Watson Steven Pérez
Facultad de Ciencias e Ingeniería, Universidad Nacional Autónoma de Nicaragua, Managua, UNAN-Managua, Nicaragua
https://orcid.org/0000-0001-5605-0873
wperez9911@gmail.com
Héctor Mayorga Pauth
Facultad de Ciencias e Ingeniería, Universidad Nacional Autónoma de Nicaragua, Managua, UNAN-Managua, Nicaragua
https://orcid.org/0000-0001-5615-7419
hectormayorga87@hotmail.com
03/03/2023
27/06/2023
Se evaluaron los resultados de la simulación hidráulica 1D de un canal natural de corta longitud, obtenida a partir del uso del Modelo Digital de Elevaciones (MDE) ALOS PALSAR como fuente de información topográfica. Se desarrolló una simulación del área estudio empleando un MDE confeccionado por medio de levantamiento topográfico con estación total, a partir de puntos geodésicos debidamente georreferenciados en el área de estudio; esta se consideró como la referencia para evaluar la simulación que emplea datos ALOS PALSAR. Para la obtención del caudal de diseño, se llevó a cabo una simulación hidrológica de la microcuenca con drenaje hacia el inicio del tramo del canal modelo. Se simuló la hidráulica del canal considerando la información del levantamiento topográfico como referencia, y contrastándola con la simulación obtenida a partir del sensor remoto. Los resultados obtenidos de las métricas estadísticas de NSE y RSME muestran que la utilización del MDE ALOS PALSAR para la simulación hidráulica del canal en estudio, genera variaciones significativas respecto a los resultados que se obtiene al emplear un MDE obtenido por una técnica de mayor precisión, como el relevamiento de campo con estación topográfica, lo cual indica que este modelo del terreno no es recomendable de utilizar cuando se requieren resultados de alta precisión en escenarios a gran escala.
Simulación hidráulica; ALOS PALSAR; canal natural.
The results of the 1D hydraulic simulation of a short natural channel, obtained from the use of the ALOS PALSAR Digital Elevation Model (DEM) as a source of topographic information, were evaluated. A simulation of the study area was developed using a DEM made by means of a topographic survey with a total station, from geodetic points properly georeferenced in the study area; this was considered as the reference to evaluate the simulation using ALOS PALSAR data. To obtain the design flow, a hydrological simulation of the microbasin with drainage towards the beginning of the model channel section was carried out. The channel hydraulics were simulated considering the information from the topographic survey as a reference, and contrasting it with the simulation obtained from the remote sensor. The results obtained from the NSE and RSME statistical metrics show that the use of the ALOS PALSAR DEM for the hydraulic simulation of the channel under study, generates significant variations with respect to the results obtained when using a DEM obtained by a higher precision technique, such as the field survey with a topographic station, which indicates that this terrain model is not advisable to use when high precision results are required in large scale scenarios.
Hydraulic simulation; ALOS PALSAR; natural channel.
Los trabajos de modelación y simulación hidráulica en Nicaragua se han realizado principalmente, con el objetivo de evaluar desde el punto de vista hidrotécnico, obras civiles e hidráulicas como sistemas de drenaje pluvial y puentes. No se han encontrado referencias en el país, acerca de estudios que tengan por objetivo, la evaluación de los resultados de simulación hidráulica a partir de fuentes directas e indirectas de información topográfica, en estudios de zonas con amenaza potencial de inundación, particularmente en escenarios a gran escala o canales de pequeñas dimensiones. Uno de los desafíos principales al llevar a cabo una simulación hidráulica es la escasez de datos topográficos confiables que sean adecuados para una evaluación preliminar cuando se requiere realizar modificaciones o evaluar riesgos de inundaciones. En este sentido, la información recopilada a través de sensores remotos resulta particularmente de interés evaluarla para tal fin.
Entre las investigaciones realizadas con objetivos como lo antes mencionados, se encuentra el trabajo de Bello & Huete (2013), quienes realizaron la modelación de la red de drenaje pluvial de la subcuenca III de la cuenca sur de la ciudad de Managua, determinando caudales máximos asociados a periodos de retorno de 5 y 10 años, modelando de igual forma los caudales producidos por los huracanes Juana, César y Mitch.
Otro trabajo de referencia es el realizado por Hernández & Rivas (2017), quienes llevaron a cabo una evaluación hidrotécnica para un periodo de retorno de 100 años del puente Boaquito, en el Departamento de Boaco. En este estudio se concluyó que, este no tiene capacidad hidráulica para el caudal proyectado (1506.8 m3/s) en el estudio hidrológico.
Por el contrario, en el contexto internacional se han realizado muchos trabajos donde se han evaluado la influencia de diversas fuentes de información topográfica en los resultados de simulación hidráulica. Una investigación de referencia es la realizada por Md Ali et al. (2015), quienes consideraron como área de estudio un tramo de 30 km del rio Johor, en el estado de Johor, Malaysia. En su trabajo los investigadores evaluaron la influencia de la información topográfica en la modelación hidráulica, para lo cual se utilizaron modelos digitales de elevación obtenidos mediante la técnica LIDAR (con resolución espacial de un 1 m), datos procedentes del ASTER (30 m), SRTM (90 m), y un DEM (20 m) generado a partir de cartografía a escala 1: 25,000.
Los investigadores concluyeron que en términos de elevación y teniendo como referencia puntos de GPS aleatoriamente distribuidos en el área de estudio, el MDE obtenido mediante la técnica LIDAR y sus modelos remuestreados, obtienen los valores más bajos de raíz del error cuadrático medio (RSME), a diferencia de los MDE obtenidos de ASTER, SRTM y el obtenido del mapa a escala 1:25000.
Por su parte Vergara (2016), realizó una comparación de las áreas de inundación generadas a través de la simulación hidráulica mediante el uso de diferentes fuentes de información topográfica, dos correspondientes a datos de levantamiento topográfico de campo, y dos que corresponden a los MDE de ASTER y SRTM. El área de estudio comprendió un tramo de 1,5 kilómetros del rio Ñuble, perteneciente a la cuenca hidrográfica del río Itata, en la región de Ñuble, Chile. Teniendo como referencia los resultados obtenidos a partir del uso del MDE generado a partir de topografía de campo realizado a través de las secciones transversales del tramo de análisis, se concluyó que el modelo ASTER generó una incerteza del 68%, siendo el MDE que generó mayor variación en los resultados de modelación hidráulica, respecto a los datos de referencia.
Otras investigaciones se han enfocado en la mejora de los datos de elevación procedentes de los MDEs, tal es el caso del trabajo de Bhuyian et al. (2014), quienes presentaron una metodología para corregir los datos de elevación de un modelo con una resolución de 10 m. La investigación se realizó en el río Cumberland, cerca de Nashville en Tennessee, Estados Unidos.
Para unos de los eventos simulados y partiendo del evento de inundación observado, se encontró que el MDE corregido y el MDE sin corregir ofrecieron una subestimación del área de inundación en un 2.66% y 13.38% respectivamente, lo que demostró la eficiencia en la mejora del modelo de elevación y consecuentemente la precisión en la simulación hidráulica haciendo uso del MDE corregido.
Por otra parte, Monge y Mueses (2013) en su investigación compararon los resultados del cálculo de niveles de inundación, a partir de un MDE de 30 metros de resolución, y datos de elevación generados a partir de trabajo de campo, en un estudio hidrológico e hidráulico existente de un canal natural del Municipio de Rincón en Puerto Rico. En los resultados de la evaluación se encontraron diferencias de hasta 1.80 metros entre los tirantes hidráulicos calculados haciendo uso del MDE en evaluación, y los resultados registrados en el estudio existente, generando un margen de error de 5-10% en el perfil de inundación del canal en análisis. Los investigadores concluyeron que un MDE de 30 metros de resolución es insuficiente para la realización del tipo de análisis hidráulico, por no proporcionar valores precisos de elevación.
Hallazgos de Cook y Marwade (2009), valoraron la influencia de la precisión de la información topográfica, la descripción geométrica y el enfoque de modelado, en la delimitación de áreas de inundación. El estudio se realizó considerando dos tramos de ríos distintos con desiguales configuraciones topográficas, geomórficas y climáticas; Strouds Creek en Carolina del Norte, y Rio Brazos en Texas, ambos en Estados Unidos. Para los dos escenarios se utilizaron diversos modelos digitales de elevación con diferente resolución espacial y exactitud vertical, desde modelos tipo LIDAR con resolución de 3 m (Rio Brazos) a 6 m (Strouds Creek), hasta modelos digitales de elevación de 10 a 30 m. Los investigadores concluyeron que el área de inundación decrece con una mayor resolución espacial y exactitud vertical de la información topográfica, además, que en el modelado 1D, la incorporación de un número alto de secciones transversales genera un área mayor de inundación.
Otros trabajos han tenido por objeto la comparación de simulaciones hidráulicas 1D y 1D/2D empleando datos topográficos de alta precisión, como lo es el estudio de caso de Vozinaki et al. (2016), quienes en su investigación simularon la hidráulica de un tramo con longitud de 3.5 km de rio aguas abajo en la cuenca Koiliaris, Grecia. Los investigadores encontraron que tanto las simulaciones 1D y 1D/2D, ofrecen resultados bastante precisos cuando se usa información topográfica de alta resolución, pero que la simulación 1D/2D tiene mejor rendimiento.
Todos los trabajos anteriormente mencionados, tienen la particularidad de haberse realizado en varios kilómetros de ríos con secciones transversales de longitud considerable, empleando modelos del terreno de alta resolución hasta modelos de baja resolución espacial, incluido el MDE ALOS PALSAR.
En este trabajo se tiene un área de estudio inferior a 1 km y se evalúan los resultados de simulación de hidráulica que se obtienen de la utilización de este último como fuente de información topográfica, ya que este cuenta con una mejor resolución espacial (12.5 m) respecto a otros modelos del terreno como ASTER (30 m) y SRTM (90 m). El objetivo es evaluar los resultados de simulación hidráulica que se obtienen al emplear el MDE ALOS PALSAR como fuente de información topográfica, en un escenario en el cual este modelo del terreno proyecta una buena representación de la configuración topográfica del terreno, como es el caso del área de estudio considerada en este trabajo.
Debido a que en el presente trabajo se consideran variables de tipo cualitativa y cuantitativa, y que no existen referencias a nivel nacional respecto a la evaluación de simulaciones hidráulicas que emplean información topográfica derivada de fuentes indirectas, este tiene un enfoque mixto y un alcance exploratorio.
Área de estudio
Se delimitó una microcuenca a partir de la ubicación del área de estudio, la cual corresponde al sector oeste de la comunidad La Borgoña en el Municipio de Ticuantepe, Departamento de Managua. La microcuenca delimitada (la cual se ha nombrado como microcuenca del cauce La Borgoña, con área total de 62.04 km2) se ubica en la parte superior de la subcuenca III de Managua, la cual es una Unidad Hidrográfica ubicada en el nivel 7 (UH-9529134) según la metodología Pfafstetter. En la figura 1 se muestra la microcuenca delimitada a partir de la sección inicial del canal natural tomado como área de estudio.

Figura 1. Microcuenca del Cauce La Borgoña
Específicamente, se consideró un tramo de 740 metros (ver figura 2) que comprende un área habitada y caracterizada como una zona con moderado nivel de amenaza a inundación de acuerdo al mapa de amenaza presentado en el Plan Municipal de Ordenamiento y Desarrollo Territorial 2012-2022 (FUNDAR, 2013).

Figura 2. Tramo de canal natural tomado como área de estudio
Simulación hidrológica
Se realizó una simulación hidrológica de la microcuenca delimitada con el objetivo de obtener un caudal asociado a un período de retorno de 25 años para ser empleado en la simulación hidráulica tanto de referencia, como la simulación a ser evaluada. Para tal efecto se empleó el sistema de cómputo HEC-HMS V.4.2, recurriendo dentro de dicho sistema al modelo del hidrograma unitario del Servicio de Conservación de Suelos de Estados Unidos (U.S. SCS), hoy Servicio de Conservación de Recursos Naturales (U.S. NRCS), para la transformación de lluvia de diseño en escorrentía, y el modelo del Número de Curva (CN) del SCS, como modelo de cálculo de abstracciones.
Enrutamiento hidrológico o tránsito de avenidas
La microcuenca fue divida en 9 unidades de drenaje, de manera que se obtuviera un caudal total en el punto de cierre o encauzamiento aplicando enrutamiento hidrológico, utilizando en este estudio el método de Muskingum, donde el parámetro K se estimó con base en el tiempo de concentración de cada unidad de drenaje y la longitud de su cauce principal respectivo; y el parámetro X se ha considerado en 0.2 para todas las unidades de drenaje, debido a falta de información, a como sugiere Aparicio (1992). Los puntos considerados para el enrutamiento se muestran en la figura 3 y los parámetros estimados se muestran en la tabla 1.

Figura 3. Puntos considerados para el enrutamiento hidrológico
Tabla 1. Datos para el modelo de enrutamiento hidrológico
| Tramo | Tránsito | Velocidad de entrada (m/min) | Longitud del tránsito (m) | K (min) | K (HR) | X |
|---|---|---|---|---|---|---|
| 1 | J1 - J4 | 303.20 | 6976.49 | 23.01 | 0.38 | 0.20 |
| 2 | J2 - J4 | 377.50 | 2450.1 | 6.49 | 0.11 | 0.20 |
| 3 | J3 - J4 | 368.90 | 492.52 | 1.34 | 0.02 | 0.20 |
| 4 | J4 - PC | 353.35 | 3835.65 | 10.85 | 0.18 | 0.20 |
| 5 | J5 - PC | 269.24 | 443.01 | 1.65 | 0.03 | 0.20 |
| 6 | J6 - PC | 300.73 | 739.35 | 2.46 | 0.04 | 0.20 |
Estimación de los parámetros del modelo de cálculo de abstracciones
Para cada una de estas unidades se estimó un valor de número de curva considerando condiciones normales de humedad antecedente (CN AMC II); para ello se empleó la información de usos y textura del suelo del área estudio, la cual se obtuvo de los mapas confeccionados en el año 2015 por el Instituto Nicaragüense de Estudios Territoriales (INETER). Las clases texturales del suelo que existen en la microcuenca son franco arenoso y franco, correspondientes a los grupos hidrológicos de suelo A y B respectivamente según NRCS (2009), mientras que el uso del suelo predominante es el cultivo permanente (ver figura 4). A través del procesamiento de datos de uso y tipos de suelo la microcuenca se estimó para cada unidad de drenaje un valor de Número de Curva (ver la tabla 2).
Figura 4. Uso y textura de suelos en la microcuenca
Tabla 2. Numero de Curva estimado en cada unidad de drenaje
| Unidad de drenaje | Área (Km²) | CN (AMC II) |
|---|---|---|
| SC1 | 10.84 | 61.31 |
| SC2 | 3.24 | 62.4 |
| SC3 | 3.76 | 60.16 |
| SC4 | 3.31 | 73.28 |
| SC5 | 8.81 | 77.27 |
| SC6 | 11.16 | 75.34 |
| SC7 | 8.85 | 71.63 |
| SC8 | 6.32 | 70.41 |
| SC9 | 5.75 | 77.57 |
Confección de la tormenta de diseño
En lo que respecta a la tormenta de diseño, se confeccionó un hietograma con duración total de 24 horas para la Estación Ticuantepe (690124) asociado a un período de retorno de 25 años, basado en la lectura de la banda pluviográfica de la Estación Masaya (690115) para el evento ocurrido entre el 22 y 23 de octubre del año 1988. Ambas estaciones son administradas por el Instituto Nicaragüense de Estudios Territoriales (INETER).
Este procedimiento se realizó debido a que la Estación Ticuantepe no cuenta con registro pluviográfico y se observa una correlación significativa entre ambas estaciones para el mes de octubre del año 1988 (ver figura 5), por lo cual se infiere que el comportamiento de la tormenta que se pudiese haber observado en la Estación Ticuantepe, es similar a la tormenta observada en la Estación Masaya. En la figura 5 se muestra el grado de correlación lineal de las precipitaciones entre ambas estaciones para el mes de octubre del año 1988.
Posteriormente, se confeccionó una serie de precipitaciones diarias máximas anuales de la Estación Ticuantepe comprendida entre el período de años 1984 – 2019, y se ajustó a diferentes funciones de distribución de probabilidad, encontrando el mejor ajuste a la función LogGumbel, (ver tabla 3), determinando a través de esta función la magnitud de la precipitación para un período de retorno de 25 años, obteniendo una altura de precipitación de 190.09 mm.
Figura 5. Grado de correlación entre estaciones para el mes de octubre de 1988
Tabla 3. Ajuste de la serie de precipitaciones diarias máximas anual de la estación Ticuantepe
| Función de distribución de probabilidad | Precipitación Máxima TR = 25 Años (mm) | Nivel de significancia | ∆ teórico | ∆ tabular |
|---|---|---|---|---|
| Normal | 165.1 | 0.05 | 0.2069 | 0.2483 |
| LogNormal 2 Parámetros | 170.72 | 0.05 | 0.1589 | 0.2483 |
| LogNormal 3 Parámetros | 177.56 | 0.05 | 0.1274 | 0.2483 |
| Gamma 2 Parámetros | 166.41 | 0.05 | 0.1788 | 0.2483 |
| Gamma 3 Parámetros | 178.13 | 0.05 | 0.15897 | 0.2483 |
| LogPearson Tipo III | 184.41 | 0.05 | 0.1288 | 0.2483 |
| Gumbel | 176.6 | 0.05 | 0.1526 | 0.2483 |
| LogGumbel | 190.09 | 0.05 | 0.1133 | 0.2483 |
Para la verificación del ajuste se consideró el método de Kolmogorov – Smirnov, el cual establece que, si ∆ teórico < ∆ tabular, el ajuste es satisfactorio para el nivel de significancia considerado. A como puede observarse en la tabla 3, la serie analizada se ajusta a todas las funciones consideradas, no obstante, como el delta teórico de la función LogGumbel es el más alejado del delta tabular, se verifica que esta es la función a la que los datos mejor se ajustan.
La precipitación estimada mediante el análisis estadístico anteriormente descrito, fue discretizada en bloques de 10 minutos y duración total de 24 horas, basado en el comportamiento observado del hietograma de la estación Masaya para el evento histórico considerado (ver figura 6).

Figura 6. Hietograma generado en la estación Ticuantepe para un TR de 25 años, basado en el hietograma observado en la estación Masaya
Simulación hidráulica
La simulación hidráulica se dividió en dos etapas. En la primera se obtuvieron los resultados de la simulación de referencia, y la segunda los resultados de simulación evaluados; en ambas simulaciones el caudal diseño es el caudal máximo proyectado en la simulación hidrológica.
Tanto en la simulación hidráulica de referencia como en la simulación evaluada, se empleó el sistema HEC-RAS V.5.0.7 en 1D y bajo una condición de flujo permanente, de manera que los resultados fuesen observables a través de secciones transversales del canal modelado. En este estudio fueron consideradas 37 secciones transversales separadas a una distancia de 20 metros. Estas secciones se generaron tanto con el MDE generado mediante datos de levantamiento topográfico, como el MDE derivado de los datos ALOS PALSAR.
Las variables consideradas para la evaluación fueron el tirante hidráulico y la velocidad del flujo, datos que fueron obtenidos en cada sección trasversal del modelo unidimensional del canal en ambas simulaciones hidráulicas, y como condiciones de frontera se establecieron las pendientes observadas en cada MDE, aguas arriba y aguas abajo del canal.
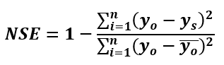
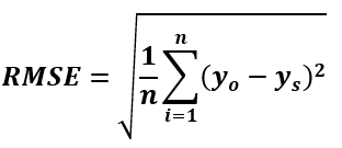
Para evaluar los resultados de simulación derivados del uso de datos ALOS PALSAR como fuente de información topográfica teniendo como referencia los datos derivados en la simulación donde se empleó el MDE de levantamiento topográfico, se emplearon las funciones objetivo “Nash-Sutcliffe” (NSE) y el “Root Mean Square Error” (RSME).
Donde : es el valor de tirante hidráulico observado o de referencia para una sección transversal, : es el valor de tirante hidráulico obtenido en la simulación para la misma sección transversal, : es la media de los tirantes observados o de referencia de todas las secciones transversales del canal, y : es el número total de secciones. Si el resultado de este coeficiente es próximo a 1, se dice que los resultados de la simulación se ajustan a los resultados observados o de referencia.
El RSME evalúa el error de los datos simulados respecto a los datos observados o de referencia, y su cálculo se realiza a como sigue:
Las variables de esta ecuación fueron definidas en el párrafo anterior y un valor próximo a cero indica un error mínimo y un ajuste satisfactorio de los resultados de modelación respecto a los datos observados o de referencia.
Simulación hidrológica
Los resultados de simulación hidrológica se obtuvieron asumiendo que la tormenta de diseño precipita de manera uniforme en toda el área de la microcuenca, y que las condiciones de humedad antecedente en el suelo son normales, es decir, no existe una condición de saturación.
Se determinó el caudal aportado por cada unidad de drenaje, y se estimó la atenuación del caudal para las unidades de drenaje consideradas en el enrutamiento hidrológico (ver tabla 4). Como resultado, para la tormenta de diseño asociada al período de retorno de 25 años en la estación Ticuantepe, se obtuvo un caudal máximo de 446.8 m3/s en el punto de encauzamiento de la microcuenca; el cual es resultado de sumar los caudales aportados por las unidades de drenaje SC1, SC3 y los hidrogramas transitados en los tramos 4, 5 y 6 (ver tabla 5 y figura 7).
Tabla 4. Caudales estimados en la unidades de drenaje de la microcuenca
| Unidad de drenaje | Volumen de precipitación (mm) | Abstracciones (mm) | Volumen de exceso (mm) | Caudal (m³/s) |
|---|---|---|---|---|
| SC1 | 190.09 | 111.63 | 78.46 | 70.70 |
| SC2 | 190.09 | 108.71 | 81.38 | 22.90 |
| SC3 | 190.09 | 114.70 | 75.39 | 24.60 |
| SC4 | 190.09 | 78.67 | 111.42 | 31.50 |
| SC5 | 190.09 | 67.32 | 122.77 | 95.00 |
| SC6 | 190.09 | 72.83 | 117.26 | 100.60 |
| SC7 | 190.09 | 83.32 | 106.77 | 73.90 |
| SC8 | 190.09 | 86.73 | 103.36 | 50.70 |
| SC9 | 190.09 | 66.46 | 123.63 | 64.10 |
Tabla 5. Resultados obtenidos en el enrutamiento hidrológico
| Tramo | Tránsito | Volumen de entrada (mm) | Caudal de entrada (m³/s) | Caudal de salida (m³/s) |
|---|---|---|---|---|
| 1 | J1 - J4 | 123.63 | 64.10 | 57.40 |
| 2 | J2 - J4 | 106.77 | 73.90 | 72.60 |
| 3 | J3 - J4 | 122.77 | 95.00 | 94.60 |
| 4 | J4 - PC | 114.93 | 340.00 | 335.40 |
| 5 | J5 - PC | 81.38 | 22.90 | 22.90 |
| 6 | J6 - PC | 111.42 | 31.50 | 31.00 |

Figura 7. Hidrograma en el punto de encauzamiento de la microcuenca
Obsérvese en la figura 7, que el hidrograma con más aproximación al hidrograma generado en el punto de encauzamiento (curva color rojo), es el hidrograma aportado por el tramo 4 (curva color azul). Esto se debe a que este tramo confluye los enrutamientos de los hidrogramas generados en las unidades de drenaje SC-5, SC-7 y SC-9. Los demás hidrogramas observados en la figura 7 (hidrogramas SC1, SC-3, tramo 6 y tramo 5) son aportaciones unitarias directas al punto de encauzamiento de la microcuenca.
Simulación hidráulica
Los coeficientes de Manning considerados para los márgenes del canal, se encontraron entre 0.035 y 0.040, mientras que para el eje o centro de cauce se especificó un coeficiente de 0.050. Estos coeficientes fueron considerados tanto en la simulación de referencia, como la simulación a ser evaluada.
Empleando el MDE generado por levantamiento topográfico y considerando una distancia entre dos secciones igual a 200 metros, tanto aguas arriba como aguas abajo, se estimaron pendientes de 0.01425 m/m y 0.01465 m/m respectivamente, las cuales fueron consideradas como condiciones de frontera en la simulación hidráulica de referencia. Al calcular estas pendientes empleando la información topográfica derivada de ALOS PALSAR, se calcularon pendientes de 0.0825 m/m y 0.0009 m/m, aguas arriba y aguas abajo respectivamente, que también fueron consideradas como condiciones de frontera.
Al realizar la simulación hidráulica 1D del tramo en estudio empleando el MDE ALOS PALSAR para una condición de flujo permanente y caudal de 446.8 m3/s, se obtuvieron diferencias en los tirantes y velocidades de flujo respecto a los resultados obtenidos en la simulación hidráulica de referencia.
En lo que respecta a los tirantes, se encontró una diferencia máxima de 3.79 m y una mínima de -2.04 metros. Esto indica a como es de esperarse, que el comportamiento de los tirantes hidráulicos como resultados de la simulación son dependientes de la información topográfica empleada en el área de estudio, y que la representación del terreno por parte del MDE ALOS PALSAR es insuficiente para obtener resultados de simulación hidráulica aproximados a los derivados de la simulación hidráulica de referencia.
En lo que respecta a las velocidades de flujo, la diferencia máxima observada es de 4.72 m/s y la mínima de -2.22 m/s. Los resultados de la simulación que considera los datos ALOS PALSAR difiere totalmente de los resultados obtenidos en la simulación hidráulica de referencia, puesto que se observa en general una subestimación de las velocidades. Desde el punto de vista hidráulico se conoce que la velocidad en un canal incrementa o desciende conforme al grado de inclinación del terreno, lo que también confirma la insuficiencia del MDE ALOS PALSAR para representar la configuración topográfica del canal en estudio, ya que, en la simulación de referencia, donde se emplea un MDE de mayor precisión, se obtiene velocidades mayores que pueden atribuirse a las pendientes pronunciadas observadas en el canal.

Figura 8. (a) Tirantes hidráulicos en simulación de referencia. (b) Simulación empleando el MDE ALOS PALSAR
A como se observa en la figura 8, la distribución de las profundidades de flujo obtenidas en la simulación que emplea el MDE ALOS PALSAR, difieren por mucho respecto a las obtenidas en la simulación hidráulica de referencia. Notese en la figura 8b, una proyeccion de tirantes hidraulicos de mayor profunidad aguas abajo del canal, lo que difiere de la simulación de referencia, donde se observa una distribución de profunidades de flujo cuasi uniforme tanto de forma transversal, como a lo largo del perfil longltudinal (figura 8a).
Al calcular el NSE y RSME considerando los tirantes simulados, se obtuvieron valores de -3.38 y 1.65 respectivamente, lo que evidencia la discrepancia entre los resultados obtenidos al emplear el MDE ALOS PALSAR, respecto a la simulación de referencia. Al considerar las velocidades de flujo, se obtuvo un NSE de -4.21 y un RSME de 2.71; la variación en la velocidades de flujo en perfil longitudinal del canal pueden observarse en la figura 9. Según lo establecido por Moriassi et al. (2007) la evaluación de los resultados del modelo sería insatisfactoria bajo las circunstancias simuladas a partir de las métricas estadísticas consideradas.
Respecto a la extensión del área de inundación, visualmente se puede observar que existe una pequeña similitud, no obstante, aguas arriba del canal, la huella de inundación generada con el MDE ALOS PALSAR se ve desplazada hacia el oeste, lo que no es coincidente con la simulación hidráulica de referencia, evidenciando de otra manera, las limitaciones de este modelo del terreno para ser considerado como recurso de información topográfica en análisis de inundabilidad de pequeños canales.

Figura 9. Perfil de velocidades obtenidos en las simulaciones hidraúlicas
En el estudio realizado, se observó una similitud en extensión de área o huella de inundación respecto a la simulación de referencia. No obstante, existen diferencias significativas en lo que respecta a los tirantes y las velocidades de flujo, los cuales son las variables hidráulicas de mayor importancia en la caracterización de amenazas por inundación y el diseño de obras de ingeniería. Esto es apreciable gráficamente en la huella de inundación derivada del uso de los datos ALOS PALSAR y las estimaciones de las métricas estadísticas NSE y RSME, lo cual refleja la baja capacidad que tiene este modelo del terreno para obtener resultados precisos en escenarios a gran escala o bien, canales con pequeñas dimensiones.
Se concluye que, dada las condiciones topográficas del área de estudio considerada en este trabajo, el MDE ALOS PALSAR, como fuente de información altimétrica para la realización de simulaciones hidráulicas, ofrece resultados con muy poca precisión. Esto sugiere que, dicho modelo del terreno no es funcional para la realización de simulaciones hidráulicas en escenarios a gran escala y en donde se requiere resultados con alta precisión, como lo podría ser, el estudio de amenaza por inundación en una pequeña comunidad o el diseño de obras hidráulicas; sin embargo, si podría considerarse su uso para la realización de estudios o anteproyectos en un escenario con mayor extensión territorial con una debida calibración y validación de una simulación.
Aparicio Mijares, F.J. (1992). Fundamentos de hidrología de superficie. Editorial Limusa, S.A. de C.V. Grupo Noriega Editores
ASF DAAC. (2015). Radiometrically Terrain Corrected ALOS PALSAR products, product Guide. Retrieved from https://asf.alaska.edu/wp-content/uploads/2019/03/rtc_product_guide_v1.2.pdf
Anthi-Eirini K. Vozinaki, Giasemi G. Morianou, Dimitrios D. Alexakis & Ioannis K. Tsanis (2017). Comparing 1D and combined 1D/2D hydraulic simulations using high-resolution topographic data: a case of study of Koiliaris Basin, Greece. Hydrological Sciences Journal, 62, Issue 4. https://doi.org/10.1080/02626667.2016.1255746
Bhuyian, Md. N., Kalyanapu, A.J & Nardi, F. (2014). Approach to Digital Elevation Model Correction by Improving Channel Conveyance. Journal of Hydrologic Engineering, 20, Issue 5. https://doi.org/10.1061/(ASCE)HE.1943-5584.0001020
Bello Herrera, A.M. y Huete Medrano, L.A. (2013). Modelación de la red de drenaje pluvial de la Sub cuenca III de la cuenca sur de la ciudad de Managua (Tesis de Licenciatura, Universidad Centroamericana). Retrieved from http://repositorio.uca.edu.ni/1435/
Cook, A. & Merwade, V. (2009). Effect of topographic data, geometric configuration and modeling approach on flood inundation mapping. Journal of Hydrology, 377, 131-142. https://doi.org/10.1016/j.jhydrol.2009.08.015
Chow, V.T. (1994). Hidráulica de Canales Abiertos. Editorial McGraw Hill Interamericana, S.A. Bogotá, Colombia
Chow, V.T., Maidment, D.R y Mays, L.R. (1994). Hidrología Aplicada. Editorial McGraw Hill Interamericana, S.A. Bogotá, Colombia
Campo, A.M., Gentili, J y Silva, A. (2016). Comparación de DEM generados a partir de distintas fuentes de datos. Cuenca del Arroyo Sauce Corto, Sistema de Ventania, Argentina. Geografía y Sistemas de Información Geográfica, 8, 34-55. Retrieved from https://ri.conicet.gov.ar/handle/11336/49675
Eastman, J.R. (2012). IDRISI SELVA, Guía SIG y Procesamiento de Imágenes. Clark University. Retrieved from https://clarklabs.org/wp-content/uploads/2016/10/IDRISI-Selva-Spanish-Manual.pdf
Felicísimo, A.M. (1994). Modelos Digitales del Terreno: introducción y aplicaciones en las ciencias ambientales. Pentalfa Ediciones
Fallas, J. (2007). Modelos Digitales de Elevación: teoría, métodos de interpolación y aplicaciones
Gámez Morales, W.R. (2009). Texto Básico de hidrología. Editronic, S.A. Universidad Nacional Agraria
Fundación Amigos del Río San Juan. (2013). Plan Municipal de Ordenamiento y Desarrollo Territorial 2012-2022 Municipio de Ticuantepe
Hydrologic Engineering Center. (2016). River Analysis System HEC-RAS Hydraulic Reference Manual. U.S Army Corps of Engineers
Hydrologic Engineering Center. (2000). Hydrologic Modeling System HEC-HMS, Technical Manual Reference. U.S Army Corps of Engineers
Hernández Vega, A.L. y Rivas Albuquerque, E.M. (2017). Evaluación hidrotécnica del puente Boaquito en la comarca Boaquito, Boaco (Tesis de Licenciatura, Universidad Nacional de Ingeniería). Retrieved from https://ribuni.uni.edu.ni/2471/
Instituto de Hidrología, Meteorología y Estudios Ambientales. (2017). Guía metodológica para la elaboración de mapas de inundación. IDEAM. Retrieved from http://documentacion.ideam.gov.co/cgi-bin/koha/opac-detail.pl?biblionumber=38247
Instituto de Hidrología, Meteorología y Estudios Ambientales. (2018). Protocolo de modelación hidrológica e hidráulica. IDEAM. Retrieved from http://documentacion.ideam.gov.co/cgi-bin/koha/opac-detail.pl?biblionumber=38314
INETER., UNI., ANA., GIZ-PROATAS. (2014). Cuencas hidrográficas de Nicaragua bajo la metodología Pfafstetter. Retrieved from http://proatas.org.ni/media/flatpages/Album_Cuencas_Nic_res_reduc.pdf
Linsley, R.K., Kohler, M.A y Paulus, J.L. (1977). Hidrología para ingenieros. Editorial McGraw Hill Latinoamérica, S.A. Bogotá, Colombia
Md Ali, A., Solomatine, D.P. y Di Baldassarre, G. (2015). Assesing the imapct of diferente sources of topographic data on 1-D hydraulic modelling floods. Hydrology and Earth System Science, 19, 631-643. https://doi.org/10.5194/hess-19-631-2015
Mejía Marcacuzco, J.A. (2012). Hidrología Aplicada. Universidad Nacional Agraria La Molina
Monsalve Sáenz, G. (1999). La hidrología en la Ingeniería. Alfaomega Grupo Editor S.A. de C.V
Moriasi, D. N., Arnold, J. G., Van Liew, M. W., Bingner, R. L., Harmel, R. D., & Veith, T. L. (2007). Model evaluation guidelines for systematic quantification of accuracy in watershed simulations. Trans. ASABE, 50(3), 885-900. Retrieved from moriasimodeleval.pdf (tamu.edu)
Mamani, R., Llanchipa Ramírez, D. (2020). Definición de zonas de inundación mediante el modelo de simulación HEC-RAS en la cuenca baja del río Coata-Puno (Tesis de Licenciatura, Universidad Peruana Unión). Retrieved from https://repositorio.upeu.edu.pe/handle/UPEU/3316
MTI. (2008). Manual para la revisión de estudios hidrotécnicos de drenaje mayor. Ministerio de Transporte e Infraestructura – División General de Planificación
Monge Rodríguez, N. & Mueses, A. (2013). Comparación de cálculos de niveles de inundación entre un análisis hidrológico e hidráulico existente y un modelo digital del terreno. Respositorio. Retrieved from Universidad Politécnica de Puerto Rico. https://prcrepository.org/xmlui/handle/20.500.12475/896
Ramos Lopinta, J.L. (2019). Identificación de zonas con riesgo a inundación por máximas avenidas probables del río Majes en el tramo Dique – Punta Colorada, Arequipa Perú (Tesis de Licenciatura, Universidad Peruana Unión). Retrieved from https://repositorio.upeu.edu.pe/handle/UPEU/2345
Racca, J.M. (2007). Análisis hipsométrico, frecuencia altimétrica y pendientes medias a partir de modelos digitales del terreno. Boletín del Instituto de Fisiografía y Geología, 77(1-2), 31-38. Retrieved from https://rephip.unr.edu.ar/bitstream/handle/2133/970/BIFG_77_31.pdf?sequence=1&isAllowed=y
Vergara Ibacache, V.M. (2016). Análisis comparativo de áreas de inundación mediante diferentes modelos digitales del terreno (Tesis de Licenciatura, Universidad del Bío Bío). Retrieved from http://repobib.ubiobio.cl/jspui/handle/123456789/2277
Villón Béjar, M. (2006). Hidrología Estadística. Editorial Tecnológica de Costa Rica.
© 2023 Revista Científica de FAREM-Estelí.
Este trabajo está licenciado bajo una Licencia Internacional Creative Commons 4.0 Atribución-NoComercial-CompartirIgual.