
DOI: http://dx.doi.org/10.5377/farem.v0i27.7057
https://rcientificaesteli.unan.edu.ni
Juan Asdrubal Flores-Pacheco1
juan18asdrubal@gmail.com
Silvia María Aguirre Medina2
medinam15@yahoo.com
Darlin Meshell Taylor Britton2
René Alfonso Cassell’s Martínez2
guabul59@gmail.com
Recibido: 02 de agosto de 2018, Aceptado: 20 de diciembre de 2018
1 Dirección de Investigación y Postgrado (DIP), Facultad de Recursos Naturales y Medio Ambiente (FARENA), Bluefields Indian & Caribbean University - BICU, Apartado postal 88, Avenida Universitaria, Bluefields, Nicaragua.
2 Facultad de Recursos Naturales y Medio Ambiente (FARENA), Bluefields Indian & Caribbean University - BICU, Apartado postal 88, Avenida Universitaria, Bluefields, Nicaragua.
RESUMEN
Los insectos del género Díptera a lo largo de la historia y evolución han tenido estrecha relación con el hombre, sus actividades y entorno. Es uno de los grupos taxonómicos más amplios y diversos tanto en formas, funciones y relación con el hombre. Esta investigación tiene por objetivo describir la diversidad taxonómica y ecológica de los dípteros identificados en el relleno sanitario de la cuidad de Bluefields. Para la captura de los dípteros se utilizaron trampas con diferentes a trayentes para evaluar su efectividad. La ubicación del proyecto fue en el Relleno Sanitario Municipal de Bluefields. Se evaluaron nueve trampas con atrayentes con veinte repeticiones cada una, con muestro diarios por cinco días, con intervalos de 24 horas. Se realizaron las comparaciones entre los tratamientos y especies capturadas identificando distribución no normal de los datos. La significancia asintótica estadística para cada variable se evaluó mediante la prueba no paramétrica de Kruskal-Wallis y Kolmogórov-Smirnov. La colocación de trampas con distintos atrayentes en el relleno sanitario municipal de Bluefields permitió la identificación de las especies Musca doméstica, Pepsis sp. Vespula germánica, Chironomus plumosus, Aedes aegypti, Ceratitis capitata, Hermetia illucens y Agapostemon sp. De la totalidad de trampas con atrayentes evaluados, fue la trampa uno con atrayente de miel la que obtuvo mayor número de captura de individuo de ambos sexos, mayor durabilidad en el tiempo, más rico índice de biodiversidad y de similitud en el tiempo, todos estos parámetros con diferencia estadística respecto a las demás trampas. De estas especies se han identificado depredadores, parasitoides e insectos oportunistas.
Palabras claves: cebos; fermentación; estabilidad de ecosistemas; residuos sólidos.
ABSTRACT
Throughout history and evolution, insects of genus diptera have had close relationship with human activities and environment. It is one of the most extensive and diverse taxonomic groups in forms, functions and relationship with humans. This research aims to describe the taxonomic and ecological diversity of diptera identified in the sanitary landfill of the city of Bluefields. To evaluate the effectiveness to capture these insects, different makes of traps were used. The location of the project was the municipal sanitary landfill of Bluefields. We evaluated nine traps using bait with twenty repetitions each. We gathered daily samples for five days, with intervals of 24 hours. Comparisons were made between the treatments and species captured identifying non-normal distribution of the data. The statistical asymptotic significance for each variable was evaluated by the nonparametric test of Kruskal-Wallis and Kolmogórov-Smirnov. The placement of traps with different attractants in the municipal sanitary landfill of Bluefields allowed the identification of the species Musca domestica, Pepsis sp. Germanic Vespula, Chironomus plumosus, Aedes aegypti, Ceratitis capitata, Hermetia illucens and Agapostemon sp. Out of all the evaluated traps, trap number one using honey as bait got the greatest number of individual captures of both sexes, greater durability over time, richer index of biodiversity and similarity in time; all these parameters with statistical difference with respect to the other traps. Out of these species predators, parasitoids and opportunistic insects have been identified.
Keywords: bait; fermentation; stability of ecosystems; solid waste.
INTRODUCCIÓN
Las moscas, mosquito, cínifes, jejenes, tábanos, típulas, moscardones, moscarda y un sinnúmero de especies son bichos voladores que tienen muy mala fama para el hombre, ya sea porque pican, molestan e incordian, etc. porque se les asocia a la transmisión de enfermedades. Sin embargo, ni todos son bueno y ni todos son malos. Lo cierto es que todos ellos pertenecen a un mismo grupo de insecto, el de los dípteros (Carles-Tolrá, 1997).
En cualquier tipo de Relleno Sanitario Municipal (RSM) el riesgo indirecto más importante se refiere a la proliferación de animales, portadores de microorganismos que transmiten enfermedades a toda la población, conocidos como vectores, moscas, mosquitos, ratas y cucarachas, entre otros; además de alimento, o tienen un ambiente favorable para su reproducción, lo que incrementa la transmisión de enfermedades, desde simples diarreas hasta cuadros severos de tifoidea u otras dolencias de mayor gravedad.
La ciudad de Bluefields cuenta con un relleno sanitario el cual no consta con las condiciones adecuadas, en su lugar lo consideran un botadero a cielo abierto y esto ha ocasionada la proliferación de un sinnúmero de insecto de diferentes especies que llegan en búsqueda de refugio, alimento y un lugar donde reproducirse. Existe gran densidad en la población de mosca domesticas las cuales pueden afectar la salud de los habitantes que se ubican alrededor del relleno sanitario ya que son vectores de enfermedades, y se llegan a situar en los alimentos de estas personas dejando en ellos los parásitos que llevan en su cuerpo. Además, están los moquitos y jejenes que al picar pueden trasmitir enfermedades (Magurran, 1998).
Es por estas razones que urge realizar pruebas con trampas utilizando los distintos atrayentes para describir la diversidad taxonómica de las diferentes especies de dípteros que ahí se encuentran y, al tiempo, conocer las funciones ecología que ejercen para así brindar recomendaciones de los efectos sobre la sociedad y el ambiente. Los dípteros identificados en el relleno sanitario permitirán a las instituciones correspondiente la proliferación masiva de las especie que puedan causar daños a la población (Carles-Tolrá, 1997; Jiménez Martínez, 2009; Skidmore, 1991), lo que sí se sabe es que no se pueden exterminarlos por completo porque estos tienen sus funciones ecológicas dentro del medio ambiente, pero algo se puede hacer para que no se sobre pasa la carga de los insectos dentro del relleno sanitario.
Por esta razón, es conveniente conocer sobre la situación de este relleno sanitario y las condiciones que brinda para dar detalle sobre la biodiversidad taxonómica de especies de díptero que habita en la zona. Para realizar la investigación se utilizarán trampas para su captura con diferente atrayentes con esto se pretende evaluar la efectividad de estas trampas para la captura de estos dípteros, posteriormente se realizó un inventario entomológico de los especímenes recolectados para identificar el rol ecológico de cado especie y así proponer acciones para el manejo adecuado del relleno sanitario y el bienestar de la población de Bluefields.
Esta investigación está enfocada evaluación de la calidad de las trampas con atrayentes para la captura y recolección de especies de dípteros que se encuentra en el Relleno Sanitario de la ciudad de Bluefields. Se complemente con la descripción de la diversidad taxonómica y ecológica de dípteros capturados, de igual manera describir sus funciones ecológicas en relación si son beneficiosa para la población o si a lo contrario se reproducen en grandes cantidades y generan algunas enfermedades a la población que vive alrededor del relleno sanitario (Maes and Wirth, 1990; Williams and Gaston., 1994; Battan Horestein, et al., 2007; McAlpine et al., 2007), y por último evaluar la efectividad de las trampa utilizando diferentes atrayente en función del tiempo.
MATERIALES Y MÉTODOS
Ubicación de estudio
La ubicación del proyecto fue en el Relleno Sanitario Municipal de Bluefields, cabecera regional de la Región Autónoma Costa Caribe Sur (RACCS) al noreste de la ciudad. Su posición geográfica está entre las coordenadas 12° 00' de latitud Norte y 83° 45' de longitud Oeste. La cabecera municipal está ubicada a 383 kilómetros de Managua (1 hora y 45 minutos de navegación en panga por el Río Escondido hasta la ciudad de El Rama; 292 kilómetros desde esta ciudad hasta la capital de la República). La ciudad tiene 4.774,75 km², según la Ley de División Política Administrativa (DPA) de la República de Nicaragua. Su altitud es de 20 metros sobre el del mar con una población es de 43,909 habitantes (INIDE, 2006).
El Relleno Sanitario (Figura 1) está ubicado a 4 kilómetros al noroeste de la Ciudad, en la periferia del barrio 19 de Julio, cuenta con un sistema de tratamiento de los desechos, galería para el reciclaje, electricidad, agua potable, oficinas administrativas, duchas y sanitarias para el personal operativo (Basicos, 1997).

Figura 1. Ilustración de la ubicación del estudio. Google Maps®. 2018.

Ilustración 1. Esquema de las instalaciones de Relleno Municipal de Bluefields (BICU-FARENA, 2010).
Se tomó la totalidad del área del Relleno Sanitario Municipal de Bluefields con cada una de las trincheras activas para depósito, selección, almacenamiento y procesamiento los residuos sólidos provenientes del casco urbano municipal. Se muestrearon todas las trincheras activas colocando las trampas aleatoriamente (Ilustración 3) en bloques con nueve trampas en un área de 1 m2 distanciado a 3 metros del bloque de trampas más cercano. El orden de la posición de la trampa en cada bloque se aleatorizo durante el establecimiento y cada muestreo. Se utilizaron trincheras de 50 m2 dejando 2 metros para reducción del efecto de borde.
Tabla 1. Tratamientos evaluados
| Código | Tratamiento | Repetición |
| T1 | Miel pura colocada en una gaza estéril | 20 |
| T2 | Azúcar colocado en una gaza estéril | 20 |
| T3 | Alcohol al 90% colocada en una gaza estéril | 20 |
| T4 | Alcohol (50%) + Agua (50%) | 20 |
| T5 | Residuos frescos de cocina | 20 |
| T6 | Residuos fermentados de cocina | 20 |
| T7 | Detergente (50 g) en 200 mL de Agua | 20 |
| T8 | Agua | 20 |
| T9 | Recipiente vacío | 20 |
Diseño de las Trampas
Para realizar las trampas se utilizaron botellas plásticas de 500 mL, donde a los lados se le hicieron cuatro orificios con un diámetro de 2.5 cm, en la parte de la tapa se le hiso un orificio se le coloco alambre para sostener el cebo, a la botella se le coloco 200 mL de agua para que ahí cayeran las especies (Ilustración 2).

Ilustración 2. A) Ubicación aleatoria de las trampas dentro del bloque de captura; B) Diseño de cada trampa.

Ilustración 3. Diseño y distribución aleatoria de los bloques de trampas.
Variables de estudio
Tabla 2. Operacionalización y descripción de las variables
| Variable | Método | Frecuencia | Unidades |
| Efecto de la trampa | Atracción del material y contenido de la botella | Diario | Conteo directo |
| Tiempo útil de la trampa | Tiempo de viabilidad del atrayente de cada trampa | 24, 48, 72, 96, 120 horas a partir de su colocación | Conteo directo |
| Diversidad | Diversidad de Shannon | Por:
|
H` |
| Riqueza | Índice de Chao | Por:
|
|
| Especie | Identificación en base a claves taxonómicas | Identificación de campo y confirmación en laboratorio | ----- |
| Sexo | Identificación visual de los órganos sexuales de cada individuo | Única | Observación directa |
Identificación taxonómica
Para la identificación de los dípteros se utilizaron las claves dicotómicas empleadas por (Hernández, Gutiérrez;, & Corrales, 2006) y el catálogo de dípteros de Nicaragua (Maes & Wirth, 1990). Para cada género capturado se le registro cantidad, especie, sexo, y estado reproductivo. Los especímenes se colocaron en vasos de muestra de 20 mL de alcohol al 96% que fueron llevados al Centro de Investigaciones Acuáticas de BICU (CIAB). Ahí se distinguieron las especies utilizando un macroscópico. Posteriormente se seleccionaron individuos de todas las especies para su identificación en la Escuela de Ciencias Agrícolas y Veterinarias de la Universidad Nacional Autónoma de Nicaragua – León (UNAN-León).
La identificación de esta cada especie se basó en las claves dicotómicas de tipo y forma de antenas, forma de la cabeza, nervaduras de las alas extendidas, aparato bucal, color y posición de los ojos (Maes & Wirth, 1990). La identificación del sexo (también llamado género) se hizo por observación directa del aparato reproductor ubicado en extremo del abdomen de cada espécimen.
Procedimiento para el análisis de datos
Los datos sobre las medidas de posición y dispersión de los resultados muéstrales que son indispensables en todo estudio inferencial (R. R. Sokal & Rohlf, 1969). Se utilizaron métodos que permitieron estimar la diversidad, la riqueza específica en un lugar y la cuantificación del número de especies presentes, lo cual es una medida sencilla de la riqueza específica o diversidad de especies (Krebs, 1985; Moreno, 2001).El índice de Shannon-Wiener es un índice basado en el concepto de equidad también es conocido como índice de la incertidumbre ya que predice a que especie pertenecerá un individuo escogido al azar de una aglomeración, y se basa en el supuesto de que los individuos se escogen al azar y que las especies están representadas en la muestra. Este índice adquiere valores entre cero y uno cuando solamente se encuentra una especie.
Ecuación 1. Índice de biodiversidad de Shannon
Donde:
H’: Diversidad de Shannon.
S: Número total de especies en la comunidad.
pi: Proporción de S formado por las especies.
La equitatividad en la comunidad se obtendrá a partir del índice de la Equidad de Pielou (J’), que es el resultado del cociente de la diversidad observada (H’) y la máxima diversidad expresada (H’ max), donde H’ max =ln (S).
Ecuación 2. Equidad de Pielou.
Similitud
El índice propuesto por Chao, Chazdon, Colwell, & Shen (2005) está basado en los modelos Clásicos de similitud/disimilitud de Jaccard y Sorensen que solo se enfocan en la presencia o la ausencia de las especies, esto provoca que no hayan estimadores precisos para ellos, y un desempeño pobre en cuanto a la medida de la similitud de la biodiversidad beta (aplicados a datos de muestreo), ya que parten del supuesto erróneo de que el muestreo incluye todas las especies del ensamblaje es decir a la población total. Este nuevo índice le agrega el enfoque de la riqueza de las especies, la abundancia relativa y adopta una estrategia no paramétrica incorporando el efecto de las especies compartidas no vistas, por lo tanto, el índice nuevo de Jaccard con base a la abundancia es:
Ecuación 3. Índice nuevo de Jaccard.
Donde:
H’: Diversidad de Shannon.
H’ max: Máxima diversidad expresada =ln (S)
Donde U y V equivalen a las abundancias totales de las especies compartidas en los ensamblajes, y los índices tienden a 1 cuando las similitudes de pasaje idénticos y tienden a 0 cuando los ensamblajes son diferentes o disimilares.
Análisis estadístico
Se realizaron las comparaciones entre los tratamientos y especies capturadas identificando distribución no normal de los datos. La significancia asintótica estadística para cada variable, se evaluó mediante la prueba no paramétrica de Kruskal-Wallis (R. Sokal & Rohlf, 1981) y Kolmogórov-Smirnov (Di Rienzo et al., 2005). Con la prueba de Kruskal-Wallis y de Wilconxon (García-Pérez, 2010), para los cual se analizaron los supuestos de Muestras Relacionadas con Pruebas No Paramétricas desde el programa SPSS versión 23 (IBM® Statistical SPSS®, 2016), a posteriori se realizará comparaciones de U de Mann-Whitney que permitieron observar cuales tratamientos presentan diferencias significativas entre ellos (Vargas Franco, 2007).
RESULTADOS Y DISCUSIÓN
Inventario entomológico de dípteros recolectados en el relleno sanitario de la ciudad de Bluefields

Figura 2. Individuos capturados en función de la trampa utilizada.
De la gama de trampas con atrayentes evaluadas (Figura 2), las manufacturadas con atrayente a base de miel presento presentó mayor atracción y captura de los adultos de las especies Musca domestica y Vespula germanica (F=6.170; gl=8; P<0.000) en relación con los demás atrayentes. En tanto, las trampas con base en atrayentes de Azúcar, Alcohol al 95%, Residuos de cocina fermentados no presentaron diferencia entre ellas (F=6.170; gl=8; P<0.351), pero si al ser comparadas con las trampas con atrayentes de Detergente (50 gr en 200 mL de agua), la de Agua y el recipiente vacío (F=11.440; gl=8; P<0.001). Debe de mencionarse que las trampas con utilización de Azúcar y Residuos de cocina fermentados son un excelente alternativa de para la captura de dípteros en situaciones de escases de recursos económicos y/o especializados (Ríos, Toledo, & Mota-Sanchez, 2005).
Los resultados obtenidos son similares a los reportados por Carrasco et al., (2015) en los que obtuvo mayor número de captura para la mosca de la fruta (Anastrepha fraterculus) con la utilización de frutas fermentadas, miel y melaza en envases plásticos y trampas industriales con los mismos atrayentes. Sin embargo, no debe de obviarse la desventaja de la atracción de otros insectos, entre ellos benéficos como abejas y algunas avispas (Hernández-Ortiz & Dzul-Cauich, 2008).
Se observó que la interacción de los puntos de muestreos y las trampas fue altamente significativo (P<0.001) en cuanto a la captura de moscas domésticas, la función de los atrayentes es de gran importancia, la eficiencia de la trampa, es medida cuando el insecto llega al atrayente, por señales visuales y por olor del atrayente (Ríos et al., 2005). Serra et al., (2005) indican que los atrayentes sintéticos tienen alta eficiencia en la captura de mosca de la fruta. Estos autores, reportan que las características de las trampas promueven la atracción, captación y retención del insecto incluyendo tamaño, color, diámetro y ubicación de los orificios de accesos como el tipo de atrayente, son los principales factores que afectan la eficiencia de la trampa.

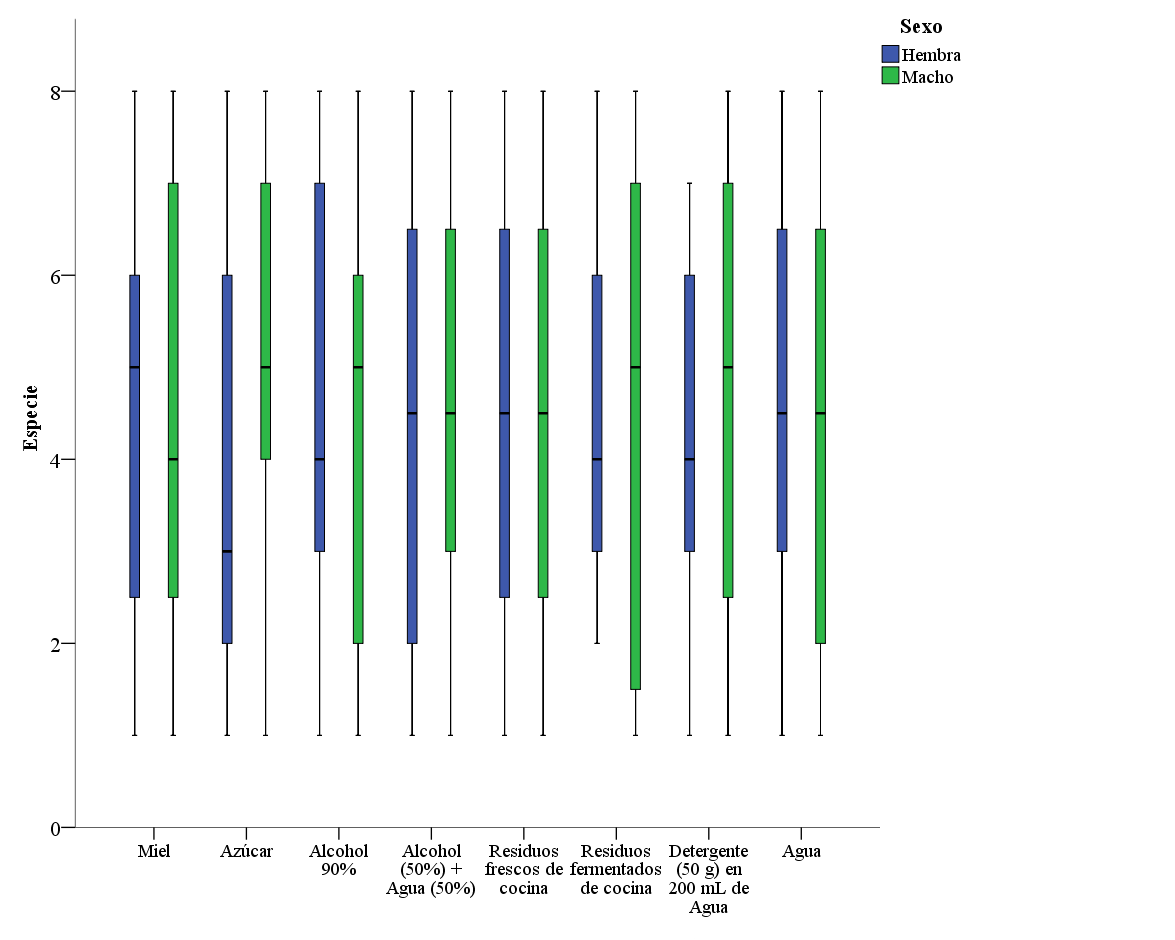
Figura 3. Distribución por sexo de los individuos capturados en función de la trampa evaluada.
En cuanto a la proporción de sexos (Figura 3), se calcularon en las trampas, en las diferentes horas de muestreo. El porcentaje de hembras capturadas (169) en las trampas no varió (F=0.414; gl=8; P<0.912) en relación con los machos (191) debido a las características propias de los tipos de atrayentes utilizados en el estudio y la competencia que se genera entre las trampas. Carrasco et al., (2015), menciona que se han desarrollado diversas tecnologías las cuales generalmente son aplicadas de manera integrada; entre las más importantes está el uso de atrayentes sexuales y alimenticios, por medio del empleo de trampas. En la totalidad de los casos se capturaron individuos adultos en etapa reproductiva o fase cuatro del ciclo holometábolo característico de los dípteros.
Al no obtenerse diferencia en la captura de hembras y machos para ninguna de las especies, indica que las poblaciones son altamente estables y jóvenes (Maes & Wirth, 1990). Esto a su vez significa la estabilidad de refugio, alimentación y de condiciones propicias para su reproducción, lo que al analizar la presencia de Aedes aegypti, vector de las enfermedades del dengue, la malaria y el Chikungunya se vuelve un problema de salud pública (Hammond et al., 2007; Katoch, Sethi, Thakur, & Murdock, 2013) y de interés de las autoridades municipales las cuales administran el Relleno Sanitario local.

Figura 4. Distribución por sexo de los individuos capturados en función de las especies.
En la figura 3 se indica la no existencia de diferencia en la cantidad de hembras y machos capturados en el estudio. Sin embargo, al realizar el análisis de la interacción Trampa-Insecto-Sexo (Figura 4) se identifica diferencia muy escasa (F=213.997; gl=1; P<0.004). Las trampas con atrayentes de Azúcar, Alcohol al 95% y Comida Fresca, obtuvieron mayor captura de hembras que las demás trampas evaluadas, esta misma tendencia se observó para los machos, para ellos deben incluirse las trampas con miel, comida fermentada y agua, los cuales están en correspondencia con lo descrito por Serra et al., (2005; Tucuch-Cauich et al., (2008), quien describe que el nivel de capturas en trampas cebadas con Ceratrap es superior al de otros atrayentes presentes en el mercado, este provoca la emisión de compuestos volátiles primordialmente aminas heterocíclicas y ácidos orgánicos de elevado poder de atrayente para adultos de dípteros y muy especialmente para hembras.
Eficiencia de trampas para la captura de dípteros en el relleno sanitario de la ciudad de Bluefields

Figura 5. Índice de biodiversidad de Shannon en función de la trampa evaluada. Letras distintas (a-f) denotan diferencia significativa al 95% de confiabilidad - Kolmogórov-Smirnov.
Al realizar el cálculo de la estimación de la biodiversidad en base al índice de Shannon (Figura 5) (Fedor & Spellerberg, 2013) se encontró que las trampas con atrayente de miel presentaron amplia diferencias (F=114.448; gl=8; P<0.000) con relación a las demás trampas. Las más cercanas son las trampas con atrayentes de Alcohol al 95% y Residuos frescos de cocina que no presentan diferencias entre ellas.
Las combinaciones de cultivos influyen de manera positiva y directa en el control biológico de plagas (Wagner Bettiol, Marta C. Rivera, Pedro Mondino, Jaime R. Montealegre A., 2014). Altieri y Nicholls (2010), sugieren que la biodiversidad puede ser utilizada para mejorar el manejo de plagas. Algunos estudios han demostrado que es posible estabilizar las poblaciones de insectos en los agro ecosistemas mediante el diseño y la construcción de arquitecturas vegetal.
Al estudiar el sistema evaluado se constató que no está diversificado ni posee estructuras vegetales de protección y/o aislamiento entre las zonas de almacenamiento y procesamiento de los residuos. estas externalidades implican costos económicos y peligro a la salubridad de los trabajadores y del sitio. En la medida que la degradación es más aguda, los costos de conservación son mayores (Carrasco et al., 2015). Al manejar residuos sólidos amigablemente con el ambiente reducimos la contaminación de las fuentes hídricas y de los suelos por la aplicación de productos químicos sintéticos, lo que constituye a aumentar la red trófica dentro de los sistemas productivos, en lo referente al contexto económico se invierte menor cantidad de recursos en la adquisición de insumos químicos, menor mano de obra, así como la reducción del uso equipos agropecuarios (Salvatella, 1997; Tucuch-Cauich et al., 2008).

Figura 6. Índice de biodiversidad de Shannon en función del tiempo. Letras distintas (a-d) denotan diferencia significativa al 95% de confiabilidad - Kolmogórov-Smirnov.
La figura 6 muestra los resultados del cálculo del índice de biodiversidad de Shannon en función de las horas transcurridas tras la colocación de trampas con atrayente. El análisis de Kolmogórov-Smirnov determino la existencia de diferencia de este parámetro en función del tiempo (F=64.263; gl=8; P<0.000). Al tiempo, se marcan en la figura la variación de este índice con letras distintas (a-d).
El proceso de fermentación de los atrayentes de moscas es un factor determinante en la capacidad de atracción diaria durante el período de exposición de las trampas (Ríos et al., 2005). Los atrayentes alimenticios en base de miel, Alcohol al 95% y los dos tipos de residuos de cocina obtuvieron su mayor índice de biodiversidad al primer día de exposición, lo cual indicó que tienen un proceso de fermentación más acelerado, contrario a lo ocurrido con el Azúcar, el detergente y el Agua. En los atrayentes de tipo alimenticio es necesario que ocurra el proceso de fermentación para que los compuestos o mezclas de compuestos amoniacales sean liberados para atraer a los adultos de moscas (Carrasco et al., 2015; Serra et al., 2005).
Tabla 3. Índice de similitud entre comunidades de Chao et al., en función a la captura por trampa. Letras distintas (a-f) denotan diferencia significativa al 95% de confiabilidad - Kolmogórov-Smirnov.
| Trampa | Tiempo (Horas) | ||||
| 24 | 48 | 72 | 96 | 120 | |
Miel |
0.436 a |
0.472 a |
0.472 a |
0.230 a |
0.094 a |
Azúcar |
0.081 d |
0.153 b |
0.071 c |
0.079 c |
0.034 c |
Alcohol al 90% |
0.192 b |
0.085 d |
0.117 b |
0.105 b |
0.044 b |
Alcohol (50%) + Agua (50%) |
0.000 e |
0.034 e |
0.025 e |
0.000 e |
0.000 e |
Residuos frescos de cocina |
0.151 c |
0.112 c |
0.119 b |
0.079 c |
0.049 b |
Residuos fermentados de cocina |
0.129 c |
0.062 d |
0.100 b |
0.071 c |
0.049 b |
Detergente (50 g) en 200 mL de Agua |
0.122 c |
0.060 d |
0.097 c |
0.048 d |
0.046 b |
Agua |
0.034 d |
0.071 d |
0.055 d |
0.035 d |
0.020 d |
Recipiente vacío |
0.000 e |
0.000 f |
0.000 f |
0.000 e |
0.000 e |
La tabla 3 ilustra el resultado del índice de similitud de Chao y colaboradores (Chao et al., 2005) en el cual como en el caso descrito en la figura 7 de este apartado se identificaron diferencias (F=7.489; gl=8; P<0.001) entre las comunidades insectiles capturadas en cada trampa en función del tiempo transcurrido desde su instalación hasta su retiro definitivo con muestreos intermedios. Indistintamente del momento (tiempo) en que se evalué la diversidad y la similitud de comunidades la trampa con atrayente de miel presento diferencias respecto a los demás atrayentes. Esto se explica ya que una vez que un atrayente ha iniciado este proceso, la captura de moscas se incrementa de acuerdo con la tasa de liberación que posean dichos compuestos (Ríos et al., 2005). Esta respuesta ha sido reportada previamente con otros atrayentes, como la levadura (Raga, Machado, Dinardo, & Strikis, 2006).
CONCLUSIONES
La colocación de trampas con distintos atrayentes en el relleno sanitario municipal de Bluefields permitió la identificación de las especies: Musca domestica, Pepsis sp., Vespula germánica, Chironomus plumosus, Aedes aegypti, Ceratitis capitata, Hermetia illucens y Agapostemon sp. De estas especies se han identificado depredadores (Vespula germánica), parasitoides (Pepsis sp.), insectos benéficos (Hermetia illucens y Agapostemon sp.) e insectos oportunistas (Musca domestica, Chironomus plumosus, Aedes aegypti y Ceratitis capitata). Sin embargo, debe tratarse con especial atención la presencia del mosquito Aedes aegypti vector de una serie de enfermedades infecciosas y, que, debido a su rápida reproducción, es un peligro para la salud publica en el municipio. Caso opuesto es la presencia de la mosca soldado negro (Hermetia illucens) díptero de uso potencial para el tratamiento de residuos orgánicos y el mejoramiento de la calidad nutricional de la vermicomposta.
No existe diferencia en la proporción de captura por género en ninguna trampa. Se evidencia estabilidad de la población al cuantificarse cantidades similares de hembras y machos, todos ellos en etapa reproductiva o fase cuatro del ciclo holometábolo caracterismo del género díptero. De la totalidad de trampas con atrayentes evaluados, fue la trampa uno con atrayente de miel la que obtuvo mayor número de captura de individuo de ambos sexos, mayor durabilidad en el tiempo, más rico índice de biodiversidad y de similitud en el tiempo, todos estos parámetros con diferencia estadística respecto a las demás trampas.
CONFLICTO DE INTERESES
Los autores declaran no tener conflicto de intereses.
AGRADECIMIENTO
Esta investigación fue posible por el apoyo financiero de la Dirección de Investigación y Postgrado (DIP) de la Bluefields Indian & Caribbean University (BICU).
BIBLIOGRAFÍA
Altieri, M. A., & Nicholls, C. I. (2010). Diseños agroecológicos para incrementar la biodiversidad de entomofauna benefica en agroecosistemas. Sociedad Científica Latinoamericana de Agroecología (SOCLA) (1st ed., Vol. 1). Medellín, Colombia. Retrieved from http://agroeco.org/socla/
Basicos, P. (1997). Guía para Evaluación de Impacto Ambiental Para Proyectos de Residuos Sólidos Municipales Procedimientos Basicos.
Carles-Tolrá, M. (1997). Los dípteros y el hombre. Boletín de La Sociedad Española Aragonesa, 20, 405–425.
Carrasco, L., Benavides, Á., Morán, J., Rosales, M., & Barquero, G. (2015). Evaluación de trampas y atrayentes para el manejo de la mosca del mediterráneo (Ceratitis capitata Wied) con enfoque agroecológico , en el cultivo de mandarina (Citrus reticulata Blanco), en la finca El Piñalito , San Marcos, Carazo. Universidad Nacional Agraria (UNA), Nicaragua.
Chao, A., Chazdon, R. L., Colwell, R. K., & Shen, T. (2005). A new statistical approach for assessing similarity of species composition with incidence and abundance data. Ecology Letters, 8(2), 148–159.
Di Rienzo, J., Casanoves, F., Gonzales, L., Tablada, E., Diaz, M. del pilar, Robledo, C., & Balzarani, M. (2005). Estadística para Ciencias Agropecuaria.
Fedor, P. J., & Spellerberg, I. F. (2013). Shannon-Wiener Index. Reference Module in Earth Systems and Environmental Sciences, (June), 1–4. https://doi.org/10.1016/B978-0-12-409548-9.00602-3
García-Pérez, A. (2010). Métodos avanzados de estadística aplicada. Métodos robustos y de remuestreo. Universidad Nacional a Distancia.
Hammond, S. N., Gordon, A. L., Lugo, E. D. C., Moreno, G., Kuan, G. M., Lopez, M. M., Harris, E. (2007). Characterization of Aedes aegypti (Diptera : Culcidae) production sites in urban Nicaragua. Journal of Medical Entomology, 44, 851–860. https://doi.org/10.1603/0022-2585(2007)44[851:coaadc]2.0.co;2
Hernández-Ortiz, V., & Dzul-Cauich, J. F. (2008). Moscas (Insecta: Diptera).
Hernández, Y., Gutiérrez;, P., & Corrales, M. (2006). Universidad Nacional Autónoma de Nicaragua Facultad de Ciencias Departamento de Biología Especies de insectos y plantas melíferos y Lepidópteros en el volcán Cosigüina , en los meses de Junio y Julio del año 2005. Tesis previa para optar al título de Lic. Universidad Nacional Autónoma de Nicaragua - León.
IBM® Statistical SPSS®. (2016). IBM® SPSS® 23.0. Retrieved from http://www.spss.com/
INIDE. (2006). VIII Censo de Población y IV de Vivienda. Volumen I. Gobierno de Nicaragua (Vol. I). https://doi.org/10.1017/CBO9781107415324.004
Jiménez Martínez, E. (2009). Entomología. https://doi.org/10.1017/CBO9781107415324.004
Katoch, R., Sethi, A., Thakur, N., & Murdock, L. L. (2013). RNAi for insect control: Current perspective and future challenges. Applied Biochemistry and Biotechnology, 171(4), 847–873. https://doi.org/10.1007/s12010-013-0399-4
Krebs, C. J. (1985). Ecología: estudio de la distribución y la abundancia. México, MX: Edit. Harla.
Maes, J.-M., & Wirth, W. (1990). Catalogo de los diptera de Nicaragua. Revista Nicaragüense de Entomología, 14(1990), 5–15.
Magurran, A. E. (1998). Diversidad ecológica y su medición. Ediciones Vedrá, 1, 200.
Moreno, C. (2001). Métodos para medir la biodiversidad. M&T-Manuales y Tesis SEA. vol. 1, Zaragoza. 84 pp.
Raga, A., Machado, R. A., Dinardo, W., & Strikis, P. C. (2006). Eficácia de atrativos alimentares na captura de moscas-das-frutas em pomar de citros. Bragantia, 65(2), 337–345. https://doi.org/10.1590/S0006-87052006000200016
Ríos, E., Toledo, J., & Mota-Sanchez, D. (2005). Evaluación de atrayentes alimenticios para la captura de la mosca mexicana de la fruta (Diptera: Tephritidae) en el Soconusco, Chiapas, México. Manejo Integrado de Plagas y.Agroecología., 76, 41–49.
Salvatella, R. (1997). Aedes aegypti (Diptera, Culicidae): notificación de su presencia en Uruguay. Revista Médica Del Uruguay, 13, 118–121.
Serra, C. A., García, S., Ferreira, M. A., Batista, O., Epsky, N. D., & Heath, R. R. (2005). Comparación de atrayentes para el trampeo de moscas de las frutas, anastrepha spp. (diptera: tephritidae) en frutales en la republica dominicana. Proceedings of the Caribbean Food Crops Society., XXXXI(2), 524–532.
Skidmore, P. (1991). Insects of the Brithish cow-community. Field Studies Council. Occasional Publication, 21, 166.
Sokal, R. R., & Rohlf, F. J. (1969). Biometry, 776 pp. San Francisco.
Sokal, R., & Rohlf, F. J. (1981). Biometry. Francisco, California, 259 p.
Tucuch-Cauich, F. M., Chi-que, G., & Orona-Castro, F. (2008). Dinámica poblacional de adultos de la mosca mexicana de la fruta Anastrepha sp. (Diptera: Tephritidae) en Campeche, México. Agricultura Técnica En México, 34(3), 341–347.
Vargas Franco, V. (2007). Estadística descriptiva para ingeniería ambiental con SPSS, 312. https://doi.org/978-958-33-9319-3
Wagner Bettiol, Marta C. Rivera, Pedro Mondino, Jaime R. Montealegre A., Y. C. C. (2014). Control biológico de enfermedades de plantas en América Latina y el Caribe. Facultad de Agricultura, Universidad de La República, Montevideo., 402 pp. https://doi.org/10.13140/2.1.2368.5922
Copyright (c) 2018 Revista Científica de FAREM-Estelí.
Este trabajo está licenciado bajo una Licencia Internacional Creative Commons 4.0 Atribución-NoComercial-CompartirIgual.