Rigoberto Francisco Jarquín Matamoro
Docente Facultad Regional Multidisciplinaria, Matagalpa. UNAN-Managua/FAREM – Matagalpa, Nicaragua
https://orcid.org/0000-0002-8280-0823
rigoberto.jarquin@unan.edu.ni
18/05/2023
05/10/2023
El presente artículo aborda aspectos sobre la aplicación del diseño experimental cuadrado latino como herramienta estadística con el objetivo de analizar las diferencias significativas entre variedades de semilla del cultivo de arroz (Oryza Sativa) como ANAR-97, INTA dorado y la nueva variedad Línea 424 para épocas de cosecha de interciclo, es decir, ciclos cortos y rápidos, sin descuidar la obtención de resultados en cuanto a las variables de rendimiento. Ahora bien, el análisis de las variedades de semilla del cultivo de arroz mediante el diseño experimental cuadrado latino para la mejora del rendimiento productivo, se centró en un análisis completo de los cambios agronómicos en la preparación del suelo, siembra, aplicación de productos químicos y recolección de la semilla en grano de arroz en granza. Esto a través de una propuesta de mejora para ser validada por pruebas estadísticas multivariantes confiables como el análisis multivariado de la Varianza o Multivariate Analysis of Variance (MANOVA) y diseños experimentales como Diseño Cuadrado Latino (DCL) como un Análisis univariado de la Varianza o Analysis of Variance (ANOVA). El DCL fue útil para detectar y comprobar las diferencias significativas aceptables en el análisis de las variedades de semilla elegidas vs la semilla mejorada, proporcionando mejoras muy notorias en las variables de rendimiento especialmente un aumento del 15 % en rendimiento productivo de arroz en granza de 200 qq/mz en verano. Ahora bien, dentro de la metodología está el verificar diferencias entre varianza, conteniendo sus respectivos indicadores de los tratamientos en riego, dosis de los productos químicos y control de los parámetros de cosecha, además del método teórico, científico y experimental para sus validaciones y análisis, así como el uso del programa estadístico SPSS Y Microsoft Excel, dentro de los resultados satisfactorios en las pruebas de rango múltiple y sus variables de rendimiento, resultó un coeficiente de variación del 4 – 6% de aceptabilidad en los proceso agronómicos del cultivo usando estadística multivariante seleccionado la variedad de semilla Línea 424 como una de las más ideales para obtener cosechas rápidas en terrenos que tienen problemas con el arroz rojo.
Diseño experimental cuadrado latino; variables de rendimiento; arroz.
This article deals with aspects on the application of the Latin square experimental design as a statistical tool with the objective of analyzing the significant differences between seed varieties of rice (Oryza Sativa) such as ANAR-97, INTA dorado and the new variety Línea 424 for intercycle harvesting periods, that is, short and fast cycles, without neglecting the obtaining of results in terms of yield variables. Now, the analysis of the seed varieties of the rice crop through the Latin square experimental design for the improvement of the productive efficiency, focused on a complete analysis of the agronomic changes in the preparation of the soil, sowing, application of chemical products and harvesting of the seed in rice grain in granules. This through an improvement proposal to be validated by reliable multivariate statistical tests such as Multivariate Analysis of Variance (MANOVA) and experimental designs such as Latin Square Design (LSD) as a univariate Analysis of Variance (ANOVA). The LQD was useful to detect and check the acceptable significant differences in the analysis of the chosen seed varieties vs. the improved seed, providing very noticeable improvements in the yield variables, especially a 15% increase in productive efficiency of rice in grain of 200 qq/mz in summer. Now, within the methodology is to verify differences between variance, containing their respective indicators of irrigation treatments, doses of chemicals and control of harvest parameters, in addition to the theoretical, scientific and experimental method for validation and analysis, as well as the use of the statistical program SPSS and Microsoft Excel, within the satisfactory results in the multiple range tests and its yield variables, resulted in a coefficient of variation of 4 - 6% of acceptability in the agronomic processes of the crop using multivariate statistics selected the seed variety Line 424 as one of the most ideal to obtain fast harvests in lands that have problems with red rice.
Latin square experimental design; performance variables; rice.
El cultivo de arroz en Nicaragua, en los últimos años ha tenido una gran demanda en la población, siendo uno de los integrantes en la alimentación diaria, pero también uno de los cultivos que tiene mayor desarrollo económico, debido a que las condiciones climáticas, suelo y manejo son favorecedores para lograr el mismo. Es por ello que, resulta interesante establecer estudios que sitúen y propaguen mejoras a este cultivo. En el artículo se analizan algunas de las variedades de semilla del cultivo de arroz para valorar sus variables de rendimientos aplicando la herramienta estadística DCL para validar los cambios significativos al comparar con la nueva variedad de Línea 424. Esto, como una propuesta que en sus pruebas resultó con mayor desarrollo productivo para ciclos cortos, generando ganancias económicas.
Con base a lo anterior, los rendimientos productivos en los agricultores muy a menudo generan resultados muy poco satisfactorios para la obtención de ganancias que les permitan aumentar sus condiciones de vida y por ende, la posibilidad de crecimiento en la producción de este grano básico y sustentar la demanda del mercado. El obtener una buena cosecha garantiza al productor sustentar sus gastos invertidos, subsistencia de vida y mantener el trabajo para la próxima cosecha. Es por ello, que el analizar distintas variedades de semilla, ayuda a establecer la que es más factible de elegir para sembrar, tomando elementos importantes como: tiempo de desarrollo de la planta, resistencia a plagas y enfermedades, así como las condiciones climáticas favorables, el tipo de siembra y por supuesto la cantidad de producción al momento de efectuar la recolección.
Los diseños experimentales en la actualidad han sido muy útiles para llevar a cabo los procesos de prueba y de esa manera valorar significativamente resultados de mejora, logrando generar áreas de conocimientos e información en contextos de la Economía, Agronomía y demás.
De acuerdo con Vélez (2020):
El arroz (Oryza sativa) es una monocotiledónea perteneciente a la familia Poaceae o gramíneas, donde, la raíz de la planta es delgada, fibrosa; el tallo es de forma cilíndrica conformada de nudos, puede medir entre unos 60 y 120 cm; las hojas son alternas; las flores son de color verde y blanco puestas en conjunto como espigas pequeñas que forman una hoja grande entre todas. (p.15)
El cultivo de arroz ha tenido una gran demanda tanto nacional como internacional, por ser uno de los alimentos básicos dentro de las familias y que, su aumento en la producción, ha generado una amplia cobertura especialmente en Nicaragua, puesto se cultiva por diferentes métodos, variando desde mecanizado, manual y sistema por inundación constante, en el cual se utiliza en muchas ocasiones la preparación bajo agua o fangueo, utilizando maquinaria agrícola. La producción de arroz de riego por inundación, es frecuente en las zonas donde el terreno presta las condiciones de acuerdo a su composición del terreno, clima, demanda y movilización, esto se debe al monto de inversión y su capacidad de área a trabajar.
Son muchos los procesos a seguir para lograr una producción y un rendimiento óptimo que favorezca a los productores y estos se ven ligados a partir desde los ciclos o fechas de siembras a considerar según la época del año, invierno o verano, tales como:
Figura 1 Proceso del cultivo de arroz
Nota: Elaborado por el autor
Todo lo anterior se sitúa a que, el rendimiento abarca las salidas de la inversión y la calidad del producto final, en este caso a un valor numérico monetario y la producción de dicho cultivo dado en quintales por manzana o toneladas por hectáreas arroz en granza. Por consiguiente, en la mayoría de los casos la unidad de medida que se usa a nivel nacional es quintales por manzana(qq/mz) y a nivel internacional o de forma estándar toneladas por hectáreas(ton/ha) y kilogramos por hectáreas (kg/ha).
Es decisión del productor elegir la variedad de la semilla para el ciclo, esto enfocado a los recursos o financiamientos disponibles y a la efectividad del rendimiento productivo que tiene cada una de las variedades de la semilla. Ahora bien, para elegir un tipo de semilla, el productor hace un análisis desde las condiciones climáticas de su área, las fechas de siembra y cosecha de la variedad y que esta favorezca a las condiciones necesarias para su cosecha que oscilan en un periodo de 130 a 140 días de ciclo de desarrollo de la planta por completo.
Cada variedad de semilla tiene sus propias condiciones o productividad, según el mejoramiento genético que presente en la actualidad. Diversas instituciones como el Centro Experimental Taiwán – Nicaragua (TAINIC), Instituto Nicaragüense de Tecnología Agropecuaria (INTA), Formuladora Nicaragüense (FORMUNICA), empresa agropecuaria dedicada a la venta y comercialización de productos agroquímicos a nivel nacional y regional, y otras, trabajan en pro de mejorar los rendimientos productivos del cultivo de arroz. Esto, con el fin de favorecer a la calidad del producto para al consumidor y aumentar los rendimientos productivos económicos de los productores, puesto que este cultivo requiere de inversión para obtener un rendimiento satisfactorio. Entre las variedades de semilla más usadas en Nicaragua con sus generalidades en cuanto a las condiciones climáticas estudiadas por INTA (2019) están: “INTA dorado, INTA Chinandega; INTA N– 1, Oryzica Llano – 4, Arroz 5 y 2015, Taichung Sen 10, Palo 2, ANAR – 97, Línea 424 (la más actual)” (p. 10).
Las variedades anteriores de acuerdo con el INTA (2012), determina que:
Oscilan en rendimientos productivos entre 120 y 150 quintales por manzana(qq/mz) que son las unidades de medidas que se manejan en Nicaragua y a nivel estándar para el resto de los países correspondientes a quintales por hectáreas o toneladas por hectáreas en 171,42 y 214,58 quintales por hectáreas (qq / ha). (p.45)
Las variedades más usadas en el Valle de Sébaco suelen ser INTA dorado y ANAR 97, la primera por su nivel de macollamiento (modo de propagación vegetativa de la familia gramínea para para la producción de tallos secundarios para la formación de espigas donde se forman los granos del arroz y desarrollo; ANAR 97 e INTA Chinandega por su rápido desarrollo en cuanto a la madurez que se alcanza en un tiempo menor al estipulado, siendo ideal para los ciclos donde los productores tienen contratiempos y por efectos de invierno deciden acelerar su cosecha.
Por otra parte, la estadística desde años atrás se ha constituido como “una de las ramas importantes en la Matemática en cuanto al análisis y toma de decisiones en líneas de estudio de la vida como la Medicina, Psicología, Agropecuaria, Mercadeo, Geología, y desarrollo de la Tecnología que requieren de técnicas multivariadas” (Díaz, 2007, p.27). De acuerdo con lo expuesto anteriormente, la finalidad de resumir los datos de las observaciones de experimentos que buscan demostrar los autores, recaen en un sin número de planteamientos, conjeturas y propuestas de mejora que pueden ser comprobadas desde las perspectivas que pueda asumir o guiar el investigador como tal.
Los diseños experimentales constituyen una de las maneras prácticas para el análisis de resultados tras la aplicación de tratamientos a cultivos, comportamientos conductuales y demás. Según los autores Condo y Pazmiño (2015), definen que los diseños experimentales “son aquellos que se caracterizan por utilizar modelos matemáticos sencillos, los cuales permiten analizar de una forma fácil los resultados obtenidos en el campo experimental y comprobar la hipótesis alternativa que se plantea como solución a un determinado problema” (p. 7).
De acuerdo con el autor Pedroza (1993) define que “los diseños experimentales son procesos donde el investigador provoca artificialmente un fenómeno, con el fin de estudiar su esencia, causa, origen e interrelación con otros procesos ligados a la investigación” (p. 17). Esto concuerda que, los diseños experimentales son utilizados para encontrar relaciones directas con propuestas de mejora para aumentar la calidad de producción y suprimir los costos de inversión con las continuas comparaciones entre variedades.
Para la realización de los diseños experimentales se pueden plantear y analizar bajo los siguientes diseños como lo expresan Condo y Pazmiño (2015) “diseño completamente al azar, diseño de bloques completamente al azar y diseño de cuadrado latino” (p. 7).
Según Álvarez (2018) expresa que “los principios básicos de los diseños experimentales se basan en la repetición, aleatorización y control local” (p. 24). Lo anterior como puntos clave para poder empezar el estudio de una situación, especialmente en ramas de la ciencia donde la experimentación es la principal fuente de comparaciones y elaboración de conjeturas de mejora.
Es importante mencionar que para ejecutar cualquiera de los diseños mencionados anteriormente deben cumplir con los siguientes supuestos según expone Eizaguirre (2004) citado por Condo y Pazmiño (2015):
De acuerdo con Condo y Pazmiño (2015):
Es el diseño más simple y se aplica cuando las unidades experimentales son homogéneas y cuando la variación (CV) entre estas es mínima. Tal es el caso de experimentos de laboratorio, cámaras de crecimiento, invernadero, galpones, plantas de producción, cámaras de maduración, etc., en los que las condiciones ambientales sean controladas. Esta es una prueba con solo un criterio de clasificación equivalente a la prueba no pareada de T. (p. 7)
Es evidente que este tipo de diseño toma como base el azar para la aplicación de los tratamientos, por ende, seleccionar las muestras y realizar las distribuciones de las unidades experimentales de estudio, siendo ineficiente en campos abiertos agrícolas con material heterogéneo.
Es necesario mencionar que, el diseño completamente al azar (DCA) da la posibilidad de procesar los datos aun cuando el número de repeticiones sea diferente en un área experimental, ya que a veces se da el caso de que, por insuficiencia de material para todos los tratamientos o porque se han perdido unidades experimentales para ciertos tratamientos, no se dispone de igual número de observaciones por tratamiento. Esta es una de las ventajas para que se pueda analizar los datos directamente, sin tener que calcular parcelas pérdidas, y así generar un aprovechamiento del material experimental homogéneo.
Tabla 1 Modelo matemático para DCA
| Fuentes de variación | Grados de libertad (Gl) | Suma de cuadrados (SC) | Cuadrado medio (CM) | F cal | F tabla valor crítico |
|---|---|---|---|---|---|
| Total | n - 1 | ||||
| Tratamientos (trat) | t -1 | (Gltrat, Glerror, α) | |||
| Error experimental | (n-1)-(t-1) | ||||
| n: Número de observaciones t: Número de tratamientos r: Número de repeticiones |
|||||
Nota: Extraído de Condo y Pazmiño (2015)
En la tabla anterior, se visualiza las ecuaciones o expresiones matemáticas a seguir para realizar los distintos análisis estadísticos y poder encontrar el valor F calculado de los resultados finales y de esa manera realizar la comparación con el valor F crítico de acuerdo a la forma de búsqueda con grados de libertad obtenidos en los tratamientos, error experimental y significancia del 5 % del error, como valor estándar.
Diseño de bloques completos al azar (DBCA)
“El propósito fundamental de los DBCA es reducir, tanto como sea posible la heterogeneidad entre parcelas dentro de cada bloque, un bloque apropiado incrementa las diferencias entre bloques mientras entre las parcelas son más homogéneas entre sí” (Álvarez, 2018, p. 69).
Es evidente que la finalidad es establecer diferencias entre las unidades experimentales manteniendo en todo momento los contrastes entre los tratamientos, siempre y cuando compartan las mismas condiciones. En el caso del cultivo de arroz esto puede ser posible cuando están en un área determinada, en otras palabras, en distintas terrazas o hectáreas, pero se mantienen los manejos agronómicos y clima.
Las ventajas que genera este diseño, es el agrupamiento de las unidades experimentales en bloques puesto existirán variantes entre ellos, aumentando la precisión de los resultados, añadiendo que no existen restricciones de acuerdo a la cantidad de tratamientos que se aplicarán para realizar el análisis estadístico que resulta ser sencillo.
Tabla 2 Modelo matemático para DBCA
| Fuentes de variación | Grados de libertad (Gl) | Suma de cuadrados(SC) | Cuadrado medio (CM) | F cal | F tabla valor crítico |
|---|---|---|---|---|---|
Total |
rt - 1 |
|
|
||
Bloques |
r - 1 |
|
|
|
|
Tratamientos (trat) |
t -1 |
|
(Gltrat, Glerror, α) |
||
Error experimental |
(n-1) - |
|
|
|
|
n: Número de observaciones; t: Número de tratamientos; r: Número de repeticiones |
|||||
Nota: Extraído de Condo Plaza y Pazmiño Guadalupe (2015)
Diseño de cuadrado latino (DCL)
El diseño de cuadrado latino tiene la característica que se puede controlar la variabilidad en dos direcciones, es decir, filas y columnas, arreglándose de tal manera que los bloques de análisis van aplicándose los tratamientos una vez en cada uno.
Para Álvarez (2018) “las ventajas de usar este tipo de diseño es obtener resultados más precisos, permite la flexibilidad completa al usar cierto número de tratamientos y repeticiones y si algunos de los tratamientos se pierden, el análisis sigue siendo sencillo” (p. 71). Además, expresa que un diseño de 4 x 4 es uno de los más apropiados para valorar los tratamientos, dado que produce menos errores, es por ello que al aumentar el tamaño del bloque aumenta su error.
Tabla 3 ANOVA para diseño cuadrado latino (DCL)
| Fuentes de variación | Grados de libertad (Gl) | Suma de cuadrados(SC) | Cuadrado medio (CM) | F cal | F tabla valor crítico|
|---|---|---|---|---|---|
| Tratamientos (trat) | t -1 | (Gltrat, Glerror, α) | |||
| Columnas (col) | t -1 | ||||
| Filas (fil) | t -1 | ||||
| Error experimental | (t-1)(t-2) | ||||
| Total | t2 -1 |
Nota: Extraído de Gutiérrez (2016)
Con base a lo anterior, la distribución del diseño cuadrado latino es muy útil en los experimentos de campo, donde se experimentan fertilizantes, herbicidas e insecticidas, la distribución de la variación en dos sentidos perpendiculares. Sin embargo, cuando se tengan tres o cuatro tratamientos y sea conveniente usar cuadrado latino, deberá hacerse varios cuadros latinos simultáneamente para verificar las diferencias significativas entre procesos.
En consecuencia, el coeficiente de variación o variabilidad (CV) “es una medida relativa cuyo uso es cuantificar en términos porcentuales la variabilidad de las unidades experimentales tras la aplicación de tratamientos” (Mendoza Rivera, 2016, p.2) para el diseño de cuadrado latino este se calcula:
El resultado del CV genera las pautas para especificar el grado de significancia que tuvieron los datos en las comparaciones pertinentes para demostrar la aceptación o rechazo de las hipótesis estadísticas tras el análisis de varianza en DCL.
Es importante destacar, que el CV es un indicador de la calidad de los datos experimentales obtenidos y se refiere al porcentaje del error experimental que se obtuvo en el experimento como tal, que debería de acercarse a un 30%. Ahora bien, en estudios observaciones este podría ser mayor entre un 45 - 50 %.
Refiriéndose a la ecuación del CV que es la raíz cuadrada del CMerror en el numerador, dividido entre el promedio general del experimento o indicadores, claro está que se multiplica por 100, para poder expresar el mismo en porcentaje, con frecuencia se desconoce el significado y suele ser más fácil expresarlo en porcentaje para dar pro entendido la variabilidad total e los datos en la experimentación del trabajo de campo en este caso.
Para el cálculo de CMerror como lo expresa la tabla 3 que es igual a la división de SCerror con los grados de libertad (Gl), por lo que no son sinónimos y no se pueden calcular de la misma manera, retomando que CMerror es la varianza del error experimental, en cambio la SCerror solo es el numerador de la varianza del error, por lo que ambos matemáticamente cálculos diferentes.
De forma estadística usando el diseño experimental de cuadrado latino se analizan los cambios en el manejo agronómico como la preparación del suelo, tipo de siembra por inundación, aplicación de productores químicos, continuos drenajes en el cultivo y aprovechamiento de los días de desarrollo de las variedades de las semillas ANAR 97, INTA dorado y Línea 424. Se efectúan comparaciones entre grupos y variables que generaron cambios significativos en el cultivo de arroz evaluando los tratamientos aplicados en la época de siembra 2023 tiempo de verano. Ello, con la intención de demostrar que las variedades proporcionan elementos significativos en sus procesos y que por ende, al aplicarlos puede generar un rendimiento productivo satisfactorio, basándose según el autor en la práctica o aplicada. Las evaluaciones aplicadas para llegar a la significancia, surgen de las comparaciones del manejo agronómico, de lo tradicional vs mejoras realizadas, logrando establecer que pautas generan aumento en la producción.
La investigación tuvo un alcance transversal o transeccional abarcando un intervalo de tiempo definido en cuanto al ciclo productivo, es por ello que Hernández, Fernández y Baptista (2014) exponen que:
Los tipos de investigación explicativos atribuyen diferencias entre grupos causales con posibles diseños cuasi experimental, longitudinal, experimentos puros y transeccional causal cuando hay bases para inferir la causalidad, un mínimo de control y análisis estadísticos apropiados para relaciones causales de las variables. (p.196)
El contexto de la investigación se realizó en la cooperativa Omar Torrijos comunidad El Horno, en la Ciudad de Sébaco, Matagalpa (figura 2) que tiene aproximadamente 800 manzanas de terreno para siembra del cultivo de arroz, por lo que para experimentar y poner en marcha la comparación se visitó la cooperativa, explicando el objetivo de investigación. Algunos de los detalles de este apartado se expresan en las etapas de investigación.
Etapas de investigación
Para la realización de este estudio el autor realizó la recogida de información, análisis estadísticos y validación de propuesta de mejora con un ingeniero agrónomo que se tuvo como asesor para ver los cambios dentro de la propuesta, efectividad y correcta aplicación de los insumos, a lo que se realizó en distintas etapas como:
Etapa 1: Selección del problema de investigación. Nace desde la experiencia propia del investigador con conocimientos empíricos en la parte agronómica, siendo la familia agricultores de este tipo de cultivos. Posteriormente, relacionar esos conocimientos con la parte profesional obtenida del autor en Matemática y la Estadística multivariante aplicada, para analizar por qué en tantos años aun los agricultores siguen obteniendo rendimientos productivos bajos, ligados a la selección de la semilla, periodo de desarrollo de la planta al compaginar con los días efectivos de corte, como factor principal.
Etapa 2: Realización de entrevista diagnóstica. Esto fue necesario realizarse directamente al presidente de la cooperativa para detectar las variedades de semillas usadas por ellos, así como los procesos agronómicos que ejecutan para sus siembras, esta estuvo conformada con preguntas abiertas, tablas con valores específicos en cuanto a cantidad de insumos, frecuencias y producción anteriores, dificultades del porque bajos rendimientos y posibles soluciones.
Etapa 3: Selección de los cambios agronómicos, elaboración de la propuesta y solicitud de aprobación de aplicar experimentalmente. Lo anterior, con la finalidad de comparar los procesos de la cooperativa y variedades de semilla de la cooperativa con los planteados en la propuesta, realizando una previsión de los efectos positivos al usar la variedad Línea 424 y realizar los balances con sus variedades. Además, que dicha cooperativa ha sido el escenario de múltiples experimentos con otras instituciones, que han ayudado grandemente a mejorar sus procesos de labores diarios. Seguidamente se les presentó la propuesta de mejora, siendo analizada con los socios y aprobada a la brevedad.
Etapa 4: Ejecución del proceso con las variedades mencionadas. Dado que la investigación tuvo un análisis a detalle con meses de anticipación, el periodo de aplicación de la misma fue favorable a los tiempos planteados con la finalidad principal de evitar días con mucha lluvia como ejemplo mes de mayo, ya que esto afecta grandemente la obtención un buen rendimiento productivo al elevar su grado de humedad del grano, caída de la planta al suelo, desprendimiento de granos de la espiga, terrenos inundados y profundos afectando al corte con maquinaria agrícola.
Etapa 5: Análisis de los resultados. Cada etapa en los procesos agronómicos tras las comparaciones fue debidamente cotejada, aplicada y valorada de manera agronómica y estadística. Observando la efectividad de los cambios realizados validándose con DCL, MANOVA, uso de programas estadísticos como SPSS y Microsoft Excel.
Etapa 6: Presentación de los resultados a la cooperativa. Luego del proceso de comparar las variedades de semillas y la aplicación de las diferencias, se obtuvieron los resultados y se presentaron a la cooperativa, teniendo una gran aceptación por parte del presidente, validando de esa manera los procesos tras la confianza brindada al dar sus terrenos para la experimentación.
Se debe especificar, que se solicitó autorización para aplicar la propuesta de mejora y realizar el análisis multivariado. La cooperativa, en muchas ocasiones ha dejado que organizaciones realicen pruebas de mejora en sus cultivos como por ejemplo aplicación de productos como herbicidas, fungicidas y fertilizantes.
Esta propuesta fue analizada por el comité de socios, la cual una vez debatida pusieron a la disposición alrededor de ocho manzanas de terreno para realizar dicho estudio, siendo el equivalente al 1% del total. Todo ello, con el acuerdo de gestionar paralelamente las actividades agronómicas con la cooperativa, proporcionando los insumos necesarios para el desarrollo de la misma, a su vez el investigador en conjunto con un asesor agronómico gestionar únicamente el manejo agronómico y la movilización de la mano de obra.
Las 8 manzanas o 5,6 ha están ubicadas en la zona Este de la cooperativa, con acceso a riego de tipo superficial, usando para ello un motor de combustible Diesel, marca GreenTech Thermo king de 4 cilindros con niveles bajos en emisiones de gases y con un rendimiento elevado en su consumo y potencia, teniendo de implemento una bomba de propulsión de propela con diámetro 6 pulgadas. Este fue facilitado con el compromiso de demostrar cumplimiento, dedicación y mejora en los resultados productivos del cultivo de arroz.
Cabe resaltar que, se realizó un muestreo de las plantas por cada metro cuadrado en cada dos manzanas de terreno tanto, para la cooperativa como para la zona de estudio donde se analizó las variables de rendimiento usando el diseño experimental de cuadrado latino como: altura de la planta, peso de 1000 granos, longitud de la panícula, porcentaje de granos buenos y rendimiento productivo como variables de rendimiento.
Figura 2 Ubicación del área de estudio

Nota: Adaptado desde fotografía tomada por el autor desde Google maps.
Específicamente la ubicación del estudio respecto a su área presenta las divisiones de parcelas, o sea terrazas, acceso a una fuente de agua y con fácil camino para la recolección de la cosecha y traslado, situada en el km 97 a 21 minutos de la carretera panamericana Managua - Matagalpa o bien 9 km de la Ciudad de Sébaco.
Para la recogida de información pre, durante y pos cosecha, se realizó una entrevista semiestructurada al encargado de la cooperativa, en cuanto al manejo agronómico y toma de decisiones para el cultivo. En dicho encuentro se presentó un cuadro, llenándose con las actividades que se realizan en conjunto con las cantidades respecto a quintales de semilla, fechas posibles de siembra y cosecha, productos químicos, precio de compra de la granza, maquinaria agrícola de la mano con el pago de mano de obra que la cooperativa pone en práctica. Además de preguntas abiertas que dieron pautas para identificar las causas de los posibles bajos rendimientos en sus cultivos.
Cabe señalar que este instrumento ayudó a recopilar información de la cooperativa para luego realizar las comparaciones con los resultados que se obtuvieron. Seguidamente, una guía de observación al trabajo de campo, realizada por el autor para el cumplimiento de la aplicación de la propuesta y las evaluaciones agronómicas por parte del asesor adaptadas de CIAT (2005) del sistema de evaluación estándar para el arroz como referencia.
Es así como, de la guía de entrevista se obtuvieron los datos necesarios para realizar el análisis y de esa manera realizar los cambios en las variables al finalizar la propuesta en los meses correspondientes. De las evaluaciones agronómicas se tomaron las decisiones pertinentes según se ameritaba, estas se aplicaron al menos tres veces en toda la época según el cronograma de actividades y de manera conjunta con la guía de observación.
Según Ortiz (2012) los métodos de análisis de datos “sirven de sustento para la fundamentación científica de los temas de investigación, así como para el descubrimiento de nuevos conocimientos, a partir de la obtención de datos y hechos originales y su correspondiente interpretación” (p. 2). Se puede añadir que el método teórico - científico se utiliza con frecuencia y de forma reiterada desde la elaboración del diseño investigativo, estudio del estado del arte sobre el problema, interpretación de los datos, análisis de resultados y las correspondientes conclusiones y recomendaciones.
Se utilizó el método teórico - científico a partir de la búsqueda de antecedentes, fundamentación teórica, realización de análisis, síntesis, deducción, inducción, comparación, analogía, triangulación de información con los datos de la entrevista, evaluación agronómica y propuesta de mejora, todos inmersos en el proceso para el análisis de los resultados.
Los datos obtenidos de la entrevista semi estructurada se trabajaron y se colocaron en una tabla de triple entrada, creada en Microsoft Excel para su respectiva comparación, con la finalidad de poder trabajarlo consecutivamente con el programa estadístico SPPS. Ahora bien, la guía de observación fue incluida únicamente con las evaluaciones agronómicas en el momento de ejecución en el trabajo de campo para velar por el cumplimiento de la propuesta de forma cualitativa como por ejemplo el clima, mano de obra, retrasos en disponibilidad de químicos y maquinaria que son ajenas a la propuesta.
Teniendo en cuenta todo lo anterior, se procedió a realizar el análisis estadístico con los datos, valorando la significancia al obtener un rendimiento productivo satisfactorio y por ende, datos del diseño experimental de cuadrado latino para el análisis de las variables de rendimiento, proporcionando las observaciones finales en cuanto a la viabilidad de cuál de las variedades de semilla es la más productiva.
Como material genético de semilla para la aplicación del mismo se usaron las variedades ANAR 97, INTA dorado y la variedad línea 424 como variedad de estudio para experimentar la rapidez de su ciclo de siembra y cosecha, en términos sencillos, una variedad rápida para cosechar. A este diseño se aplicó el método inductivo - deductivo para el razonamiento de la experimentación y evaluación agronómica en algunos procesos según se estimó conveniente en su momento de aplicación.
Para este estudio se utilizó el diseño de cuadrado latino (DCL), donde Gutiérrez Liñán (2016) explica que:
Este diseño se utiliza para conducir experimentos en condiciones heterogéneas donde las propiedades cambian en dos direcciones como ocurre en la toma de muestras para análisis de laboratorio, en el cual las condiciones cambian entre planta y planta (una dirección) y de hoja a hoja por tamaño o posición en la misma planta (otra dirección) Los cuadros latinos pueden ser útiles en situaciones en la que los renglones y las columnas representan los factores que el experimentador en realidad quiere estudiar y en las que no hay restricciones sobre la aleatorización. (p. 11)
Para el diseño de cuadrado latino se utilizaron bloques de factores, las variables de rendimiento en un estudio y en otro se usó bloques de parcelas para los tratamientos que fueron las combinaciones en el cual se aplicaron los distintos tratamientos con el objetivo de evaluar a manera de controles las variables del proceso de siembra y cosecha resumidos al final de cada ciclo para colocarse en la tabla de triple entrada de las comparaciones.
Se asignaron cuadros latinos (parcelas) aleatoriamente luego las filas y columnas de forma aleatoria que en el campo se señalaron de estructura cuadrada con estacas tipo bandera para su identificación y al final se asignaron los factores a observar usando una permutación sin repetición. Sin lugar a duda cada una de las condiciones mencionadas tuvo las mismas cantidades de factores, filas y columnas, como el de la tabla 4, indicando lo que se trabajó con las variables de rendimientos y la comparación de la cooperativa con la propuesta.
Tabla 4 Modelo de diseño cuadrado latino de ubicación de los factores
| 1 | 2 | 3 | 4 | |
|---|---|---|---|---|
| 1 | A | D | B | C |
| 2 | D | C | A | B |
| 3 | C | B | D | A |
| 4 | B | A | C | D |
Nota: Extraído de Gutiérrez Liñan (2016).
Para la comprobación de lo anterior, se aplicó pruebas estadísticas de análisis de varianza (ANOVA) que permitieron encontrar los valores medios de las variables, suma de cuadrados de los tratamientos, filas, columnas y del error experimental producido por cambios en las variables para analizar la significancia respecto a la prueba de hipótesis del diseño experimental y coeficiente de variación.
Características tomadas para el sitio experimental
En el manejo del ensayo experimental se tomaron los procesos descritos en la propuesta de mejora, en cuanto a la preparación del suelo, riego, aplicación de químicos y cosecha.
El tratamiento testigo se tomó como referencia para poderse comparar y aplicar como una caracterización principal en toda investigación de este tipo. Cabe señalar que el diseño de cuadrado latino puede aplicarse a la agronomía cumpliendo con los principios básicos de un diseño experimental como: Repetición, aleatorización y control local, adaptado
Al final cuando se plasmó la tabla de combinaciones, se realizó el análisis estadístico siguiendo el modelo que expone Gutiérrez Liñán (2016):
; Donde Yijk = Son las observaciones obtenidas la j-ésima vez que se repite el experimento, con el tratamiento i-ésimo. µ = media general; Ti = Efecto del tratamiento i; Cj = Efecto de la columna j; Hk: Efecto de la Hilera K; Ԑijk = Efecto del error experimental que se presenta al efectuar la j-ésima observación del i-ésimo tratamiento. (p. 16)
Este modelo fue planteado para realizar el análisis experimental de los valores usando el diseño cuadrado latino, ligados directamente a las variables de rendimiento. Por lo tanto, se tomaron al azar plantas dentro de las unidades experimentales con el peso de 1000 granos, altura de la planta, porcentaje de granos buenos, longitud de la panoja y rendimiento de cosecha. Esta información se trabajó con ayuda de Microsoft Excel, luego se analizó con el programa estadístico SPSS para el análisis y así valorar la significatividad de los resultados de las tablas como también los respectivos gráficos, que permitieron observar la dispersión de los datos en cómo se asemejan y diferencian entre sí; de la misma manera la prueba de hipótesis alternativa o nula y del cual se realizó juicio de aceptación o rechazo al contrastar con las diferencias de los resultados obtenidos.
Para el diseño de cuadrado latino se establecieron las divisiones de parcelas dentro del terreno, con la finalidad de obtener la media aritmética a las variables de rendimiento como los siguientes indicadores de la altura de la planta, longitud de la panoja, peso de 1000 granos, porcentaje de granos buenos; es por ello que a partir de los datos encontrados se crearon las tablas donde se colocaron los resultados del trabajo de campo.
Cabe señalar que, al ejecutar este análisis se realizó la comparación de los resultados obtenidos, de manera paralela, esto según sus tiempos, por consiguiente, cada uno aplicando sus procesos agronómicos debidos, es decir, que para esto se realizó el contraste únicamente con los resultados de las épocas de verano 2023, distribuyéndose de la siguiente manera:
Las pruebas A el tratamiento testigo, la prueba B fueron los datos obtenidos de la variedad ANAR – 97, la prueba C la variedad INTA dorado y la prueba D la variedad línea 424, previamente estipulados y marcados para sus estudios, recordando que para la aplicación de los mismos se tomaron en cuenta los supuestos:
La siguiente tabla 5 muestra los datos del cómo se realizó la distribución de los valores obtenidos del trabajo de campo y de igual manera para las variables de rendimiento como demostración de su aplicación para las demás, usando el programa de Microsoft Excel para los cálculos. Asimismo, las hipótesis para este diseño fueron:
Ho: Todos los procesos agronómicos produjeron el mismo efecto en la variable de rendimiento.
Ha: Para al menos un i; i = 1, 2, …, t de los procesos agronómicos produjeron efectos distintos.
Tabla 5 Variable de rendimiento peso de 1000 granos
| Divisiones | 1 | 2 | 3 | 4 | ||||
|---|---|---|---|---|---|---|---|---|
| 1 | A | 33 | D | 31 | B | 38 | C | 35 |
| 2 | D | 36 | C | 32 | A | 39 | B | 33 |
| 3 | C | 37 | B | 37 | D | 39 | A | 37 |
| 4 | B | 35 | A | 30 | C | 36 | D | 32 |
Nota: Extraído de datos obtenidos del trabajo de campo
La tabla 5 mostró los resultados obtenidos al realizar las muestras según las parcelas distribuidas en el terreno en estudio, para hacer las comparaciones y estudiar si existieron diferencias significativas. Ahora bien, se realizó este diseño experimental de cuadrado latino estadístico para las variables de rendimiento, pero solo se demostró el paso a paso para el peso de 1000 granos dado que todas tuvieron el mismo procedimiento y sus resultados resumidos se colocaron en el apartado variables de rendimiento abordado posteriormente en la tabla 11.
Figura 3 Distribución de las unidades experimentales

Nota: Adaptado y realizado según los resultados obtenidos en el trabajo de campo.
De hecho, que los resultados se anotaron y luego se realizó la combinación de los mismos, sin perder el objetivo del diseño experimental para el análisis estadístico. Para obtener los resultados, las unidades experimentales se tomaron de acuerdo a lo bloques establecidos de 1 m2 por manzana, estos fueron elegidos al azar, al igual que la selección de las plantas para realizar el desgrane de la espiga, contar los granos y realizar su peso en una balanza analítica graduada en gramos. Una vez realizadas las mediciones se fueron colocando dichos valores en las tablas del diseño cuadrado latino, tanto para la cooperativa y lo obtenido en la propuesta de mejora, tomando como referencia al análisis estadístico una significación del 95% de confianza.
No obstante, se realizaron repetidas mediciones para obtener un resultado aproximado y poder colocarlo como dato para las tablas y evitar a la medida de lo posible errores en las mediciones.
Tabla 6 Ordenamiento auxiliar para el total y media de restricciones
| Parcelas | Total peso Yk | Media peso |
|---|---|---|
| Testigo (A) | 139 | 34,75 |
| ANAR - 97 (B) | 143 | 35,75 |
| INTA dorado (C) | 140 | 35 |
| Línea 424 (D) | 138 | 34,5 |
| Total | 560 | 140,0 |
| Promedio A y B | 35,3 | |
| Promedio C y D | 34,8 | |
| Media Global | 35 | |
| SC trats | 3,5 | |
Nota: Datos obtenidos del trabajo de campo y resultados usando Microsoft Excel
En la tabla anterior se realizó los cálculos debidos y se mostraron según las parcelas elegidas, en la columna total peso se sumaron los valores de acuerdo a las unidades experimentales A, B, C y D, posteriormente la media de los valores, de ahí se obtuvieron los datos promedios según en el trabajo de campo realizado para las demás variables de rendimiento.
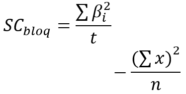
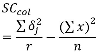
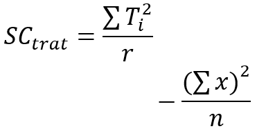
La suma de cuadrados de tratamientos (SC Trats) se calculó elevando al cuadrado cada total de los pesos para luego ser dividido por la cantidad de divisiones de parcelas que fueron 4 realizando la diferencia de este cálculo con el total al cuadrado de la misma dividiéndose por el total de datos el cual fue 161 generando un valor de 35 g2 como un ordenamiento auxiliar que permitió realizar los demás cálculos y generar el modelo estadístico.
Tabla 7 Resumen de resultados en la suma de cuadrados de medias
| Peso 1000 granos (gramos) | ||||||||||
|---|---|---|---|---|---|---|---|---|---|---|
| Divisiones | 1 | 2 | 3 | 4 | Yj | |||||
| 1 | A | 33 | D | 31 | B | 38 | C | 35 | 137 | |
| 2 | D | 36 | C | 32 | A | 39 | B | 33 | 140 | |
| 3 | C | 37 | B | 37 | D | 39 | A | 37 | 150 | |
| 4 | B | 35 | A | 30 | C | 36 | D | 32 | 133 | |
| Yi | 141 | 130 | 152 | 137 | 560 | |||||
| SCFilas | 39,5 | |||||||||
| SCColumnas | 63,5 | |||||||||
| SCTotal | 122,0 | |||||||||
| SCError | 15,5 | |||||||||
Nota: Datos obtenidos del trabajo de campo y resultados usando Microsoft Excel
Al observar la tabla anterior los valores Yj y Yi son las sumatorias por fila y columna para realizar el cálculo de la suma de cuadrados de filas (SC Filas) y suma de cuadrados por columna (SC Columnas) elevando al cuadrado cada valor y dividir entre 4 con la diferencia del total, tal como se hizo para la tabla 6. Los datos anteriores fueron utilizados para analizar la varianza del peso de 1000 granos, generando las conclusiones estadísticas de que los procesos agronómicos de cada variedad tienen diferencias significativas y realizar la prueba de hipótesis al comparar con los valores estándares de la distribución F.
Tabla 8 Resumen del análisis de varianza
| Fuentes de variación | Grados de libertad | Suma de cuadrados | Cuadrados medios | Valor de F | F crítica (3, 6, 0,05) |
|---|---|---|---|---|---|
| Variedades | 3 | 3,5 | 1,167 | 0,452 | 4,76 |
| Filas | 3 | 39,5 | |||
| Comunas | 3 | 63,5 | |||
| Error experimental | 6 | 15,5 | 2,58 | ||
| Total | 15 | 122 | |||
| CV | 4,59 |
Nota: Datos obtenidos del trabajo de campo y resultados usando Microsoft Excel
De acuerdo a la tabla 8 de resumen, se colocaron los valores obtenidos de lo calculado anteriormente y para los valores de procesos, filas y columnas existieron 3 grados de libertad, para un total de 15 surgiendo un error experimental de 6, que es resultado de la diferencia de los grados de libertad total menos la suma de los valores de procesos, filas y columnas.
El valor F obtenido de los valores dio como resultado 0,452 esto fue comparado con el valor F crítico que resultó 4,76 aproximadamente, valor que se encuentra en la tabla de distribución F estadística en la ubicación (3, 6, 0,05), referenciando a 3 grados de libertad del numerador, 6 grados de libertad del denominador y 0,05 de significancia obteniéndose un valor de F crítico 4,76 según la tabla.
Con base a lo anterior, se expresa que si el valor F es mayor al valor F critico los valores tienen diferencias significativas en sus resultados, por lo que los datos experimentales tuvieron el mismo resultado y de mejora, comprobándose así con un coeficiente de variación2 (CV) del 4,59 % de significancia, porcentaje que es aceptable y que en las estimaciones obtenidas para las demás variables resultaron en cuanto a la longitud de la espiga 4,70%, altura de la planta 5,06 % y porcentaje de granos buenos o llenos un 3,85%; siendo todos ellos significantes ante las diferencias entre los procesos agronómicos para el cultivo de arroz.
Análisis de la prueba de rango múltiple de S.N.K
Para la prueba de rango múltiple se pueden tomar los valores usados en DCL usando las generalidades del diseño de cuadrado latino, entre ellas el cálculo del error estándar de la media, usando el CMerror = 2,58 de la tabla 22 con r = 4, generando:
Lo anterior indica que la desviación de las medias respecto al peso de 1000 granos.
Luego de calcular Sy se crea una tabla por separado para determinar los valores tabulares Tukey3 (q) para comparaciones múltiples, estos se encontraron buscando los valores críticos de las tablas constantes para las diferentes medias involucradas en las comparaciones:
Tabla 9 Determinación de valores críticos SNK de las medias
| "P" | 2 | 3 | 4 |
|---|---|---|---|
| q(5%) y gl = 6 | 3,46 | 4,34 | 4,90 |
| Sy | 0,803 | 0,803 | 0,803 |
| Wp (5%) | 2,780 | 3,487 | 3,937 |
Nota: Datos obtenidos del trabajo de campo y resultados usando Microsoft Excel
El valor p se retoma desde 2, 3, 4, …, n según lo planteado por el diseño, el cual se encontró que los valores críticos fueron encontrados con el 5% de significancia 6 grados de libertad para el cálculo del producto valor “q” con Sy obteniéndose Wp, que es el valor crítico de S.N.K., o la diferencia mínima significativa según el criterio que establece S.N.K.
Como siguiente paso se realizó un ordenamiento de las medias de tratamientos de mayor a menor en una tabla de doble entrada y de esa manera determinar las diferencias de medias, según el criterio de S.N.K de rangos múltiples, como lo demuestra la siguiente tabla:
Tabla 10 Ordenamiento de las medias de los tratamientos.
| Categoría estadística | Ordenamiento | C | A | D | B | Wp |
|---|---|---|---|---|---|---|
| Medias | 38 | 35,25 | 34,25 | 32,5 | ||
| c | 38 | 0 | 2,75 | 3,75 | 5,5 | 3,937 |
| A | 35,25 | 0 | 1 | 2,75 | 3,487 | |
| D | 34,25 | 0 | 1,75 | 2,780 | ||
| B | 32,5 | 0 |
Nota: Datos obtenidos del trabajo de campo y resultados usando Microsoft Excel
Con base a los resultados de la tabla anterior la prueba de rangos múltiples de S.N.K. realizada con α = 5 % indica que el conjunto de tratamientos comparados se agrupa en varias categorías estadísticas respectos a los grupos, es decir, que existen diferencias estadísticas entre las variedades comparadas al ser contrastadas en sus indicadores y su rendimiento productivo, por ende, las variedades comparadas muestran diferencias específicas entre sí. Lo anterior se puede deducir que los valores Wp de la tabla 10 son menores a los comparadores de Tukey, entonces se deduce que se trata de promedios diferentes, por lo tanto, existen diferencias significativas.
Variables de rendimiento
Los resultados que se presentan en la tabla 11 surgieron del trabajo de campo en la época de verano 2023 tomando muestras de las parcelas seleccionadas para la cooperativa y propuesta, dado que los valores en las instituciones estaban dados en el marco teórico del estudio, es así como las variables de rendimiento se derivaron al realizar el diseño de cuadrado latino con los valores promedios y aproximados de sus datos.
Tabla 11 Resultados finales de las variables de rendimiento de las variedades
| Grupo y/o variables | Época | Verano | |
|---|---|---|---|
| Variables de rendimiento | Cantidad | ||
| Instituciones (ANAR – 97) |
1 | Altura de la planta (cm) | 95 |
| 1 | Rendimiento productivo(qq/mz) | 120 | |
| 1 | Longitud de la panícula (cm) | 23 | |
| 1 | Porcentaje granos buenos (%) | 76 | |
| 1 | Peso de 1000 granos en gramos | 32 | |
| Cooperativa (INTA dorado) |
2 | Altura de la planta (cm) | 107 |
| 2 | Rendimiento productivo (qq/mz) | 171 | |
| 2 | Longitud de la panícula (cm) | 33 | |
| 2 | Porcentaje granos buenos | 77 | |
| 2 | Peso de 1000 granos | 33 | |
| Experimento (Línea 424) |
3 | Altura de la planta (cm) | 109 |
| 3 | Rendimiento productivo (qq/mz) | 200 | |
| 3 | Longitud de la panícula (cm) | 33 | |
| 3 | Porcentaje granos buenos | 85 | |
| 3 | Peso de 1000 granos | 34 | |
Nota: Datos obtenidos del trabajo de campo y resultados usando Microsoft Excel
Al observar los valores respecto a experimento realizado y las demás, es notorio que existen diferencias significativas en las variables de rendimiento, Cabe señalar que la cooperativa realiza un plan de trabajo por lotes designando fechas establecidas para la aplicación o tratamientos lo que conlleva a tener un control de sus procesos, pero descuidando una parte fundamental, la evaluación en el trabajo de campo. De igual manera, la importancia de realizar análisis estadísticos ayuda a prever que procesos agronómicos fueron los más eficientes para obtener un rendimiento aceptable, llevar el control de ello genera que en las próximas cosechas se tomen en cuenta lo que se realizó incorrectamente, además, sin descuidar la parte contable que sería la vía para prestar atención al costo - beneficio.
Gráfico 1 Variables de rendimiento

Nota: Datos obtenidos del trabajo de campo y resultados usando Microsoft Excel
El gráfico 1, evidencia que lo realizado con la variedad experimental de línea 424, tras las comparaciones con las demás variedades, resultando que los cambios agronómicos realizados fueron significativos para que la planta tuviera un buen desarrollo, esto comprobándose estadísticamente con el coeficiente de variación siendo aceptable, hablando numéricamente de los procesos en los que se realizó la comparación cuantitativa, además del rendimiento productivo fue satisfactorio.
Cabe señalar que el productor elige su variedad de semilla de acuerdo a sus propios parámetros como estabilidad económica, existencia de semilla en el mercado, experiencia en la siembra, condiciones y ubicación geográfica del terreno y la rapidez en que desea obtener su cosecha, en palabras sencillas si está a tiempo de sembrar o tiene retraso para evitar que los días lluviosos coincidan con el tiempo de corte, dado que este factor climático afecta en gran manera a la humedad del grano, condiciones del terreno y el uso de la maquinaria agrícola.
El diseño experimental de cuadrado latino permitió eficazmente analizar y validar los procesos diferenciados que existieron entre cada variedad de semilla como punto clave para estudiar que la variedad Línea 424 presenta mejoras muy significativas en sus resultados como una de las mejores en cuanto a desarrollo rápido para la cosecha y obtener rendimientos productivos satisfactorios superando en un 15% a las prácticas habituales.
El diseño de cuadrado latino como herramienta estadística desde el análisis ANOVA facilitó las condiciones necesarias para establecer y comparar los valores en el trabajo de campo obteniendo un coeficiente de variación en las variables de rendimiento entre el 4 – 6% de aceptabilidad, siendo este valor muy significativo para cada una de las diferencias entre los valores obtenidos con repetición en las variedades, aprovechando los días efectivos de sol, distribución de actividades agronómicas y la buena toma de decisiones.
Dentro de los cambios agronómicos para la obtención del buen rendimiento productivo se establecieron el tipo de preparación de suelo por fangueo y no por preparación en seco, el tipo de siembra la voleo, y no mecanizada teniendo un máximo aprovechamiento del área del terreno y por supuesto la distancia entre plantas, el número de riegos y drenajes dando a la planta que absorba la cantidad necesaria y el suelo experimente una aireación natural.
El análisis de variedades de semillas usando el diseño de cuadrado latino, genera una pauta importante para establecer que aspectos mejora una con la otra en las mismas condiciones ambientales y agronómicas, detectando que si los cambios que se realizaron presentan resultados con significancia y que por ende, la mejora es retribuida con los rendimientos productivos, señalando que si alguna práctica agronómica o variedad sometida genera un aumento en la producción, esta es favorable de usar para elevar las ganancias económicas. Los diseños experimentales como DCL respaldan estadísticamente a los rendimientos validando que las decisiones que se tomaron si son confiables y seguras.
Para futuros estudios que involucren analizar el proceso agronómico del cultivo de arroz usando estadística multivariante se recomienda revisar y retomar sus manejos agronómicos y el uso de la variedad de semilla Línea 424 como una forma de obtener cosechas rápidas en terrenos que tienen problemas con el arroz rojo.
Valorar la eficacia de los productos químicos aplicados en el cultivo y cómo pueden intervenir al usar otro de variedad de semilla y como continuidad de investigación al realizar el análisis de la relación costo - beneficio desde la perspectiva contable y entrelazar con la estadística multivariante.
A otros autores o investigadores interesados en esta línea de investigación a realizar el análisis multivariante usando la preparación del suelo con siembra mecanizada por sistema de riego de tipo por inundación y secano.
Álvarez Amador, C. (2018). Manual de diseños experimentales. Nueva Guinea: Universidad de las Regiones Autónomas de la Costa Caribe, URACCAN - sede Nueva Guinea.
Centro Internacional de Agricultura Tropical(CIAT). (2005). Morfología de la planta de Arroz: Guía de estudio. Cali, Palmira, Colombia.
Condo Plaza, L. A., & Pazmiño Guadalupe, J. M. (2015). Diseño experimental en el desarrollo del conocimiento científico de las ciencias agropecuarias (Vol. 2). Riobamba, Ecuador: Instituto de investigaciones, Aval ESPOCH.
Díaz Monroy, L. (2007). Estadística multivariada:inferencia y métodos (2a ed.). Colombia: Facultad de Ciencias, departamento de Estadística.
Instituto Nicaragüense de Tecnología Agropecuaria (INTA). (2012). Guía tecnológica Cultivo de Arroz. Managua. Nicaragua. Recuperado el 16 de Octubre de 2021
Instituto Nicaraguense de Tecnología Agropecuaria(INTA). (2019). INTA DORADO en centro experimental TAINIC Sébaco. Matagalpa, Nicaragua. Recuperado el 14 de Octubre de 2021
Mendoza Rivera, H. (2016). Diseño Experimental. UNAL, Cursos de ciencias. Obtenido de http://red.unal.edu.co/cursos/ciencias/2000352/html/un1/cont_118-18.html
Pedroza, H. (1993). Fundamentación de experimentación agrícola. Managua, Nicaragua: Editora de Arte.
Vélez Barrera, S. (2020). Análisis costo beneficio de la siembra de arroz por trasplante vs. siembra directa . Recuperado el 14 de Octubre de 2021
1 Puede verse que este valor proviene de la tabla 7, siendo el número total de observaciones.
2 Este valor se calculó extrayendo raíz cuadrada de los cuadrados medios 2, 58 (ver tabla 8) dividido entre la media global 35 (ver tabla 6).
3 El método de Tukey se utiliza en ANOVA para crear intervalos de confianza para todas las diferencias en parejas entre las medias de los niveles de los factores mientras controla la tasa de error por familia en un nivel especificado.
© 2023 Revista Científica de FAREM-Estelí.
Este trabajo está licenciado bajo una Licencia Internacional Creative Commons 4.0 Atribución-NoComercial-CompartirIgual.