Xochilt Esther Zambrana Areas
xza-86@hotmail.com
Recibido: 27 de septiembre de 2019, Aceptado: 12 de diciembre de 2019
1 Docente de Facultad de Ciencias e Ingenierías. UNAN-Managua. ORCID: https://orcid.org/0000-0002-2224-9742
RESUMEN
La presente investigación tiene como objetivo caracterizar el peligro sísmico por efecto de sitio en el área de la UNAN-Managua y está orientada a conocer las características y respuesta sísmica de los suelos en sus modos de vibrar ante un evento sísmico. El área de la UNAN-Managua corresponde a una zona de alta peligrosidad sísmica por localizarse al oeste una falla geológica activa, conocida como la Falla Zogaib, la cual tiene una longitud de 2.7 km y orientación norte-sur, y representa un peligro sísmico para la Ciudad Capital, que históricamente ha sido devastada por terremotos de magnitud moderada (Ms 6-6.2) originados por fallas geológicas, dejando daños en las infraestructuras provocando el colapso total de viviendas y edificaciones y la pérdida de vidas humanas en el país. La investigación es un aporte valioso para la UNAN-Managua y es de base para la planificación de fututos proyectos de construcción en el recinto universitario para la prevención de desastres por terremotos y aporta información para la reducción del riesgo sísmico en área. El estudio se llevó a cabo como un proyecto de investigación titulado “Estudio de efecto de sitio en la UNAN-Managua”, que se realizó con el apoyo económico de los Fondos para proyectos de investigación (FPI) de la UNAN-Managua.
Palabras clave: amenaza sísmica; efecto de sitio; falla Zogaib; UNAN-Managua.
ABSTRACT
This research aims to characterize seismic hazard by site effect in the UNAN-Managua area and is oriented to know the characteristics and seismic response of soils in their ways of vibrating to a seismic event. The area of UNAN-Managua corresponds to an area of high seismic hazard to locate to the west an active geological fault, known as the Zogaib Fault, which has a length of 2.7 km and north-south orientation, and represents a seismic hazard for the City Capital, which has historically been devastated by earthquakes of moderate magnitude (Ms 6-6.2) caused by geological faults, leaving damage to infrastructure causing the total collapse of homes and buildings and the loss of human life in the country. The research is a valuable contribution to UNAN-Managua and is the basis for the planning of future construction projects in the university campus for the prevention of earthquake disasters and provides information for the reduction of seismic risk in the area. The study was carried out as a research project entitled “Study of site effect in UNAN-Managua”, which was carried out with the financial support of the UNAN-Managua Research Funds (FPI).
Keywords: seismic threat; site effect; Zogaib flaw; UNAN-Managua.
INTRODUCCIÓN
En zonas de peligro sísmico es de suma importancia llevar a cabo estudios del comportamiento sísmico del suelo y poder evaluar efectos secundarios que podrían desencadenarse a raíz de un sismo, como por ejemplo la amplificación del terreno o efecto de sitio al paso de la onda sísmica en suelo y que podría provocar el daño en las edificaciones, y el colapso de estas causando pérdidas económicas y de vidas humanas.
La historia sísmica de Nicaragua ha puesto en evidencia las capacidades destructivas de los eventos sísmicos sobre las edificaciones, un ejemplo de esto ocurrió en su capital Managua, el 23 de diciembre de 1972, donde se originó un terremoto de magnitud 6.2 ML, ocasionado por la falla geológica Tiscapa, en la cual más de 10,000 personas resultaron muertas, afectando totalmente la economía del país. Actualmente, Managua, por sus condiciones geológicas es considerada una de las ciudades más vulnerables del país ante las diferentes amenazas naturales.
La Universidad Nacional Autónoma de Nicaragua, UNAN-Managua, localizada en el casco urbano de la ciudad de Managua, es una de las universidades más importante y grande de Nicaragua. Esta institución cuenta con una comunidad universitaria de aproximadamente 43,000 personas entre estudiantes, docentes y administrativos. El Recinto Universitario Rubén Darío de la UNAN-Managua (RURD-UNAN), fue fundado en abril de 1969. Este recinto está conformado por un gran número de edificaciones entre las cuales están: oficinas, aulas de clase, laboratorios, auditorios, librerías, centro de cómputo, entre otros. Gran parte de estas construcciones son de mampostería confinada y un pequeño porcentaje de mampostería reforzada, marcos de acero, planchetas y paneles prefabricados.
La investigación consiste en un estudio sísmico en el área del Recinto Universitario Rubén Darío de la UNAN-Managua, con el objetivo de estudiar el comportamiento de los suelos ante un evento sísmico y poder determinar efectos secundarios a raíz de la ocurrencia de sismos como el incremento de la intensidad del movimiento del suelo conocido a este fenómeno como efecto de sitio y poder evaluar el grado de peligrosidad ante un evento sísmico y mitigar los daños posibles y aportar información que sea útil para la planificación de futuras construcciones el área del recinto. Cabe destacar que para el estudio sísmico y la caracterización del suelo se hará uso de la Técnica de Nakamura para determinar si hay efecto de sitio en la zona y de esta manera estimar modelos de velocidad del subsuelo para brindarán información de la geometría del sub-suelo y sus velocidades de propagación de las ondas sísmicas, cuyos parámetros son utilizados con propósitos ingenieriles y son gran interés para la reducción del riesgo sísmico y la prevención desastres por terremotos.
Área de estudio
El Recinto Universitario Rubén Darío se encuentra localizado al SW de la Ciudad Managua, Nicargua (Figura 1), en la hoja Topográfica de Managua, número2952-III, a escala 1:50000, realizada por INETER en 1988. Según el sistema de coordenadas WGS 1984 UTM zona 16 N, el Recinto Rubén Darío se localiza en las coordenadas de referencia N: 1338-1340 E: 579-580 y cubre un área de 555,090.98 m2.

Figura 1. Localización del Recinto Universitario Rubén Darío de la UNAN-Managua y sistema de Falla geológica Zogaib-Escuela (INETER, 2003)
El área de estudio es un punto de referencia en Managua porque es la universidad de más concurrencia de estudiantes, y se encuentra en continuo crecimiento. Al oeste de la universidad, se localiza una zona falla geológica conocida con el nombre de Falla Zogaib. La falla geológica conocida como “Zogaib”, se extiende desde el costado oeste de la calle 39 al sureste de la pista de la UNAN hasta las inmediaciones del Recinto Universitario “Rubén Darío”, por lo cual representa una amenaza sísmica para la zona de estudio (Figura 1).
La falla Zogaib fue descrita como una falla normal por Woodward-Clyde Associates, (1975), con un desplazamiento de vertical de 1.5m y una longitud de 2.7 Km. Esta falla tiene una dirección norte – sur, y se evidencia en el área de estudio como un escarpe de falla en forma de colina conocido como Cerro Mocorón, la cual decrece en altura hacia el norte, casi desapareciendo al suroeste del Reparto San Juan. Al norte de esta zona, cambia de rumbo hacia el noreste uniéndose con la falla Escuela con la cual forma un solo sistema de fallas geológicas.
El objetivo general del estudio es caracterizar la amenaza sísmica por efecto de sitio en el Recinto Universitario Rubén Darío de la UNAN-Managua, y realizar una microzonificación sísmica a partir de mediciones de campo de registros de vibraciones naturales y vehiculares conocido como microtremores o ruido sísmico para obtener información del comportamiento de los suelos ante un evento sísmico en sitio de investigación.
Referentes conceptuales del estudio
Un terremoto es el movimiento brusco de la tierra causado por la liberación de energía acumulada durante un periodo de tiempo. La corteza de la Tierra está conformada por placas tectónicas que se están acomodando en un proceso que lleva millones de años y han dado la forma que hoy conocemos a la superficie de nuestro planeta. Habitualmente estos movimientos de las placas son lentos y comienzan a acumular una energía en la corteza terrestre que producirá un movimiento brusco originando el terremoto. Las zonas en que las placas ejercen esta fuerza entre ellas se denominan fallas geológicas y son, desde luego los puntos con más probabilidad que se originen terremotos por los cuales se consideran zonas de amenaza o peligro sísmico.
Cuando ocurre un terremoto o un sismo los movimientos bruscos del suelo se deben a la propagación energía a través de ondas elásticas que viajan en un medio que es el suelo. Existen tres grandes tipos de ondas sísmicas: las ondas primarias o P (es una onda de compresión, lo cual significa que el suelo es alternadamente comprimido y dilatado en la dirección de la propagación de la onda); las ondas secundarias, transversales o S (se produce cuando la energía pasa a través del medio desplazando el suelo en direcciones perpendiculares a la propagación de la onda); y las ondas superficiales (son ondas sísmicas que producen el mayor movimiento del suelo y se ocasionan grandes daños en la infraestructura).
Efecto de sitio
La respuesta sísmica de sitio, se define como la modificación de la señal sísmica debida a la influencia de las propiedades geotécnicas, geológicas y topográficas de las capas de suelos más superficiales de la corteza terrestre en las características de los movimientos sísmicos esperados para un sitio. Esta modificación consiste en la amplificación del movimiento del suelo debido a la presencia de suelos o depósitos no compactos.
Los suelos blandos se registran amplitudes sísmicas más altas que sobre roca, debido que en las capas superficiales las ondas sísmicas sufren cambios muy significativos, esto porque que el subsuelo se presenta como un depósito de estratos con diferentes propiedades mecánicas y dinámicas cuya base es la formación rocosa (Figura 2).

Figura 2. Comportamiento de las Ondas Sísmicas en la roca sólida y en sedimentos desde el punto donde se origina el sismo denominado hipocentro o foco sísmico. http://www.lis.ucr.ac.cr/mapas/2012-09-05-10:20:21/ef_sitio/index.php
En la figura 2, se aprecia que la onda sísmica emitida desde el punto donde se origina el sismo denominado hipocentro, las ondas sísmicas desde este punto se propagan sin muchos cambios, hacia el punto B y el sismograma registra amplitudes pequeñas. No obstante, en el punto A sobre el suelo se registran amplitudes mucho más altas en comparación con el punto B, esto indica que los parámetros físicos más importantes que determinan como las capas del suelo amplifican las ondas sísmicas y el espesor de las capas blandas que sobreyacen a basamento rocoso.
Microtremores
De acuerdo con Kanai y Tanaka (1961), la superficie terrestre vibra constantemente, con amplitudes muy pequeñas del orden de micrómetros. Estas contantes vibraciones de la superficie terrestre son denominadas vibraciones ambientales o microtremeros, las cuales están compuestas principalmente por ondas superficiales. Los microtremores son producidos por fuentes artificiales o naturales. Las fuentes artificiales son de periodo corto ˂ 1segundo y alta frecuencia ˃ 1 Hz y son generados por las actividades humanas por ejemplo el tránsito vehicular o el ruido de la maquinas, en cambio las fuentes naturales son de periodo largo ˃ 1 segundo y baja frecuencia ˂ 1 Hz y están relacionados con los fenómenos naturales como el viento, mareas de los océanos y las variaciones en la presión atmosférica. Con el estudio de microtremores se obtiene información sobre periodos de vibración del suelo, evaluar las condiciones geológicas del sitio factores claves para prevenir o mitigar desastres por terremotos. Para el estudio de microtremores se utilizan el método de Técnica de Nakamura.
Técnica de Nakamura
Este método fue propuesto por Nakamura (1989) para el estudio de microtremores y ha tenido bastante aceptación debido a su fácil implementación en el trabajo de campo como en el procesamiento de datos. La instrumentación consiste en un acelerómetro triaxial (Figura 4) con el cual se registran microtremores en la superficie, su procesamiento es simple, consistiendo en la aplicación de métodos matemáticos para la determinación de espectros de Fourier y la estimación de la función de transferencia que da información de la amplificación. Esta técnica también es utilizada para estimar periodos y frecuencia naturales de vibración del suelo, así mismo, es aplicada para construir un modelo de velocidad profundo del subsuelo.
MATERIAL Y MÉTODO.
El estudio sísmico en el Recinto Universitario Rubén Darío de la UNAN-Managua abarcó las siguientes etapas de trabajo:
1 Trabajo de Gabinete: Para esta investigación fue necesario la recolección de información, a través de estudios previos realizados en el área, relacionados al tema. Así mismo, se analizaron ortofotomapas e imágenes de satélites, mapas topográficos y de fallas sísmicas para la planificación de mediciones en los terrenos de la universidad.
2 Trabajo de Campo: Se realizaron mediciones de campo a través de la aplicación de un método geofísico para la exploración del subsuelo conocido como Técnica de Nakamura que permite la obtener mediciones de vibración del suelo, a partir de mediciones de microtremores o ruido sísmico. Con este método, se caracteriza desde el punto de vista sísmico, el sitio para estimar parámetros dinámicos de los suelos como: frecuencias, períodos y amplitudes de vibración, con la finalidad de identificar efectos secundarios debido al sismo como la amplificación de la intensidad del movimiento del suelo o Efecto de Sitio a raíz de un evento sísmico que puede provocar daños en la infraestructura.


Figura 3. Mediciones de campo de registros de datos sísmicos en el área de la UNAN-Managua
El equipo de medición utilizado en el trabajo de campo fue el equipo McSEIS-MT NEO, es un acelerómetro digital que contiene tres sensores externos para la medición de vibraciones en el suelo. Adicionalmente, se le integra un sistema de posicionamiento global (GPS) y funciona de forma automática con una batería interna para su operación en el campo. El instrumento no requiere de una fuente sísmica artificial (como el golpe de un martillo o detonación de explosivos) para la adquisición de vibraciones ambientales en el subsuelo que son producidas por las actividades humanas, el tránsito vehicular, el ruido de maquinarias o fenómenos naturales como el viento, mareas de los océanos y las variaciones en la presión atmosférica.


Figura 4. Equipo de Medición acelerómetro digital McSEIS-MT-NEO y sensores sísmicos empleados para registros de vibraciones del suelo en el área del Recinto Universitario Rubén Darío de la UNAN-Managua

Figura 5. Mapa de localización de mediciones de trabajo de campo en el área universitaria
Un total de 164 registros de mediciones en el campo fueron adquiridos con el acelerómetro McSEIS-MT, con una separación de 50 metros entre cada estación de medición, las cuales fueron distribuidas en todo el área del Recinto Universitario Rubén Darío de la UNAN-Managua como se observa en la Figura 5.
3. Procesado de datos y obtención de resultados: Esta fase consistió en el análisis e interpretación de los datos de campo. Como resultados de estudio se obtuvo la caracterización sísmica del área, e información importante en ingeniería como Períodos Dominantes (T0) y las Amplificaciones Relativas (A0) de los suelos en la universidad.
También se obtuvo el mapa de microzonificación sísmica del Recinto Universitario Rubén Darío y se estimaron modelos de velocidad del subsuelo, los cuales son una de las herramientas más importantes para la estimación y predicción del movimiento sísmico y brindan información de parámetros, tales como, velocidad con la que se mueve el terreno, la geometría y los tipos de suelos presente en un área determinada, cuya información es de gran interés en el campo de la ingeniería y para la planificación de construcciones. Los resultados de estudio son de gran importancia para la prevención de desastres por terremotos y aportan información para la reducción del riesgo sísmico en la universidad.
ANÁLISIS Y DISCUSION DE LOS RESULTADOS.
La caracterización de la amenaza sísmica por efecto de sitio es el resultado del análisis de datos de campo de 164 puntos de medición de microtremores en los suelos del Recinto Universitario Rubén Darío (RURD-UNAN-Managua), como resultado se ha determinado y delimitado tres Microzonas en base al periodo y amplificación de los suelos presenten en la zona de estudio (Figura 6):
Microzona 1: Está representada por el color verde, se identifican suelos con vibraciones entre periodos dominantes de 0.1 a 0.3 segundos y tiene una amplificación de 4 hasta 7.9 veces.
Microzona 2: Le corresponde el color amarillo, está caracterizada una amplificación relativa de 4 hasta 9 veces y periodos dominantes entre 0.31 y 0.5 segundos.
Microzona 3 con Efecto Topográfico: Se distingue por tener una amplificación relativa de 4.1 hasta 9 veces, periodos dominantes de suelos comprendidos entre 0.1-0.32 y se encuentra representada por el color café.

Figura 6. Mapa de Microzonificación Sísmica del Recinto Universitario Rubén Darío (UNAN-Managua)
El mapa de microzonificación del área de estudio nos da información de los suelos en sus modos de vibrar ante un evento sísmico, y brinda información de parámetros como periodos y amplitudes que son importante para el diseño de edificaciones en área universitaria (Figura 6).
Una vez obtenido la microzonificación del área de estudio se procedió a estimar modelos de velocidad de ondas sísmicas (Vs) del subsuelo, los cuales son una de las herramientas importantes para la estimación y predicción del movimiento sísmico y brindan información de parámetros, tales como, velocidad de propagación de ondas sísmicas, la geometría y los tipos de suelos presente en un área determinada, cuya información es de gran interés en el campo de la ingeniería. En la figura 7, se presenta un modelo de velocidad del subsuelo estimado para un punto de medición (P24), localizado cerca de las residencias de becadas internas de la Universidad (Figura 6).
A)

B)

Figura 7. A) Modelo de Velocidad de la onda sísmica (Vs) y B) Perfil de suelo, profundidad, espesores y tipos de suelos en el Recinto Universitario Rubén Darío (RURD-UNAN-Managua), información obtenida hasta los 50 metros de profundidad
| Profundidad (m) | H (m) | Vs (m/s) | Tipos de suelos |
| 0.00 – 5.25 | 5.25 | 130 - 190 | Suelo limoso arenoso no consolidado. |
| 5.25 – 8.25 | 3.00 | 260 - 300 | Arena limosa y arcilla de baja plasticidad. |
| 8.25 – 23.60 | 15.35 | 320 - 370 | Suelo arenoso arcilloso. |
| 23.60 – 37.10 | 13.50 | 430 - 490 | Suelo firme |
| 37.10 – 49.10 | 12.00 | 570 - 740 | Suelo compactado. |
Tabla 1. Profundidades, espesores y valores de Velocidades de ondas sísmicas (Vs), de las capas de suelos en el Recinto Universitario Rubén Darío (RURD-UNAN-Managua)
Los modelos de velocidad de las ondas sísmicas (Vs) es uno de los principales parámetros para analizar el comportamiento dinámico de los suelos. Tomando en consideración el artículo 25 del Reglamento Nacional de la construcción (RNC – 07, 2007) donde establece que para tomar en cuenta los efectos de amplificación sísmica debido a las características del terreno, los suelos se clasifican en cuatro tipos, de acuerdo con las siguientes características:
| Clasificación de sitio | Vs (m/s) |
| Tipo I. Afloramiento rocoso | Vs > 750 |
| Tipo II. Suelo firme | 360 < Vs ≤ 750 |
| Tipo III. Suelo moderadamente blando | 180 < Vs ≤ 360 |
| Tipo IV.Suelo muy blando | Vs > 180 |
Tabla 2. Clasificación de suelo según el Reglamento Nacional de la construcción de Nicaragua (RNC-07)
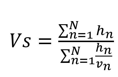
Siendo Vs la velocidad promedio calculada a una profundidad no menor a 10m, esta se determina mediante la expresión:
Donde:
hn=espesor del n-ésimo estrato
Vn=velocidad de ondas decorte de n-ésimo estrato
N=número de estratos
Una vez obtenido el modelo de velocidad de ondas sísmicas se prosiguió a la determinación de la velocidad promedio de la onda sísmica de corte (Vs), la cual se determina mediante la ecuación 1 del presente documento, basada en el artículo 25 del RNC-07.Dónde: Vs = Velocidad de la onda de corte promedio.
Obteniéndose los siguientes valores para el punto 24:
Managua, como suelos de tipo III que, de acuerdo al reglamento nacional de la construcción, corresponden a suelos moderadamente blandos para rangos de velocidad de corte 180 m/s ≤ Vs ≤ 360m/s como se muestra en la tabla 2. De acuerdo a los modelos de velocidades de las ondas de corte obtenidos en el área de estudio, se logró estimar perfiles de suelos los cuales se muestran la figura 7-B.
CONCLUSIONES Y RECOMENDACIONES
Los registros de mediciones sísmicas de 164 puntos medidos en Recinto Universitario Rubén Darío, demuestran la existencia del peligro sísmico por efecto de sitio en toda el área de estudio, así mismo a partir de estos datos se realizó una microzonificación sísmica del sitio dividiendo en 3 microzonas conformadas de la siguiente manera:
Se estimaron modelos de velocidad de la onda sísmicas del subsuelo siendo la velocidad promedio de Vs=351.466 m/s. En base a esos valores fue posible clasificar el suelo en este sitio según el reglamento Nacional de la Construcción (RNC-07) como suelos moderadamente blandos (Tipo III).
El peligro sísmico por efecto de sitio o el fenómeno de amplificación de ondas sísmicas del movimiento del suelo es responsable del daño extenso en áreas constituidas por depósitos de gran potencia de sedimentos blandos y poco compactados. Con este estudio se determinaron las características dinámicas (velocidades, periodos, amplificaciones) de los suelos en la zona universitaria, parámetros que deben de tomarse en cuenta en la planificación de obras civiles y el diseño antisísmico de la infraestructura de la universidad.
El sistema de Fallas geológicas Zogaib-Escuela, representa una zona de alto peligro sísmico con la alta probabilidad de generar un terremoto que afectarían la ciudad de Managua provocando daños severos en las construcciones que no cumplan con un adecuado diseño para soportar las fuerzas de un sismo de gran magnitud.
Esta investigación debe ser base para la planificación de futuras construcciones en el Recinto Universitario Rubén Darío ya que aporta información valiosa del comportamiento sísmico-dinámico del suelo y para la reducción del riesgo sísmico en la Universidad
Es recomendable realizar estudios de períodos de vibración en la infraestructura de la universidad con el fin de conocer su comportamiento ante un evento sísmico y comparar la información generada en estudio para determinar el fenómeno de resonancia (similitud del periodo de vibración del suelo con respecto a laedificaciones), que pueden provocar daños en la infraestructura ante un evento sísmico de gran magnitud.
AGRADECIMIENTOS
El artículo científico fue producto de una investigación titulada “Estudio de efecto de sitio en la UNAN-Managua”, que se realizó con el apoyo económico de los Fondos para proyectos de investigación (FPI) de la UNAN-Managua. Agradezco a la Universidad por brindarme Beca FPI para el desarrollo del estudio.
Mis agradecimientos al Msc. Marlon Díaz, Decano de la facultad de Ciencias e Ingenierías por su apoyo en mi labor y formación Docente. Al Instituto de Geología y Geofísica por disposición y apoyo de equipos en el desarrollo de la investigación.
Así mismo, a los estudiantes de la Carrera de Ingeniería en Geología de la Facultad de Ciencias e Ingenierías y estudiantes de tesis: Ing. Brigieth del Carmen Mejía Moreno, Ing. Johel Enmanuel Calero Dávila, Ing.Ethel del Socorro González Martínez, Ing. Katia Massiel López Vargas, Ing.Karina de los Ángeles Moscoso Sandoval, por su trabajo en conjunto en el desarrollo del proyecto de investigación.
REFERENCIAS BIBLIOGRÁFICAS
INETER (1998). Hoja Topográfica de Managua, número 2952-III a escala 1:50000. Tercera edición. Instituto Nicaragüenses de Estudios Territoriales.
INETER (2003). GIS Georisk database. Instituto Nicaragüense de Estudios Territoriales. Managua, Nicaragua.
MTI (2007), Reglamento Nacional de la Construcción de Nicaragua RNC-07, Ministerio de transporte e infraestructura.
Nakamura, Y., (1989). A method for dynamic characteristics estimation of subsurface using microtremor on the ground surface, Q. Rep. Railw. Tech. Res. Inst. 30, no. 1, 25 - 33.
Página web: Instituto Nacional de Información de Desarrollo, http://www.inide.gob.ni/.
Página web: Universidad de Costa Rica. http://www.lis.ucr.ac.cr/mapas/2012-09-05-10:20:21/ef_sitio/index.php).
Woodward Clyde Cosultants (1975), Investigation of Active faulting in Managua, Nicaragua & vicinity‟‟. Vice Ministerio de Planificación urbana gobierno de la República de Nicaragua, Volumen I and II.
© 2019 Revista Científica de FAREM-Estelí.
Este trabajo está licenciado bajo una Licencia Internacional Creative Commons 4.0 Atribución-NoComercial-CompartirIgual.