Yesner Yancarlos Briones Rugama
Universidad Nacional Autónoma de Nicaragua, Managua. UNAN-Managua, Nicaragua
https://orcid.org/0009-0008-4112-7784
yesneryancarlosbrionesrugama@gmail.com
Magdiel Genaro Castellón Espinoza
Universidad Nacional Autónoma de Nicaragua, Managua. UNAN-Managua, Nicaragua
https://orcid.org/0009-0004-4217-9245
magdicastellonespinoza.123@gmail.com
17/01/2025
24/06/2025
El artículo presenta un estudio sobre el dominio en el método Fónico, Analítico y Sintético (FAS) en la enseñanza de la lectura y la escritura en escuelas primarias de Nicaragua, específicamente en la primera unidad pedagógica de educación primaria de San Juan del Río Coco. El objetivo del estudio fue determinar los desafíos metodológicos que enfrentan los docentes al implementar el método Fónico, Analítico y Sintético (FAS), en escuelas primarias de Nicaragua. La investigación tuvo un enfoque cuantitativo, de corte transversal y se basó en el paradigma positivista. La población estuvo constituida por 100 docentes, de los cuales la muestra estuvo integrada por 88. Los principales métodos de recopilación de datos se incluyeron cuestionarios y un test semiestructurado. Los principales resultados del estudio mostraron que el 80 % de los maestros dominan las etapas del método FAS y un 20 % presentan desafíos en su aplicación. También se identificaron dificultades entre los docentes para integrar todos los componentes del método, especialmente en escuelas con recursos limitados. Además, faltan materiales didácticos y formación del profesorado, lo que complica el proceso de adaptación de la metodología a las necesidades individuales de los estudiantes. La principal conclusión del estudio es que el método FAS es efectivo cuando se cuenta con docentes capacitados y recursos educativos suficientes. Por último, el estudio destaca la importancia de la formación sistemática de los docentes, el apoyo a las instituciones educativas y la provisión de los materiales necesarios.
Método FAS; educación primaria; lectura y escritura; formación del profesorado; recursos educativos.
This article presents a study on proficiency in the Phonic, Analytic, and Synthetic (FAS) method in teaching reading and writing in primary schools in Nicaragua, specifically in the first pedagogical unit of primary education in San Juan del Río Coco. The objective of the study was to determine the methodological challenges faced by teachers when implementing the Phonic, Analytic, and Synthetic (FAS) method in primary schools in Nicaragua. The research had a quantitative, cross-sectional approach and was based on the positivist paradigm. The population consisted of 100 teachers, of which the sample was made up of 88. The main data collection methods included questionnaires and a semi-structured test. The main results of the study showed that 80% of teachers have mastered the stages of the FAS method and 20% face challenges in its application. Difficulties were also identified among teachers in integrating all components of the method, especially in schools with limited resources. In addition, there is a lack of teaching materials and teacher training, which complicates the process of adapting the methodology to the individual needs of students. The main conclusion of the study is that the FAS method is effective when there are trained teachers and sufficient educational resources. Finally, the study highlights the importance of systematic teacher training, support for educational institutions, and the provision of necessary materials.
FAS method; primary education; reading and writing; teacher training; educational resources.
El método Fónico, Analítico y Sintético (FAS) se introdujo en al año 2015 en la educación primaria en Nicaragua como un método innovador para la enseñanza de la lectura y la escritura. Cabe destacar que el método combina el trabajo fonético (pronunciación de sonidos), un enfoque analítico (análisis de palabras y oraciones) y un proceso sintético (creación de nuevas palabras y textos). Así, al integrar estos componentes, los estudiantes dominan gradualmente las habilidades de lectura y escritura, desde el simple reconocimiento de sonidos hasta la construcción de textos complejos. Es por ello, que esta metodología es apoyada activamente por el Ministerio de Educación de Nicaragua (MINED) como parte de las estrategias para mejorar la calidad educativa.
El principal problema de los docentes de educación primaria, especialmente de aquellos que trabajan en los grados de primero y segundo, es la insuficiente formación y conocimientos para aplicar eficazmente el método FAS. Esto porque, los docentes, a menudo, enfrentan dificultades para integrar todos los componentes del método: como trabajar con sonidos, analizar palabras y crear textos; todo ello, debido a la falta de formación especializada o porque en su mayoría son nuevos ingresos al sistema educativo.
Por tal razón, esto complica el proceso de adaptación del método a las necesidades individuales de los estudiantes, lo que conduce a una ralentización en el proceso de dominio de las habilidades de lectura y escritura. Como resultado, los estudiantes de primero y segundo grado pueden tener dificultades para desarrollar las habilidades básicas necesarias para su educación futura.
Otro desafío es la falta de materiales y ayudas didácticas que cumplan con los requisitos del método FAS. Los docentes a menudo se ven obligados a desarrollar sus propios materiales o adaptar los existentes, lo que aumenta su carga de trabajo y reduce la eficacia de la enseñanza. Además, la falta de apoyo y seguimiento continuo por parte de las instituciones educativas complica la implementación del método en la práctica. Esto es especialmente cierto en el caso de las escuelas rurales, donde el acceso a los recursos y al desarrollo profesional de los docentes es aún más limitado. Estas cuestiones ponen de relieve la necesidad de adoptar un enfoque sistemático para la formación de docentes, la dotación de recursos a las escuelas y la creación de condiciones para la aplicación exitosa del método FAS.
El estudio de Regalado Rejano (2021) de la Universidad Nacional Autónoma de México (UNAM), titulado Estudio de caso del método FAS en la enseñanza de la lectoescritura en una escuela rural, analiza la implementación del Método Fónico, Analítico y Sintético (FAS) en educación primaria. El objetivo del estudio fue evaluar la efectividad del método FAS en el desarrollo de habilidades de lectura y escritura en estudiantes de primer grado.
Así pues, el estudio tuvo un enfoque cualitativo-cuantitativo y utilizó un diseño de estudio de caso. En tanto, la muestra estuvo constituida por 30 estudiantes de educación primaria y 5 docentes. Las principales herramientas fueron la observación, las entrevistas y las pruebas de alfabetización. Es importante mencionar, que los resultados mostraron que el 85% de los estudiantes mejoraron significativamente sus habilidades de lectura y el 70% sus habilidades de escritura a través de la integración de análisis y síntesis de sonido. La principal conclusión fue la confirmación de la eficacia del método FAS en una escuela rural, siempre que se cuente con docentes capacitados y recursos educativos suficientes.
Por otra parte, el estudio realizado por Guaraca y Erazo (2022) analizan la problemática de las dificultades en el aprendizaje de la lectura y la escritura entre estudiantes de Educación Primaria, con el objetivo de desarrollar propuestas que contribuyan a mejorar su rendimiento académico. En cuanto al objetivo del estudio, fue identificar estrategias pedagógicas que faciliten el proceso de aprendizaje de niños con dificultades de alfabetización.
El estudio es de naturaleza descriptiva y se basa en datos recopilados a través de una encuesta entre maestros de escuela primaria. El instrumento utilizado fue un cuestionario en línea desarrollado en Microsoft Forms y que incluye 8 preguntas de opción múltiple. Los datos fueron procesados en SPSS para su posterior análisis. A su vez, los resultados mostraron que los estudiantes rara vez participan en la lectura y los profesores solo ocasionalmente utilizan materiales innovadores para desarrollar el interés por la lectura. También se encontró que el 75% de los docentes ven la necesidad de fortalecer el trabajo en la motivación de los estudiantes. En tanto, el hallazgo principal fue que se necesitaba más atención al uso de métodos lúdicos e innovadores para fortalecer las habilidades de lectura y escritura.
Otro estudio es el de Gaitán Alvarado y Norori Martínez (2018), el cual se centra en el desarrollo del proceso de aprendizaje de la lectura y la escritura utilizando el método FAS en los estudiantes de segundo grado de la Escuela Primaria Milagro de Dios del Distrito V del Municipio de Managua. El objetivo principal fue determinar cómo se implementa el método y cuáles son sus resultados en la educación de los niños. El estudio se realizó en el marco de un enfoque cualitativo, fue descriptivo y participativo, y de tipo transversal en cuanto al tiempo de implementación, ya que se realizó en el segundo semestre del año 2017.
Cabe resaltar, que para la recolección de datos se utilizó la observación y la entrevista utilizando instrumentos adecuados: fichas de observación y entrevistas al docente. Asimismo, el trabajo se estructura en una introducción, una parte central (fundamento teórico, metodología, análisis de resultados) y una conclusión con hallazgos, recomendaciones y anexos. Por ende, la principal conclusión fue la identificación de brechas importantes en la aplicación del método FAS, lo que requiere el desarrollo de medidas para mejorarlo y alcanzar la calidad de la educación prevista por la política educativa nacional.
Estos tres antecedentes destacan la importancia de la lectoescritura en la primera unidad pedagógica de la modalidad de primaria, ya que es donde el estudiante desarrolla competencias lingüísticas indispensables para la lectoescritura. Es importante destacar, que el método FAS vincula la adquisición de habilidades del estudiante para hacer efectiva su comunicación oral y escrita como parte de los indicadores y criterios establecidos en los programas curriculares.
El aporte metodológico de este artículo se centra en la efectividad del uso de este método en la enseñanza de la lectura y la escritura. Esto permite ofrecer recomendaciones para mejorar el proceso de aprendizaje, centrándonos en las características específicas de la práctica docente. Al igual dar el seguimiento a la estrategia de educación continua de primero a tercer grado que tiene como objetivo desarrollar competencias tempranas a través del lenguaje comunicativo, científico, matemático y social. Rugerio y Guevara (2015), refieren que “la perspectiva de la alfabetización inicial señala que, desde edades tempranas, los niños adquieren conocimientos sobre diversos aspectos del lenguaje oral y escrito que son necesarios para una posterior adquisición de habilidades de escritura y lectura” (p. 28).
En cuanto al aporte social del estudio, es significativo, ya que resalta la importancia de la formación docente para la implementación exitosa de métodos orientados al desarrollo del aprendizaje en los niños. Asimismo, es de gran relevancia la metodología activa aplicada por los docentes, debido a que están tratando con niños en un aula de clase donde las perspectivas son multifacéticas desde lo que más le gusta al niño y el fortalecimiento de sus habilidades, hasta lograr conectar con el proceso de adquisición
A nivel teórico, el artículo refuerza las ideas sobre la importancia del análisis y la síntesis fonética para una enseñanza efectiva, mientras que el aspecto social explora cómo la aplicación competente de estos métodos puede mejorar los resultados educativos, especialmente en el contexto de escuelas rurales con recursos limitados. En tanto, la introducción de estos enfoques contribuye no solo a mejorar la calidad de la educación, sino también a la integración social de los estudiantes, proporcionándoles las habilidades necesarias para una adaptación exitosa en la sociedad.
Además, ejecuta acciones encaminadas al fortalecimiento de la práctica docente y el desempeño de los estudiantes, esto con el afán de cumplir con el objetivo número 1, línea de acción 1.2, del Plan de Educación 2022- 2026, relacionadas con aprendizajes de calidad, orientados a competencias para el desarrollo pleno.
La alfabetización inicial es indispensable en el proceso de aprendizaje, pues es una herramienta de comunicación que permite el intercambio de ideas entre grupos sociales, familias, países enteros.
Fundamentación Teórica
Los niños aprenden a hablar a través de un proceso de imitación cotidiano, en el que el cerebro permite copiar las palabras por medio de un registro auditivo (Coronado, 2016), pero para aprender a leer y a escribir el cerebro debe lograr un estado de conciencia fonológica en el que comprende que las palabras están compuestas por fonemas o sonidos. En este aprendizaje, los niños logran asociar los grafemas o letras con sonidos o fonemas y poco a poco aprenden a reconocerlos a la par del conocimiento de los significados, con la práctica de este proceso se automatiza el nivel de comprensión lectora y se agudiza al punto de lograr una lectura y escritura exitosa.
Figura 1. Etapas del método FAS

Nota. Obtenido de Ministerio de Educación-MINED (2024, pp. 8-22)
Orientaciones metodológicas puntuales con el método FAS
Ministerio de Educación (2016), señala las siguientes etapas:
Etapa de aprestamiento
Etapa de adquisición
Etapa de afianzamiento
En las tres etapas del método FAS se parte de las ilustraciones o láminas, cantos, juegos verbales, cuentos, entre otros, como un enlace para lograr la atención de los estudiantes y provocar el diálogo o conversación (expresión y comprensión oral). En el aprestamiento se inicia este proceso en las cuatro áreas (desarrollo del lenguaje, desarrollo del control muscular, desarrollo sensorial y desarrollo de habilidades para el trabajo de matemáticas: a través de las conversaciones que se generan con las actividades; en la etapa de adquisición, se aborda desde que se presenta el fonema, para relacionar el objeto con la consonante en estudio. En el afianzamiento se consideran los textos narrativos y expositivos, en los que se recurre a un proceso de comprensión de manera breve.
El objetivo de este artículo es determinar los desafíos metodológicos que enfrentan los docentes al implementar el método Fónico, Analítico y Sintético (FAS), en escuelas primarias de Nicaragua.
El enfoque adoptado de este estudio es cuantitativo el cual se caracteriza porque se realiza la medición objetiva y se analiza la relación entre las variables de la hipótesis. Huamán Rojas et, al (2022) aduce que:
Las investigaciones cuantitativas buscan un conocimiento certero y objetivo de la realidad, un conocimiento que sea observable, medible y cuantificable, para ello se requiere el concurso de la matemática y la estadística. En tanto, las investigaciones cualitativas buscan comprender e interpretar el objeto de investigación, más que describirlas, pues toda descripción, primero pasa por comprender el objeto de estudio (p. 6).
Por otro lado, «el diseño descriptivo busca caracterizar, exponer, describir, presentar o identificar aspectos propios de una determinada variable, por ejemplo, expresar en forma de porcentajes el número de participantes que presentan la característica de interés en el estudio». (Arguedas, 2009 como se citó en Ramos 2015, p. 4)
«En este estudio, se concentra en el enfoque cuantitativo de la investigación descriptiva, el cual se enfoca en detallar con precisión una realidad específica, una situación concreta, o las acciones, emociones u opiniones de un grupo de individuos en un contexto particular» (Valle Taiman, 2022, pág. 15).
El positivismo, post-positivismo, teoría crítica y constructivismo son los paradigmas que sustentan la investigación científica. «El cuál se posiciona para tener claridad en la concepción de la realidad del fenómeno de estudio, la relación que debe mantener con el fenómeno de interés y la metodología que debe seguir para responder a las preguntas de investigación propuestas» (Ramos, 2015, pág. 4) .
Por lo tanto, el paradigma positivista respalda dicha investigación. Cuyo propósito será verificar la hipótesis planteada, a través de métodos estadísticos o determinar los parámetros de una variable específica utilizando números. Es una investigación no experimental de estudio descriptivo o exploratorio, donde el investigador observa, describe y fundamenta varios aspectos del tema en estudio. Diseños descriptivos describen lo que existe, determinan la frecuencia en que este hecho ocurre y clasifican la información.
Según el tiempo de realización, esta investigación es de corte transversal, se utilizó un diseño de estudio transversal, el cual fue útil para analizar de manera descriptiva con diseños más rigurosos. Sin embargo, este tipo de estudios tienen limitaciones en cuanto a determinar causalidad, dado que pueden ser susceptibles al sesgo de selección, información y confusión. Por lo tanto, se tomaron estrategias cuidadosas de muestreo y estimación del tamaño de la muestra.
El diseño de un estudio es una de las fases más complejas ya que este debe ser capaz de responder de la mejor manera posible el problema clínico a resolver. Entre los diferentes diseños se encuentran los estudios de corte transversal (ECT), como su nombre lo indica (desde una perspectiva temporal y espacial), son estudios de tipo observacional, descriptivo (en ocasiones analíticos), y de carácter transversal o de corte en el tiempo, por ende, ni prospectivos ni retrospectivos (Manterola et.al, 2023, p.5).
Población y muestra
Ventura-León (2017) afirma que, la población es un conjunto de elementos que contiene ciertas características que se pretenden estudiar. Por esa razón, entre la población y la muestra existe un carácter inductivo (de lo particular a lo general), esperando que la parte observada (en este caso la muestra) sea representativa de la realidad (entiéndase aquí la población); para de esa forma garantizar las conclusiones extraídas en el estudio. La población en esta investigación realizada fue de 100 docentes del municipio de San Juan del Río Coco, departamento de Madriz. Para obtener la muestra se utilizó la ecuación del muestreo probabilístico aleatorio simple con una población finita.
Para Otzen y Monterola (2017) en un muestreo aleatorio simple (MAS) toda muestra de tamaño n tiene la misma probabilidad de ser seleccionada.
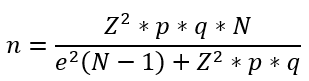
Para encontrar la muestra finita se aplicó la siguiente ecuación
(1)
Donde
n = Tamaño de la muestra
N = Tamaño de la población
p = Ocurrencia positiva %
q = Ocurrencia negativa % (1-p)
Z = Nivel de confianza
e = Error (100-Z)%
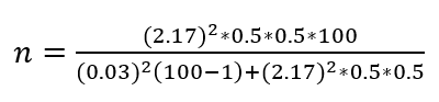
Aplicar la fórmula con
N = 100
Z = 97%=2.17
e = 100-97=3%=0.03
p = 0.5
q = 1-0.5=0.5
(2)
Redondeando el tamaño de la muestra es de 89 docentes.
Tabla 1.Criterios de selección de los informantes
| Criterios | Inclusión | Exclusión | Eliminación |
|---|---|---|---|
| Docentes | Maestros que faciliten la Primera unidad pedagógica correspondiente a Primero y Segundo grado de Educación Primaria | Maestros que no faciliten la Primera unidad pedagógica correspondiente a Primero y Segundo grado de Educación Primaria. | Maestros que no tienen participación en la aplicación de instrumentos, porque no se recibe la información adecuada al tema de investigación. |
Nota. Elaboración propia
Por otra parte, Cisneros-Caicedo et al. (2022) explican que el cuestionario es un método que consiste en un conjunto de preguntas sistemáticamente organizadas y diseñadas para evaluar o medir variables previamente definidas en la investigación, en coherencia con el planteamiento del problema. La metodología empleada combinó los enfoques inductivo y deductivo; la técnica utilizada fue la encuesta, mientras que el instrumento aplicado correspondió a un cuestionario tipo test semiestructurado, con ítems cerrados y puntuación predefinida.
Etapas de la investigación
Las etapas de investigación, según Bestard et al. (2011), son esenciales en todo proceso investigativo, ya que posibilitan la obtención de resultados favorables durante la realización de un estudio. En este sentido, se presentan las etapas de este trabajo investigativo:
Por otra parte, se plantean la siguiente hipótesis:
En este apartado se presenta el análisis exhaustivo y discusión de los resultados a lo largo del trabajo investigativo en función del objetivo propuesto, para los cual se aplicó un cuestionario tipo test semiestructurado, al que posteriormente se procedió a realizar el tratamiento correspondiente. Por otra parte, se contrastan los hallazgos obtenidos con los antecedentes y marco teórico, buscando validar o refutar la hipótesis. Además, hay que destacar el aporte de este estudio a la sociedad en general.
Figura 3. Procedimientos didácticos del método FAS

Figura 4. Objetivo de la etapa de aprestamiento

Con base en la aplicación de procedimientos didácticos que integran el método Fonético Analítico-Sintético (FAS), el 56% de los docentes eligieron la respuesta correcta: “Vocabulario, análisis y síntesis”. Esto confirma la importancia de que los docentes conozcan los componentes clave del método. Sin embargo, el 26% de los docentes eligió la respuesta relacionada con la adaptación del alumno al contexto escolar y el 19% señaló la opción relacionada con el control de la actividad muscular. Esto indica la necesidad de fortalecer la formación del profesorado para garantizar una comprensión uniforme de la metodología.
Además, el 67% de los docentes señaló el desarrollo de las habilidades de lectura y escritura como el principal objetivo de la etapa de preparación, lo que resalta la importancia del método FAS para el desarrollo de habilidades como la expresión oral, el control muscular, el desarrollo sensorial y las habilidades lógico-matemáticas. No obstante, el 26% eligió la opción de adaptación y el 7% eligió el desarrollo del control muscular, lo que indica una correlación insuficiente en la presentación de enfoques metodológicos.
Los resultados del estudio de Regalado (2021) coinciden con lo encontrado, ya que confirman que el método FAS es efectivo cuando hay docentes capacitados y recursos suficientes: el 85% de los estudiantes mejoró sus habilidades lectoras y el 70% mejoró sus habilidades de escritura. En teoría, esto fortalece la posición del método en la práctica educativa y en la práctica indica la necesidad de formar a los docentes y proporcionar a las escuelas recursos para la implementación uniforme del método.
Figura 5. Propósito fundamental de la presentación del fonema

En la etapa de adquisición, el 93 % de los docentes seleccionaron que el propósito fundamental de la presentación del fonema es la pronunciación y discriminación del sonido, destacando que este paso es fundamental como punto de partida para el proceso de lectoescritura durante toda la etapa de adquisición. En tanto, el 7 % de los docentes seleccionaron que el propósito fundamental de la presentación del fonema es el análisis del sonido y la letra.
El primer paso de la etapa de adquisición es la presentación del fonema donde el docente debe partir de una actividad lúdica, un canto, una adivinanza, una imagen, estableciendo una palabra generadora. Cabe destacar el principal objetivo de este primer paso es que el niño desarrolle la conciencia fonológica y logre discriminar cada uno de los sonidos.
Figura 6. Propósito de la presentación del grafema

El presente gráfico muestra que 52 % de docentes tienen un concepto errado del paso de la presentación del grafema, indicando que es la conciencia de la relación íntima sonido-letra. Por otro lado, el 30 % de docentes seleccionó de manera correcta la opción 2 que establece el conocimiento de la letra escrita y el 19 % seleccionó la opción tres Pronunciación y articulación del sonido, siendo una opción errónea. En resumen, la presentación del grafema en la etapa de adquisición refiere específicamente el conocimiento de letra escrita, tanto mayúscula y minúscula.
La correlación entre la etapa de adquisición y la necesidad de fortalecer estrategias pedagógicas enfocadas en la conciencia fonológica y el conocimiento del grafema, el 93 % de los docentes reconocen que la pronunciación y discriminación del sonido son fundamentales para iniciar el proceso de lectoescritura, destacando la importancia de actividades lúdicas como cantos o adivinanzas para estimular la conciencia fonológica.
Sin embargo, el 52 % mostró conceptos errados al relacionar el grafema únicamente con la conciencia de la relación sonido-letra, ignorando que su propósito principal es el conocimiento de la letra escrita.
Este desfase conceptual coincide con el estudio de Guaraca y Eraso (2022), donde se evidenció que los docentes no siempre implementan estrategias innovadoras para fomentar habilidades de lectura y escritura, resaltando la necesidad de incorporar métodos lúdicos que mejoren la motivación y el rendimiento académico de los estudiantes.
Figura 7. Aprendizaje de las vocales

El gráfico muestra que el 89 % de los docentes marcaron verdadero en el aprendizaje de las vocales, inicialmente se presentan las abiertas y posteriormente las cerradas, en cambio el 11 % considera que es falso. Cabe destacar, que la aseveración indica el excelente dominio del tratamiento de las vocales.
Figura 8. El pautado como instrumento de escritura

La figura detalla que el 93 % de docentes indican que es falsa la aseveración que el pautado es un instrumento para el desarrollo de la escritura en la letra de imprenta, en cambio solo el 7% refieren que es verdadero.
Es importante mencionar, que el pautado es un instrumento para el desarrollo de la escritura en letra cursiva y es necesario que los docentes estén convencidos de la importancia que los niños escriban con letra cursiva destacando beneficios en el desarrollo de habilidades cognitivas.
Figura 9. Letra cursiva

El gráfico expone que el 96 % de los docentes indican que es verdadera la aseveración que con el método FAS los niños escriben letra cursiva, en cambio el 4 % refieren que es falso. Por tanto, se muestra que aún no se tiene el 100 % de docentes convencidos de la importancia de escribir letra cursiva y de los beneficios cognitivos que se pueden desarrollar.
Los resultados del estudio muestran una conexión con el estudio de Gaitán Alvarado y Norori-Martínez (2018) al identificar brechas en la implementación del método FAS y darse cuenta de su importancia para el aprendizaje. Un alto porcentaje de docentes (89%) confirmaron la secuencia correcta de presentación de vocales (primero abiertas, luego cerradas), lo que indica su profunda comprensión del proceso de aprendizaje.
Sin embargo, las diferencias en las respuestas respecto al uso de líneas y la importancia de la escritura cursiva (el 93% reconoce los beneficios, pero no todos están convencidos) confirman la necesidad de formación adicional Gaitán Alvarado y Norori Martínez (2018) ponen de relieve la existencia de importantes lagunas en el uso del método FAS, que se reflejan también en los datos actuales: desconfianza hacia la escritura cursiva y desconocimiento de herramientas como la regla. Esto requiere la implementación de enfoques y estrategias funcionales para mejorar la calidad de la educación, lo que es consistente con los hallazgos del análisis anterior.
Figura 10. Primer paso de la etapa de adquisición

Los resultados del estudio resaltan la conexión con hallazgos anteriores e indican la necesidad de capacitación adicional de los docentes en el método FAS. Por ejemplo, el 81% de los docentes identifica correctamente que el primer paso de la fase de adquisición no está relacionado con la representación de letras, pero el 19% todavía confunde la representación de fonemas (sonidos) con la representación de grafemas (letras). En correspondencia con esto, Gaitán Alvarado y Norori Martínez (2018), destacan la necesidad de continuar fortaleciendo las capacidades, habilidades y compromiso de los docentes para la aplicación del método con calidad de aprendizajes para los estudiantes.
Figura 11. Consonantes que representan los sonidos del idioma

El gráfico muestra que el 89 % de los docentes consideran verdadero que las consonantes representan los sonidos del idioma y el 11 % indica que es falso. El dato refleja que la mayoría de los docentes (89 %) comprende correctamente que las consonantes representan sonidos en el idioma, lo cual es fundamental para el desarrollo de la conciencia fonológica en el proceso de lectoescritura. Sin embargo, el 11 %, que considera esta afirmación falsa, evidencia una brecha en su comprensión teórica, lo que puede afectar la enseñanza del método FAS. Esto subraya la necesidad de reforzar la formación docente en aspectos fonológicos básicos. En congruencia Guara y Erazo (2022) refiere que no hay un método mejor que otros, sin embargo, los maestros deben estar convencidos y comprometidos a dar lo mejor de sí mismo.
Figura 12. Lectura modelo

El 74 % de los docentes indican que es verdadera la aseveración “la lectura modelo corresponde a la etapa de adquisición”, en cambio el 26 % refiere que es verdadero. El resultado indica que hay docentes con algunas dificultades, que confunden algunas etapas, destacando que la lectura modelo se trabaja a partir de la etapa de afianzamiento.
Esto confirma los hallazgos de un estudio realizado por Gaitán Alvarado y Norori Martínez (2018), quienes afirman que existen lagunas en la comprensión de los pasos clave del método. De manera similar, el 74% de los docentes identifica correctamente la “lectura modelo” como perteneciente a la etapa de consolidación, pero el 26% la clasifica incorrectamente como perteneciente a la etapa de adquisición, lo que también indica confusión sobre la comprensión de la secuencia. Estos resultados indican la necesidad de fortalecer la formación metodológica de los docentes para mejorar su competencia y eficacia en el uso del método FAS.
Figura 13. Desarrollo de comprensión lectora

La mayoría de los docentes (96 %) reconoce que el método FAS es efectivo para desarrollar la comprensión lectora, lo que respalda su implementación como una herramienta clave en el proceso de alfabetización. Sin embargo, el 4 % que no lo considera así indica la existencia de una percepción limitada o dudas sobre su eficacia, lo que resalta la necesidad de capacitación adicional para garantizar una aplicación óptima del método.
Figura 14. Componedores para el desarrollo de habilidades de lectura

Los resultados muestran que el 96% de los docentes cree que el uso de componentes ayuda a desarrollar las habilidades lectoras, mientras que el 4% no está de acuerdo. Sin embargo, en San Juan del Río Coco, en el marco de la educación primaria regular, persisten problemas con las competencias científicas y metodológicas de los docentes. Esto indica la necesidad de mejorar las capacidades para abordar las brechas existentes.
De acuerdo con las recomendaciones del MINED, la prioridad es implementar métodos efectivos como el método FAS, que ha demostrado ser una herramienta efectiva para la enseñanza de la lectura y la escritura. De tal manera que, Regalado (2021) confirma que el método FAS mejora significativamente las habilidades lectoras en un 85% y las habilidades escritas en un 70% de los estudiantes cuando se dispone de profesores capacitados. De manera similar, un estudio de Guaraca y Erazo (2022), encontró que el uso de métodos innovadores y basados en el juego era clave para mejorar la motivación y el logro en el aprendizaje de la lectoescritura.
Figura 15. Indicadores que comprueban la hipótesis

El diagrama estadístico visualiza indicadores clave que confirman la hipótesis sobre la presencia de dificultades metodológicas entre el profesorado al implementar el método FAS (método Fonético-Analítico-Sintético).
Para comprobar la hipótesis de investigación, el gráfico analiza varias preguntas clave donde una proporción considerable de docentes evidencia errores conceptuales o dificultades que pueden interpretarse como manifestación de desafíos metodológicos.
Ejemplo 1: Pregunta sobre la presentación del grafema (figura 6)
Respuesta correcta: 30%
Respuestas erróneas: 70%
p = 0.70 (proporción de docentes con dificultades)
Contraste con la proporción esperada bajo Ho: po = 0.50 (hipótesis nula: no hay dificultades generalizadas)
Aplicando la fórmula de la prueba de una proporción:
(03)
Sumando la muestra n = 100 docentes
(04)
Valor z = 4.0
Nivel de significancia: α = 0.05
Z crítico (dos colas): ±1.96
Como z = 4.0 > 1.96, rechazamos H₀. Se confirma que hay una proporción significativamente alta de docentes con dificultades, respaldando la hipótesis de investigación.
Ejemplo 2: Confusión entre fonema y grafema
19% confunde fonema con grafema (respuesta errónea)
Aunque es una menor proporción, bajo un criterio pedagógico de alta exigencia (menos del 10% de error sería aceptable), al comprobar con la ecuación:
(04)
z = 3.0 > 1.96 → Rechazamos Ho. Se confirma que existe una proporción significativamente alta de error conceptual, lo cual evidencia una brecha de formación docente.
El análisis estadístico confirma la importancia de estas dificultades, especialmente en aspectos relacionados con la confusión entre fonema y grafema, la incomprensión de las etapas y el uso incorrecto de estrategias. En este sentido, se rechaza la hipótesis nula y se acepta la de investigación: los docentes de primaria en Nicaragua enfrentan desafíos metodológicos debido a la capacitación profesional insuficiente en el uso del método FAS.
Estos resultados coinciden con el estudio de Gaitán Alvarado y Norori Martínez (2018), donde resaltan la importancia de abordar las deficiencias en la implementación del método FAS para lograr los resultados educativos esperados. Estos datos indican la necesidad de una formación sistemática de los docentes para mejorar sus competencias, implementar enfoques innovadores y alcanzar los estándares establecidos por el MINED.
Los docentes enfrentan desafíos en la disponibilidad y mantenimiento de materiales como componedores colectivos e individuales, lo que afecta la implementación efectiva de las etapas de adquisición y afianzamiento del método FAS.
Existe una necesidad de fortalecer la aplicación de estrategias diferenciadas para atender a estudiantes con dificultades de aprendizaje, especialmente durante la etapa de aprestamiento y la etapa de afianzamiento, donde se requiere un enfoque más personalizado.
Aunque el MINED ha facilitado procesos de capacitación, algunos docentes presentan debilidades en la comprensión y aplicación rigurosa de los pasos del método FAS, lo que incluye aspectos como el uso efectivo de los componedores, los trazos correctos de la letra cursiva, la implementación de los planes orientados y el seguimiento de los indicadores de logro establecidos en el programa oficial.
Asimismo, es importante implementar y cumplir estrictamente los criterios de evaluación establecidos para cada área y garantizar que se realicen ejercicios adaptados al alumnado con necesidades educativas especiales. Al igual que el docente ejercite el método antes de facilitar los procesos de aprendizaje.
Por último, es recomendable el acompañamiento pedagógico y sesiones de clases abiertas con el fin de compartir experiencias entre docentes de primero y segundo grado donde se modele el método FAS, así como talleres de caligrafía para aplicar correctamente la letra cursiva y sus cualidades: inclinación, trazo y enlace.
Abreu , J. L. (abril de 2015). Análisis del Metódo de la Investigación. Daena: International Journal Of Good Consciencie(10), 205-214. doi:http://www.spentamexico.org/v10-n1/A14.10(1)205-214.pdf
Castrillón, J. C. (2021). Plantear y formular un problema de investigación: un ejercicio de razonamiento. Revista Lasallista de Investigación, 17(1), 301-313. doi:https://doi.org/10.22507/rli.v17n1a4
Cisnero Caicedo, A. J., Urdánigo Cedeño, J. J., Guevara García, A. F., & Garcés Bravo, J. E. (28 de enero de 2022). Tecnicas e Instrumentos para la Recoleccion de datos que apoyan a la Investigacion Cientifica en el Tiempo de Pandemia. Revista Cientifica Dominio de las Ciencias, 8(1), 1165-1185. doi:10.23857/dc.v8¡41.2546
Coronado, R. C. (2016). La importancia del lenguaje y el aprendizaje en el desarrollo del niño. Revista Educación (22), 54-58. doi:https://doi.org/10.33539/educacion.2016.n22.1147
Gaitán Alvarado, D., & Norori-Martínez, K. (2018). El proceso de enseñanza – aprendizaje de lectoescritura, con el método FAS. UNAN-Managua . https://repositorio.unan.edu.ni/id/eprint/8892/1/98387.pdf
Guaraca Campoverde, C. O., & Erazo Álvarez, J. C. (2022). Estrategias didácticas innovadoras para fortalecer la lectoescritura de niños con dificultades de aprendizaje en primaria. Revista Científica Dominio de las Ciencias, 8(3), 2460-2477. doi:http://dx.doi.org/10.23857/dc.v8i3
Huamán Rojas, J. A., Treviños Noa, L. L., & Medina Flores, W. A. (2022). Epistemología de las investigaciones cuantitativas y cualitativas. Horizonte de la Ciencia, 12(23), 27-47. https://www.redalyc.org/journal/5709/570971314003/html/
Manterola, C., Hernández, M., Otzen, T., & Espinosa, M. (2023). Estudios de Corte Transversal. Un Diseño de Investigación a Considerar en Ciencias Morfológicas. 41(1), 1-9. https://www.scielo.cl/scielo.php?script=sci_arttext&pid=S0717-95022023000100146
Ministerio de Educación (MINED). (2016). Cuadernillo Método Fónico, Analítico y Sintético.
Montero Padrón, M. (2012). La elaboración del marco teórico como proceso de teorización . Red de Revistas Científicas de America Latina, El Caribe, España y Portugal, 12(33), 1-15.
Monterola, C., Rivadeneira, J., Delgado, H., Sotelo, C., & Otzen, T. (2023). ¿Cuántos Tipos de Revisiones de la Literatura Existen? Enumeración, Descripción y Clasificación. Revisión Cualitativa. International Journal of Morphology, 41(4). doi:http://dx.doi.org/10.4067/S0717-95022023000401240
Nicaragua, M. d. (2024). Reforzamiento del método FAS Capacitación Intermedia . MINED-Nicaragua , Managua .
Otzen, T., & Manterola, C. (2017). Técnicas de Muestreo sobre una Población a Estudio. International Journal of Morphology, 35(1), 227-232. doi:http://dx.doi.org/10.4067/S0717-95022017000100037
Pérez, M., Ocampo, F., & Sannchez, K. (2015). Aplicación de la metodolgía para identificar las emociones. Revista Iberoamericana para la Investigación y el Desarrollo Educativo., 6(11).
Ramos, C. A. (2015). Los paradigmas de la Investigación Científica. Fonte: https://www.unife.edu.pe/publicaciones/revistas/psicologia/2015_1/Carlos_Ramos.pdf
Regalado-Rejano, N. (2021). Estudio de caso del Método Fónico Analítico y Sintético en la Lectoescritura. Universidad de México UNAM. https://ru.dgb.unam.mx/bitstream/20.500.14330/TES01000836157/3/0836157.pdf
Rugerio, J. P., & Guevara, Y. (2015). Alfabetización inicial y su desarrollo desde la educación infantil. Revisión del concepto e investigaciones aplicadas. Ocnos: Revista de Estudios sobre Lectura(13), 25-42.
Valle Taiman, A. (2022). La investigación Descriptiva des un enfoque cuantitativo . 1-57. https://files.pucp.education/facultad/educacion/wp-content/uploads/2022/04/28145648/GUIA-INVESTIGACION-DESCRIPTIVA-20221.pdf
Ventura-León, J. L. (2017). ¿Población o muestra?: Una diferencia necesaria. Revista Cubana de Salud Pública, 43(4). Acesso em 10 de Abril de 2024, disponível em http://scielo.sld.cu/scielo.php?pid=s0864-34662017000400014&script=sci_arttext&tlng=en
© 2025 Revista Científica Estelí.
Este trabajo está licenciado bajo una Licencia Internacional Creative Commons 4.0 Atribución-NoComercial-CompartirIgual.