | 21 | 4 | 25 |
| 10.1% | 1.92% | 12.02% | |
| Medicina Grupo M616 | 23 | 3 | 26 |
| 11.06% | 1.44% | 12.5% | |
| TOTAL | 155 | 53 | 208 |
| 74.53% | 25.47% | 100% | |
Figura 4. Distribución de porcentajes de la actitud hacia la Matemática por carrera
Datos propios
Interpretación: Según la Figura 4, en las carreras de primer año de la Facultad de Ciencias Médicas predomina una actitud favorable hacia la matemática excepto en la carrera de Optometría, puesto que una mitad se inclina ante una actitud favorable y la otra, ante una actitud desfavorable hacia la matemática. Se puede notar también que en la carrera de Odontología y Medicina M614 la predominancia de la actitud favorable no supera por mucho a la actitud desfavorable.
En la carrera de Medicina de los distintos grupos de primer año es posible que prevalezca una actitud favorable hacia la matemática por la alta demanda que posee dicha carrera, esto es notorio porque hay 6 grupos de Medicina, además por la alta preparación en matemática que esta exige para clasificar con nota sobresaliente en el examen de admisión y obtener un cupo para poder estar dentro de la carrera de Medicina.
Nivel inferencial
Tabla 5. Tabla de contingencia de estilos de aprendizaje y actitud hacia la matemática
| Actitud hacia a la matemática | |||
| Estilos de aprendizaje | Favorable | Desfavorable | Total |
| Activo | 5 | 6 | 11 |
| 8.2 | 2.8 | 11 | |
| 2.4% | 2.9% | 5.3% | |
| Reflexivo | 9> | 22 | 116 |
| 86.44 | 29.56 | 116 | |
| 45.2% | 10.6% | 55.8% | |
| Teórico | 21 | 9 | 30 |
| 22.36 | 7.64 | 30 | |
| 10.1% | 4.3% | 14.4% | |
| Pragmático | 35 | 16 | 51 |
| 38 | 13 | 51 | |
| 16.8% | 7.7% | 24.5% | |
| Total | 155 | 53 | 208 |
| 155 | 53 | 208 | |
| 74.5% | 25.5% | 100% | |
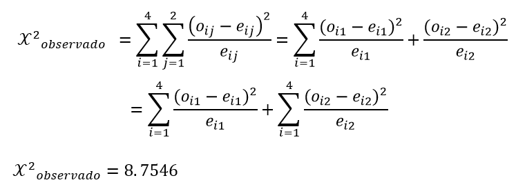
Análisis de asociación entre las variables actitud hacia la matemática y estilos de aprendizaje por el método no paramétrico de la Chi-cuadrado
Grados de libertad =(i-1)(j-1)=(4-1)(2-1)=3, α=0.05
El valor teórico con 3 grados de libertad y un nivel de significancia es de y el valor observado de a partir de los datos presentes en la Tabla 3 es
El valor teórico X2 con 3 grados de libertad y un nivel de significancia α=0.05 es de 7.8147 y el valor observado de X2 a partir de los datos presentes en la Tabla 3 es
Como X2teórico < X2observado se rechaza la hipótesis nula que afirma que no existe relación entre los estilos de aprendizaje y la actitud hacia la matemática, en los estudiantes de primer ingreso del turno regular de la Facultad de Ciencia Médicas de la UNAN-Managua, durante el primer semestre del año 2019.
Por tanto, se acepta la hipótesis alternativa, es decir, existe relación entre los estilos de aprendizaje y la actitud hacia la matemática, en los estudiantes de primer ingreso del turno regular de la Facultad de Ciencia Médicas de la UNAN-Managua, durante el primer semestre del año 2019.
Discusión de resultaos
En este estudio, se encontró que el estilo de aprendizaje predominante en los estudiantes de la Facultad de Ciencias Médicas es el reflexivo, esto coincide con los resultados del trabajo de Luengo R. y Gonzáles J. (2005) y el de Pereda, A. (2018) que también concluyen en que estilo de aprendizaje reflexivo es el predominante, aunque también encontraron predominancia en el estilo teórico y pragmático respectivamente, cabe recalcar que dichas investigaciones se realizaron en educación secundaria y educación superior respectivamente.
En cuanto a la variable “actitud hacia la matemática”, en esta investigación, se encontró que los estudiantes de Facultad de Ciencias Médicas tienen una actitud favorable hacia la matemática, lo que coincide con los trabajos de Jiménez E. y Flores W. (2017), y Montesinos, J. (2017) cuyos resultados fueron que los estudiantes tienen una actitud favorable hacia la matemática, sin embargo, en el trabajo de Jiménez E. y Flores W. (2017) utilizan un instrumento distinto, ambas investigaciones las realizaron en educación secundaria.
En referencia a la asociación entre los estilos de aprendizaje y la actitud hacia la matemática se determinó que hay relación entre estas dos variables, este resultado coincide con los de Bünyamin, A. (2015), pues este también encontró relación, sin embargo, este estudio fue realizado en estudiantes de secundaria.
CONCLUSIONES
A partir de los datos obtenidos en esta investigación, se concluye que el estilo de aprendizaje predominante en los estudiantes de la Facultad de Ciencias Médicas es el reflexivo con un , seguido del estilo pragmático con . Por carrera se determinó que el estilo de aprendizaje predominante en Odontología y Medicina es el estilo reflexivo, mientras que en Optometría el estilo de aprendizaje predominante es el pragmático.
En cuanto a la actitud hacia la matemática se concluye que los estudiantes de la Facultad de Ciencias Médicas se inclinan por una actitud favorable, con un porcentaje de Por carrera se encontró que en todas las carreras de la Facultad se inclinan mayormente por una actitud favorable hacia la matemática, a excepción de Optometría que no predomina ninguna actitud sobre la otra.
Al utilizar el método no paramétrico chi-cuadrado () se determinó que existe relación entre los estilos de aprendizaje y la actitud hacia la matemática, en los estudiantes de primer año del turno regular de la Facultad de Ciencia Médicas de la UNAN-Managua, durante el primer semestre del año 2019.
BILBIOGRAFÍA
Arias, F. (2012). El Proyecto de Investigación (Sexta ed.). Caracas, Venezuela: Editorial Episteme, C.A. Obtenido de https://ebevidencia.com/wp-content/uploads/2014/12/EL-PROYECTO-DE-INVESTIGACI%C3%93N-6ta-Ed.-FIDIAS-G.-ARIAS.pdf
Ballester, A. (2002). El aprendizaje significativo en la práctica. España. Obtenido de http://eduteka.icesi.edu.co/pdfdir/ElAprendizajeSignificativoEnLaPractica.pdf
Bazán, J., & Sotero, H. (1998). UNA APLICACION AL ESTUDIO DE ACTITUDES HACIA LA MATEMATICA EN LA UNALM. Obtenido de https://www.academia.edu/3603389/Una_aplicaci%C3%B3n_al_estudio_de_actitudes_hacia_la_matem%C3%A1tica_en_la_UNALM
Bünyamin, A. (2015). Examination of the Relationship between Eighth Grade Students’ Learning Styles and Attitudes towards Mathematics. RedFame, 124-130. Obtenido de https://files.eric.ed.gov/fulltext/EJ1082897.pdf
Camacho, I., Romero, A., Rochín, C., & Pineda, I. (2015). Enseñando las matemáticas con estilo, cambia la actitud de los estudiantes. Revista Internacional de Educación y Aprendizaje, 4(1), 42-55. Obtenido de https://journals.epistemopolis.org/index.php/educacion/article/download/205/137
Dörfer, C., & Duque, G. (2016). MEDICIÓN DE LA ACTITUD HACIA LAS MATEMÁTICAS EN ESTUDIANTES DE LICENCIATURA EN ADMINISTRACIÓN: UN ESTUDIO PILOTO. 1329. Obtenido de https://www.researchgate.net/publication/306223876_MEDICION_DE_LA_ACTITUD_HACIA_LAS_MATEMATICAS_EN_ESTUDIANTES_DE_LICENCIATURA_EN_ADMINISTRACION_UN_ESTUDIO_PILOTO
Fernandes, Y., Coronado, F., Pérez, L., & Quiroga, L. (2008). LOS ESTILOS DE APRENDIZAJE Y LAS CATEGORÍAS MOTIVACIONALES: UN ESTUDIO DE SUS RELACIONES EN ESTUDIANTES UNIVERSITARIOS. Bogotá. Obtenido de http://repository.lasalle.edu.co/bitstream/handle/10185/1442/T85.08%20F391e.pdf?sequence=1&isAllowed=y
Jiménez, E., & Flores, W. (2017). Actitudes hacia las matemáticas: un estudio en una escuela rural de la Costa Caribe Sur de Nicaragua. REVISTA UNIVERSITARIA DEL CARIBE, 18(1), 7-16. Obtenido de http://revistasnicaragua.net.ni/index.php/caribe/article/view/3522/3438
Lara, A. (2010). LAS ACTITUDES HACIA LAS MATEMÁTICAS EN EL ALUMNADO DE ESO: UN INSTRUMENTO PARA SU MEDICIÓN. Publicaciones, 49-71. Obtenido de http://digibug.ugr.es/bitstream/handle/10481/24720/523.%20n.%2040.pdf;jsessionid=C53289CE0578EEE7FBE08157D1696E91?sequence=1
Luengo, R., & González, J. (Septiembre de 2005). Relación entre los estilos de aprendizaje, el rendimiento en matemáticas y la elección de asignaturas optativas en alumnos de enseñanza secundaria obligatoria (E.S.O.). Revista iberoamericana de educación matemática(3), 25-46. Obtenido de http://www.fisem.org/www/union/revistas/2005/3/Union_003_006.pdf
Montesinos, J. (2017). Actitud frente al aprendizaje de las matemáticas en los estudiantes del cuarto grado de secundaria de la institución educativa “Nicolás Copérnico”, San Juan de Lurigancho, 2015. Perú. Obtenido de http://repositorio.ucv.edu.pe/bitstream/handle/UCV/7695/Montesinos_RJI.pdf?sequence=1&isAllowed=y
Moya, M., Hernández, J., Hernández, J., & Gutiérrez, R. (Octubre de 2009). UN ESTILO DE APRENDIZAJE, UNA ACTIVIDAD. DISEÑO DE UN PLAN DE TRABAJO PARA CADA ESTILO. Revista Estilos de Aprendizaje, 2(4), 140-152. Obtenido de http://learningstyles.uvu.edu/index.php/jls/article/download/175/136
Myers, D. (2003). Psicología Social. México DF: McGraw-Hill. Obtenido de https://www.academia.edu/15395639/PSICOLOG%C3%8DA_SOCIAL._David_G._Myers
Pereda, A. (2018). Las actitudes y estilos de aprendizaje asociados al rendimiento académico de los estudiantes de la escuela de matemática y física de la Universidad Nacional San Cristóbal de Huamanga, año 2013. Lima-Perú. Obtenido de http://repositorio.une.edu.pe/bitstream/handle/UNE/1717/TD%20CE%201800%20P1%20-%20Pereda%20Medina.pdf?sequence=1&isAllowed=y
Sampieri, R. (2014). Metodología de la Investigación. (Sexta ed.). México D.F.: McGRAW-HILL. Obtenido de https://www.uca.ac.cr/wp-content/uploads/2017/10/Investigacion.pdf
Varela, M. (2014). RELACIÓN ENTRE LOS ESTILOS DE APRENDIZAJE Y LOS NIVELES DE CREATIVIDAD MOTRIZ EN LOS ESTUDIANTES DE LA INSTITUCIÓN EDUCATIVA LAS DELICIAS DEL MUNICIPIO DE EL BAGRE. Caucasia. Obtenido de http://bibliotecadigital.udea.edu.co/dspace/bitstream/10495/2774/1/1.%20PROYECTO%20MAESTR%C3%8DA%20EN%20EDUCACI%C3%93N%20FINAL.pdf
Vega, M., & Patino, M. (2013). CHAEA 32 simplificada: Propuesta basada en Análisis Multivariantes. Salamanca. Obtenido de https://www.researchgate.net/publication/318100230_CHAEA_32_simplificada_Propuesta_basada_en_Analisis_Multivariantes
Zapata, M. (Abril de 2015). Teorías y modelos sobre el aprendizaje en entornos conectados y ubicuos. E K S, 69-102. Obtenido de http://revistas.usal.es/index.php/eks/article/viewFile/eks201516169102/12985
© 2020 Revista Científica de FAREM-Estelí.
Este trabajo está licenciado bajo una Licencia Internacional Creative Commons 4.0 Atribución-NoComercial-CompartirIgual.