Itinerario genético de las relaciones de equivalencia en la escuela y la vida diaria

Genetic itinerary of equivalence relations in school and daily life

 

Arnoldo Abraham Herrera Herrera
Estudiante del Doctorado en Matemática Aplicada, Universidad Nacional Autónoma de Nicaragua, Managua. UNAN-Managua, Nicaragua
https://orcid.org/0000-0003-3001-8861
arnoldo.herrera@unan.edu.ni

Iván Augusto Cisneros Díaz
Doctor en Matemática Aplicada, Universidad Nacional Autónoma de Nicaragua, Managua. UNAN-Managua, Nicaragua
https://orcid.org/0000-0003-2014-1946
ivan.cisneros@unan.edu.ni

 

Recibido

21/01/2023

Aceptado

17/03/2023

 

RESUMEN

El concepto de relación de equivalencia describe la práctica prolongada del hombre consigo mismo y con la sociedad, es decir, marca un paso de lo singular a lo plural, una búsqueda entre los objetos o conceptos que poseen algún tipo de correspondencia para luego clasificarlos en equivalentes o no equivalentes. Las relaciones de equivalencia son un producto cultural que han acompañado al hombre en sus diferentes estadios históricos, pero que se vuelve invisible la mayoría de las veces por su cotidianidad, por consiguiente, existen diferentes conceptos matemáticos, que se encuentran aislados por el hecho de no evidenciar su aplicabilidad en la vida diaria. Otro aspecto esencial sobre las relaciones de equivalencia es que figuran como mecanismos imprescindibles para comprender la funcionalidad o comportamiento de diversas cosas que se conjugan en sus similitudes o bien que a partir de sus diferencias muestran aspectos que permiten definirse cierto tipo de relación. En este sentido y bajo la filosofía de mostrar un itinerario del concepto de relación de equivalencia se presentan ejemplificaciones detalladas en diversos contextos y niveles educativos, así como la correspondiente determinación de: clases de equivalencia y conjunto cociente.

 

PALABRAS CLAVES

Conjunto; relación de equivalencia; ejemplificaciones; clases de equivalencia.

 

ABSTRACT

The concept of equivalence relation describes the prolonged practice of man with himself and with society, that is to say, it marks a passage from the singular to the plural, a search among objects or concepts that possess some kind of correspondence in order to then classify them as equivalent or non-equivalent. The equivalence relations are a cultural product that has accompanied man in his different historical stages, but that becomes invisible most of the time because of its everyday life, therefore, there are different mathematical concepts, which are isolated by the fact of not evidencing their applicability in daily life. Another essential aspect about equivalence relations is that they are essential mechanisms to understand the functionality or behavior of different things that are conjugated in their similarities or that from their differences show aspects that allow the definition of a certain type of relation. In this sense and under the philosophy of showing an itinerary of the concept of equivalence relation, detailed exemplifications are presented in diverse contexts and educational levels, as well as the corresponding determination of: equivalence classes and quotient set.

 

KEYWORDS

Set; equivalence relation; exemplifications; equivalence classes.

 

INTRODUCCIÓN

 

Este trabajo se enfatiza en las relaciones de equivalencia y el rastreo cognoscitivo de estas desde situaciones primarias de la vida humana, hasta su cristalización técnica en el área de la matemática actual. El propósito principal de este artículo se centra en identificar el uso del concepto de relación de equivalencia en la escuela y la vida diaria, así como ejemplificar la aplicabilidad de estas en diversos contextos educativos y además la construcción del conjunto cociente índice y conjunto cociente asociados a cada relación de equivalencia.

En una primera etapa de esta investigación se identificaron eventos cuya ejecución tiene que ver con la idea de clasificación de objetos siguiendo un criterio preestablecido, permitiendo definir relaciones aproximadamente iguales a las de equivalencia y en otros casos generar la idea central para construir una relación que fuese de equivalencia.

El segundo trayecto consistió en formar el conglomerado de conceptos adjuntos al de relación de equivalencia (clases de equivalencia, partición de un conjunto, conjunto cociente) y la determinación de su aplicación en diversos contextos. Esta misma ruta en su comienzo no exigía el lenguaje de conjuntos, al finalizar obligó a considerar varios niveles conjuntistas. Todos estos aspectos contribuyeron significativamente para concretizar y satisfacer las condiciones que cada una de las distintas ejemplificaciones cumplieran ser relaciones de equivalencia.

A través de la historia, la necesidad de conectar objetos bajo un determinado criterio ha permitido afirmar que las relaciones de equivalencia siempre han estado presentes, porque desde un primer momento el ser humano clasificaba las especies de la naturaleza. Así mismo, a medida que surgían nuevas generaciones se evidenciaba la importancia de tener una adecuada organización, tanto para atacar como para defenderse, por tal razón la mayoría de los ejércitos utilizaban criterios de selección para elegir sus soldados. Cabe señalar que existen otras situaciones de las cuales se deriva una aproximación a este concepto, a continuación, se mencionan algunas tomadas de Bible (1999, p. 1-102) en su Nueva Versión Internacional, uno de los libros más antiguos.

El señor le dijo a Noé “Entra en el arca con toda tu familia, porque tú eres el único hombre justo que he encontrado en esta generación. De todos los animales puros lleva siete machos y siete hembras; pero de los impuros solo lleva un macho y una hembra” (Génesis 7: 2 – 3).

Noé materializó el mandato divino de la siguiente forma: “Entonces entró en el arca junto con sus hijos, su esposa y sus nueras, para salvarse de las aguas del diluvio. De los animales puros e impuros, de las aves y de todo los que se arrastran por el suelo entraron con Noé por pareja el macho y su hembra tal como Dios se lo había mandado” (Génesis 7: 7– 9).

Existe otro pasaje que apunta a la clasificación: Hablen con toda la comunidad de Israel y díganles que el día décimo de este mes todos ustedes tomarán un cordero por familia, uno por cada casa. El animal que se escoja puede ser un cordero o un cabrito de un año y sin defecto, al que cuidarán hasta el catorce del mes, día en el que la comunidad de Israel en pleno lo sacrificará al caer la noche. Tomarán luego un poco de sangre en los dos postes y en el dintel de la puerta de la casa donde coman el cordero (Éxodo 12: 3; 5-7). En el fondo de este párrafo hay una partición de la población que medraba en el imperio egipcio.

Según Bible (1999), Israel, el pueblo escogido por Dios estaba dividido en    tribus: Judá, Efraín, Manasés, Benjamín, Simeón, Zabulón, Isacar, Aser, Neftalí, Dan, Rubén y Gad. Este mismo hecho sucedía para la sociedad egipcia, de acuerdo con Cuervo (2017, p.3) “La sociedad egipcia estaba dividida por clases: Faraón, Nobleza, Clase Sacerdotal, Escribas y Soldados, Artesanos y Comerciantes, Campesinos, Esclavos”.

El siguiente ejemplo que se presenta fue tomado del Corán, el libro sagrado para la religión musulmana, donde se habla acerca de la organización política del imperio islámico, la cual es: califa (máxima autoridad política), visir (primer ministro), emir (gobernador de provincia), cadí (juez) y diwán (tesorero real).

En palabras de Joyce (1996, p.2) en el mero portal del primer libro de los Elementos de Euclides, aparecen las siguientes nociones comunes:

  1. Las cosas iguales a una misma cosa son iguales entre sí.
  2. Las cosas que coinciden entre si son iguales.

En la demostración de la proposición 1 del libro 𝐼 de Euclides aparece el siguiente texto: “…pero se ha demostrado que Γ𝐴 es igual a 𝐴𝐵; por tanto, cada una de las (rectas) Γ𝐴,Γ𝐵 es igual a 𝐴𝐵. Ahora bien, las cosas iguales a una misma cosa son también iguales entre sí; por tanto, Γ𝐴 es también igual a Γ𝐵, luego las tres Γ𝐴,𝐴𝐵,Γ𝐵 son iguales entre sí.” En este mismo libro, la proposición 30 versa de la manera siguiente: “Las paralelas a una misma recta son también paralelas entre sí”. Por otro lado, en la proposición 12 del libro 𝑋 el mismo autor afirma lo siguiente: “Las magnitudes conmensurables con una misma magnitud son también conmensurables entre sí”.

En estas muestras es palpable el uso incipiente de las tres propiedades (reflexividad, simetría y transitividad) que definen a una relación de equivalencia, sin llegar a la definición formal que actualmente se conoce. También, estas ideas iniciales permitieron concebir pensamientos trascendentales en la teoría de conjuntos y otros campos de la Matemática.

Luego de haber efectuado una revisión de la bibliografía y webgrafía sobre las investigaciones asociadas con la historia y el uso del concepto de relación de equivalencia, se encontró la siguiente información:

El libro escrito por Kennet (2004), titulado “Matemáticas Discretas y sus aplicaciones” es un soberbio manual que tiene como objetivo principal presentar de forma clara y precisa los conceptos, demostraciones y técnicas en matemática discreta, ofreciendo al estudiante la modernidad de sus aplicaciones en Informática. Para nosotros fueron útiles los ejemplos que aparecen en el capítulo referido a las relaciones de equivalencia y sus operaciones.

El trabajo realizado por González (2004) con la temática “Apuntes de Matemática Discreta y Relaciones de Equivalencia”, cuyo fin es valorar la importancia de las relaciones binarias para la ciencia, y por consiguiente, poder resolver ejercicios con métodos sencillos y eficaces, de tal forma que permita al estudiante obtener un aprendizaje significativo.

El trabajo de investigación “Equivalence: An Attempt at a History of the Idea” de Asghari (2019) donde se propone una lectura de la historia de la equivalencia en matemáticas. El documento tiene dos partes principales: la primera versa sobre el corto periodo en que el concepto de equivalencia estaba a punto de ser descontextualizado, aunque todavía no se había acordado el nombre. La segunda parte versa sobre un periodo histórico relativamente largo, cuando la equivalencia se experimenta en contexto, pasando revista a sus posibles genitores.

El método en esta parte consiste en discutir las ideas de sus formulaciones en teoría de conjuntos, el examen metódico de sus variaciones y las formas en que aparece la equivalencia en algunos textos históricos prominentes. El artículo revela varios conceptos alternativos de equivalencia y su comparación con la explicación estándar de la noción matemática de equivalencia.

En una segunda publicación de Asghari (2009) esta vez con el nombre “Experiencing equivalence but organizing order” en el que se consideran las diversas concepciones de equivalencia en la historia, en la matemática en general. En este artículo se revelan las diferencias críticas en la noción de relación de equivalencia en distintos puntos de la historia. Precisamente estas diferencias ponen en duda un punto de vista ingenuo, que con frecuencia se pone en ejercicio cuando se quiere justificar la conexión de un concepto matemático con la realidad cotidiana. En primer lugar, la noción de relación de equivalencia no resulta de deletrear directamente nuestra experiencia, y en segundo lugar, aunque esté matemáticamente muy bien elaborada, la escogencia de su definición para enseñarla en la escuela no es muy buena, desde el punto de vista pedagógico.

Un tercer estudio de Asghari (2010), titulado “A mad dictator partitions his country” se plantean en primer lugar tareas para los estudiantes que conduzcan a definir una relación de equivalencia en la forma conocida, y en segundo lugar, basados ya en la experiencia con los estudiantes, aceptar el hecho de que aparezcan variantes del concepto desde la perspectiva de los jóvenes participantes.

El texto de “Álgebra y Teoría de números” de Koulikov (1982) nos ayudó a estudiar los sistemas algebraicos en general, así como contribuir a la formación de nuestra cultura algebraica, debido a que se necesita una agudeza cognitiva para la comprensión profunda de la semiótica, psicología, historia y didáctica de la matemática elemental.

Asociados a las investigaciones antes mencionadas, está Revilla (2010) con: “Cursos Matemáticos - Relaciones de Equivalencia”, cuyo propósito es utilizar conceptos y teoremas correspondientes a la resolución de problemas conectados con la vida cotidiana, y de la misma manera, plantear y resolver algunos ejercicios aplicados que presentan cierto grado de dificultad. Este trabajo concluye que el estudiante debe poseer cualidades y habilidades en Matemática, puesto que estas son el eje principal para el desarrollo auténtico y significativo en cualquier lugar de trabajo. Por tal razón, es necesario proporcionar métodos adecuados para lograr un excelente aprendizaje.

El trabajo de Curveira & Bravo (2013) titulado “Tratamiento de conceptos matemáticos, su repercusión en el proceso de formación profesional inicial”, tiene el propósito principal de tratar la formación de habilidades en los estudiantes en la asignatura de Matemática General, a partir de las aclaraciones de los tipos de conceptos y las distintas relaciones matemáticas entre estos.

En la actualidad, una de las principales carencias que se presenta en la enseñanza de la asignatura Matemática en todos los niveles educativos, es la débil vinculación que los profesores pueden hacer con la red complicada de eventos que giran alrededor de la vida cotidiana. Un ciudadano común y corriente tiene que ocuparse de sus propias finanzas, pagos de hipoteca, procesos electorales, servicios médicos, deportes, una correcta nutrición, modas, seguridad en las transferencias bancarias por internet, anticipación a desastres naturales etc. En este sentido se asegura que frente a toda esta gama de fenómenos existen y se elaboran respuestas matemáticas que apuntan hacia el hallazgo de una solución.

También otra limitante de esta temática es que los programas de secundaria y la universidad el tratamiento sobre enseñanza de la matemática sigue adoleciendo de un enfoque escolástico, basado en principios y normas rígidas que esterilizan los esfuerzos para conectarla con la vida humana del aquí y el ahora.

Este fenómeno ha propiciado que el ciudadano común tenga la idea equivocada de que esta ciencia es una miscelánea de artificios mecánicos y descontextualizados, que no tienen relación alguna con las situaciones de la vida diaria. Por tal razón se decidió hacer la búsqueda de una ruta que permita determinar la génesis del concepto de relación de equivalencia, desde situaciones históricas, cotidianas hasta su inclusión formal en el gran edificio de la teoría de conjuntos. La génesis se comprende como una serie encadenada de acciones cognoscitivas que conducen directamente a la formalización del concepto de relación de equivalencia.

Alrededor de esta temática principal surgen las interrogantes: ¿Qué impedimentos tienen los estudiantes de matemática educativa para reconocer la presencia de relaciones de equivalencia en un contexto determinado? ¿Se trata de verdaderos obstáculos de corte cognitivo, o simplemente no existe en nuestro modo de aprender y enseñar una cultura de vincular de modo natural los conceptos matemáticos implícitos de la dinámica de la vida?  ¿Cómo puede enriquecerse el proceso de enseñanza-aprendizaje con las habilidades adquiridas en la búsqueda y hallazgo de aplicaciones de las relaciones de equivalencia?

Finalmente se puede decir que los conceptos matemáticos son instrumentos culturales muy importantes para el desarrollo intelectual del estudiante, y que definiciones como par ordenado, producto cartesiano, relación, relación de equivalencia y función deberían estar en el léxico de los ciudadanos, porque innegablemente tienen múltiples aplicaciones en la vida cotidiana, aunque a veces sea difícil visibilizarlos.

Antes de abordar las ejemplificaciones de las relaciones de equivalencia en la vida diaria y la escuela, es necesario proporcionar ciertos conceptos y definiciones tomadas de Rojo (1996, p.1-80), las cuales servirán como base para comprender de mejor forma la temática en cuestión.

Conjunto: Dada una colección X de elementos, si x es un elemento de X escribiremos xX, mientras que si no pertenece a X escribiremos xX. Si P es una propiedad, indicaremos por P(x) el hecho de que P sea cierta para el elemento x. Con esta notación, un conjunto X es una colección de elementos x tales que exista una propiedad P de modo que xX si y sólo si P(x) es verdadera.

Par ordenado: El par ordenado (a,b) es el conjunto cuyos elementos son {a} y {a, b}. Es decir

(a, b)= {{a},{a, b}}.

a y b son la primera y segunda componente del par ordenado, respectivamente.

Producto cartesiano: El producto cartesiano de los conjuntos y es el conjunto A y B cuyos elementos son todos los pares ordenados cuya primera componente pertenece a A y la segunda a B. Simbólicamente,

Relación: Una relación entre A y B es todo subconjunto del producto cartesiano A x B. En símbolos,

Relaciones definidas en un conjunto: Supóngase que 𝑅 es una relación entre 𝐴 y 𝐵, donde 𝐵=𝐴. En este caso se dice que la relación está definida en 𝐴, y se identifica con un subconjunto de 𝐴2=𝐴×𝐴.

Relación de equivalencia: La relación ~⊂A2 es de equivalencia en 𝐴 si, y solo si, es reflexiva, simétrica y transitiva.

Reflexividad: Todo elemento de 𝐴 está relacionado consigo mismo.

Simetría: Si un elemento está relacionado con otro, entonces este está relacionado con el primero.

Transitividad: Si un elemento está relacionado con otro y este está relacionado con un tercero, entonces el primero está relacionado con el tercero.

Clase de equivalencia: Clase de equivalencia del elemento 𝑎∈𝐴 es el conjunto de todos los elementos de 𝐴 que están relacionados con 𝑎.

 

Conjunto de Índices: Es el conjunto formado por todos los elementos que han sido seleccionados como representantes de cada clase de equivalencia.

Partición: Sean dos conjuntos 𝐴≠∅ e 𝐼≠∅ tales que, cualquiera que sea el elemento 𝑢∈𝐼, existe un subconjunto 𝐾𝑢⊂𝐴. El conjunto { 𝐾𝑢∶𝑢∈𝐼 } es una partición de 𝐴 si y solo si

El conjunto 𝐼 se llama conjunto de índices.

Conjunto cociente: El conjunto formado por las clases de equivalencia se llama conjunto cociente de 𝐴 por la relación de equivalencia ~, y la notación es

 

MATERIALES Y MÉTODOS

 

En este acápite se muestra la metodología aplicada, así como una perspectiva general de la deducción, construcción y utilidad acerca de las ejemplificaciones de las relaciones de equivalencia en la escuela y la vida diaria.

El tipo de investigación es aplicada porque tiene por objetivo la búsqueda y consolidación del concepto de relación de equivalencia para su aplicación y, por ende, para el enriquecimiento del desarrollo cultural y científico de la Matemática. Igualmente, su enfoque es fundamentalmente cualitativo, porque apunta a la descripción de hechos que son proclives a ser estructurados como relaciones de equivalencias.

El universo considerado fueron todos los estudiantes de la UNAN – Managua del RURD y como muestra los estudiantes del segundo año de la carrera de Matemática Educativa. 

Las técnicas de recolección de datos empleadas fueron: observación directa, entrevista y el análisis documental de contenido sobre relaciones de equivalencia.

El método histórico ha entrado en escena en esta investigación al haber hecho una selección de textos representativos de la antigüedad que evidencian la presencia de ideas matemáticas predecesoras de la definición actual de relación de equivalencia. También en buena parte del trabajo fue utilizado el método reductivo para diferenciar la noción de relación de equivalencia sugerida por las circunstancias del hecho examinado y el concepto oficial extraído de los textos de matemática.

El método analítico fue claramente utilizado al examinar la precisión y efectividad de la definición de relación de equivalencia en el funcionamiento de las demostraciones de los teoremas que la involucran. Una buena definición es "justificada" por los teoremas que pueden probarse con ella, al igual que la prueba del teorema está justificada apelando a una definición dada anteriormente”.

La síntesis, como método cognoscitivo opuesto al análisis, se ve reflejada en la aparición gradual de otros conceptos matemáticos que, a partir de la definición de relación de equivalencia, fueron incorporándose a estructuras algebraicas compuestas que subsumían las anteriores como partes subsidiarias. En la evolución del trabajo puede observarse la cadena de hitos conceptuales: conjunto, par ordenado como conjunto, relación binaria como producto de relaciones, relación de equivalencia como una relación muy especial, conjunto cociente como un conjunto de cocientes, la función canónica como otro conjunto situado en otro nivel de la jerarquía conjuntista, etc. Otro aspecto a señalar es que todas las ejemplificaciones son construcción genuina e inédita de esta investigación.

La metodología empleada en este trabajo siguió las siguientes etapas:

  1. Revisión del estado del arte sobre el concepto de relación de equivalencia.
  2. Estudio de diversos procedimientos matemáticos sobre la definición conceptual y formal de relación de equivalencia.
  3. Selección de situaciones en diferentes contextos que permitirán la ejemplificación pertinente de las relaciones de equivalencia.
  4. Ejemplificación de clases de equivalencia a partir de la definición del conjunto de índices para cada relación de equivalencia establecida.
  5. Construcción del conjunto cociente asociado a cada relación de equivalencia considerada.

Las etapas bajo las cuales se desarrolló esta investigación son: concepción de la idea, planteamiento del problema, antecedentes, objetivos, diseño de la investigación, obtención de la información, tratamiento - análisis de los datos e interpretación y presentación de los resultados.

Además, se utilizó la inducción, porque se inició con la búsqueda y registro de algunas situaciones particulares que son interpretables a la luz de las tres condiciones de la definición de relaciones de equivalencia y arribando finalmente al reconocimiento de un patrón semejante a lo que se tenía previsto en la definición.   

La finalidad primordial de este trabajo se centra en la identificación de situaciones cotidianas o académicas, donde haya posibilidad de utilizar relaciones de equivalencia, particiones y conjuntos cociente, por consiguiente, se debe intentar poner en claro algunos conceptos generales y otros más específicamente matemáticos.

En primer lugar, de acuerdo con la RAE (2001, p.1) se define un problema como “planteamiento de una situación cuya respuesta desconocida debe obtenerse a través de métodos científicos”. En un primer momento era desconocido para los investigadores el grado de compatibilidad de la existencia factual de las relaciones de equivalencia con su definición formal en los libros de texto consultados.

Una situación cotidiana es el conjunto de actividades básicas (comer, dormir, bañarse, alimentarse, etc.)  e instrumentales (limpieza del entorno, conducir vehículo, viajar en avión, usar computadoras, celulares e internet) que una persona realiza diariamente en función de su rol ciudadano, profesional o estudiantil como respuesta a las exigencias de la sociedad. Toda situación cotidiana está marcada por el grado de desarrollo de cada país en relación al mapamundi económico y tecnológico contemporáneo.

Dentro de este panorama de cotidianidades se encuentra el papel poco relevante que una buena parte de la sociedad nicaragüense adjudica a la matemática como fuerza productiva decisiva en el desarrollo de un país. Ante las transformaciones experimentadas por la sociedad surgen nuevas necesidades, las cuales permiten ajustarse al presente. Según UTPL (2021, pág. 1) afirma que “La educación es un proceso por el que se transmite conocimiento, hábitos, costumbres y valores de una sociedad a una generación, el fin que persigue es que los seres humanos desarrollen al máximo sus potencialidades”.

 

RESULTADOS Y DISCUSIÓN

 

Las relaciones de equivalencia se observan en las diferentes situaciones de la vida y en los distintos niveles educativos, tanto en ejemplos sencillos como complejos, de acuerdo con la temática en estudio. A continuación, se presentan los siguientes ejemplos:

Ejemplo 1

En Nicaragua todo ciudadano nicaragüense que tenga cédula puede ejercer su derecho al voto, de forma libre, directa y secreta.

Comentario: en Nicaragua las cédulas de cada municipio tienen un código de entrada y aparece como una combinación de tres dígitos, utilicemos este hecho para definir una relación:

Sea 𝐶 el conjunto de todas las personas nicaragüenses que poseen cédula.

En 𝐶 se define la relación 𝑅 como: 𝒗 está relacionado con 𝒖 si y solo si la cédula de 𝒗 tiene la misma entrada que la cédula de 𝒖.

Reflexividad:

𝑣 está relacionado con 𝑣, porque la cédula de 𝑣 tiene la misma entrada que la cédula de 𝑣.

Simetría:

Supongamos que 𝑣 está relacionado con 𝑛, esto significa que la cédula de 𝑣 tiene la misma entrada que la cédula de 𝑛, a su vez la cédula de 𝑛 tiene la misma entrada que la cédula de 𝑣, entonces 𝑛 está relacionado con 𝑣.

Transitividad:

Por hipótesis 𝑣 está relacionado con 𝑛 y 𝑛 está relacionado con 𝑑, lo cual indica que la cédula de 𝑣 tiene la misma entrada que la cédula de 𝑛 y la cédula de 𝑛 tiene la misma entrada que la cédula de 𝑑, es evidente que la cédula de 𝑣 tiene la misma entrada que la cédula de 𝑑, entonces 𝑣 está relacionado con 𝑑.

Demostrando así que 𝑅 es una relación de equivalencia.

Ejemplos específicos:

  • El ciudadano Arnoldo Herrera se identifica con el número de cédula 242–270996–0000𝐸 y el ciudadano Luis Herrera se identifica con el número de cédula 242–090495–0000𝑉, por consiguiente, ellos están relacionados.
  • El joven Freddy López posee el número de cédula 201–201196–0000𝑃 y Carlos Bustamante se identifica con el número de cédula 201–310174–0004𝐹, por tal razón ellos están relacionados.

Sea 𝐼 el conjunto de índices:

Algunos ejemplos de clases de equivalencia son:

  • La clase 𝐾242 está conformada por todas las personas que tienen cédulas con la entrada de San Rafael del Norte.
  • La clase 𝐾561 está compuesta por todas las personas que poseen cédulas con la entrada del municipio de Rivas.

Conjunto cociente

Ejemplificación sobre Relación de Equivalencia en Preescolar

A continuación, se presentan ejemplos de relaciones de equivalencia que están presentes en algunas actividades, que realizan los niños que estudian en el preescolar “Arlen Siú” de la UNAN-Managua:

Ejemplo 2

Al inicio de la clase, la profesora a cargo del grado orienta a los niños dibujar en sus cuadernos figuras geométricas y luego indica que deben colorear todas las figuras con un único color de lápiz, el que ellos prefieran, por ejemplo, a Fernandita le corresponde colorear un cuadrado, un triángulo y un rombo, ella decidió usar el color rojo, porque es su favorito.

Sea Ω el conjunto de todas las figuras geométricas que dibujaron y pintaron los niños del preescolar “Arlen Siú”.

En Ω se define la relación R como: a está relacionada con b si y solo si a es del mismo color que b.

Reflexividad:

𝑎 está relacionada con 𝑎, porque 𝑎 es del mismo color que 𝑎.

Simetría:

Supongamos que la figura geométrica 𝑎 está relacionada con 𝑏, es decir, 𝑎 es del mismo color que 𝑏, esto es que 𝑏 es del mismo color que 𝑎, entonces 𝑏 está relacionada con 𝑎.

Transitividad:

Por hipótesis, 𝑎 está relacionada con 𝑏 y 𝑏 está relacionada con 𝑐, por consiguiente 𝑎 es del mismo color que 𝑏 y 𝑏 es del mismo color que 𝑐, automáticamente 𝑎 es del mismo color que 𝑐, entonces 𝑎 está relacionada con 𝑐

Así se concluye que, 𝑅 es una relación de equivalencia.

Ejemplos específicos:

  • Fernandita dibujó y coloreó un cuadrado, un triángulo y un rombo, ella decidió pintarlos de color rojo, por tanto, las tres figuras geométricas están relacionadas por ser del mismo color.
  • Jairito dibujó y coloreó un círculo, un rectángulo y un trapecio, el optó por colorearlos en azul, por consiguiente, las tres figuras están relacionadas por ser del mismo color.
    Sea 𝑄 el conjunto de índices:

Algunos ejemplos de clases de equivalencia son:

  • La clase 𝐾am está conformada por todas las figuras geométricas que se colorearon con amarillo.
  • La clase 𝐾v está compuesta por todas las figuras geométricas que se pintaron con el color verde.

Conjunto cociente

Ejemplificación sobre Relación de Equivalencia en Educación Primaria

Dando continuidad al proceso investigativo sobre la búsqueda de relaciones de equivalencia en educación primaria, particularmente en la asignatura de Ciencias Naturales, se identificó el siguiente caso:

Ejemplo 3

Luego de impartir el tema sobre los animales vertebrados se desarrolló el tema titulado “Formas de reproducción de los animales”.

Después de investigar las clases en que se dividen los animales vertebrados, se orientó a los discentes indagar sobre las formas de reproducción que existen, ellos aseguraron que solo existen dos: sexual y asexual. Es importante mencionar que existen seres vivos que se reproducen de forma asexual y sexual, de acuerdo con ICCA (2002, p.4) “La reproducción de las abejas se lleva a efecto sexualmente para las dos castas de hembras de la colonia (reinas y obreras) y asexual para los machos”.

Sea 𝜑 el conjunto de todos los animales que se reproducen de forma única.

En 𝜑 se define la relación 𝑅 como: 𝒙 está relacionado con 𝒚 si y solo si 𝒙 posee la misma forma de reproducción que 𝒚.

Reflexividad:

𝑥 está relacionado con 𝑥 porque 𝑥 posee la misma forma de reproducción qu 𝑥.

Simetría:

Supongamos que 𝑥 está relacionado con 𝑦, por consiguiente 𝑥 posee la misma forma de reproducción que 𝑦, es evidente que 𝑦 posee la misma forma de reproducción que 𝑥, entonces 𝑦 está relacionado con 𝑥.

Transitividad:

Por hipótesis 𝑥 está relacionado con 𝑦 e 𝑦 está relacionado con 𝑧, es decir 𝑥 posee la misma forma de reproducción que 𝑦 e 𝑦 posee la misma forma de reproducción que 𝑧, seguidamente 𝑥 posee la misma forma de reproducción que 𝑧, entonces 𝑥 está relacionado con 𝑧.

Así se tiene que 𝑅 es una relación de equivalencia.

Ejemplos Específicos:

  • Los conejos, las ovejas y el ser humano, se reproducen sexualmente, por tal razón están relacionados.
  • La medusa y la estrella de mar se reproducen asexualmente, por lo tanto, están relacionados.

Ejemplos de clases de equivalencia

  • La clase 𝐾sexual está conformada por todos los animales que se reproducen únicamente de forma sexual.
  • La clase 𝐾<¿sub>asexual está constituida por todos los animales que se reproducen asexualmente de manera única.

Conjunto Cociente

Ejemplificación sobre Relación de Equivalencia en Educación Secundaria

En las diferentes disciplinas que se imparten en la educación secundaria, se observan situaciones de la vida diaria que pueden asociarse a las relaciones de equivalencia. En la clase de Matemática se determinó la siguiente temática.

Ejemplo 4

En el texto de Matemática de séptimo grado, específicamente en la tercera unidad referida al conjunto de los números racionales, está presente el tema titulado “Fracciones Equivalentes”.

Definición de Fracciones Equivalentes (NICAMATE, 2019, pág. 8)

Simbolicamente,

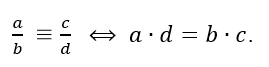
Sea

En ℚ se define la relación ≡ como sigue: 𝒖𝒗 está relacionado con 𝒘𝒙 si y solo si 𝒖∙𝒙=𝒗∙𝒘.

Reflexividad: 

u/v está relacionado con u/v porque u∙v=v∙u.

Simetría:

Supongamos que u/v está relacionado con w/x , esto significa que u∙x=v∙w, de donde w∙v=x∙u, entonces w/x está relacionado con u/v.

Transitividad:   

Por hipótesis u/v está relacionado con w/x y w/x está relacionado con y/z, es decir

u∙x=v∙w y w∙z=x∙y, por consiguiente u∙z=v∙y, entonces u/v está relacionado con y/z.

En conclusión ≡ es una relación de equivalencia.

Ejemplos Específicos:

  • 53 y 106 son fracciones equivalentes, por tal razón están relacionadas.
  • 93 y 62 son fracciones equivalentes, por tanto, están relacionadas.

Sea 𝑂 el conjunto de índices:

 

Algunos ejemplos de clases de equivalencia

  • La clase 𝐾58 está conformada por todas las fracciones que son equivalentes a 58.
  • La clase 𝐾−49 está compuesta por todas las fracciones que son equivalentes a −49.

Conjunto Cociente

Ejemplificación sobre Relación de Equivalencia en la Universidad

En la universidad UNAN – Managua se analizaron las siguientes situaciones.

Ejemplo 5

La UNAN-Managua, está organizada por facultades, cada facultad ofrece distintas carreras a la ciudadanía nicaragüense.

La UNAN-Managua posee diez facultades, las que se mencionan a continuación: Humanidades y Ciencias Jurídicas, Educación e Idiomas, Ciencias Médicas, Ciencias e Ingeniería, Instituto Politécnico de la Salud, RUCFA y sus respectivas FAREM.

Sea 𝐶 el conjunto de todas las carreras que se ofertan en la UNAN-Managua.

En 𝐶 se define la relación 𝑅 como: 𝒑 está relacionado con 𝒒 si y solo si 𝒑 pertenece a la misma facultad que 𝒒.

Reflexividad:

𝑝 está relacionado con 𝑝, porque 𝑝 pertenece a la misma facultad que 𝑝.

Simetría:

Supongamos que 𝑝 está relacionado con 𝑞, dicho de otro modo 𝑝 pertenece a la misma facultad que 𝑞, en consecuencia 𝑞 pertenece a la misma facultad que 𝑝, entonces 𝑞 está relacionado con 𝑝.

Transitividad:

Por hipótesis 𝑝 está relacionado con 𝑞 y 𝑞 está relacionado con 𝑟, esto es que 𝑝 pertenece a la misma facultad que 𝑞 y 𝑞 pertenece a la misma facultad que 𝑟, de manera que 𝑝 pertenece a la misma facultad que 𝑟, entonces 𝑝 está relacionado con 𝑟.

Confirmando así que 𝑅 es una relación de equivalencia.

Ejemplos:

  • Medicina y Odontología son carreras que pertenecen a la Facultad de Ciencias Médicas, por consiguiente, están relacionadas.
  • Inglés y francés son carreras que pertenecen a la misma Facultad de Educación e Idiomas, por tanto, están relacionadas.

Sea 𝑊 el conjunto de índices.

𝑊={ Humanidades y Ciencias Jurídicas, Educación e Idiomas, Ciencias Médicas, Ciencias e Ingeniería, Instituto Politécnico de la Salud, RUCFA, FAREM-Estelí, FAREM-Carazo, FAREM-Matagalpa, FAREM-Chontales}.

Algunos ejemplos de clases de equivalencia.

  • La clase 𝐾Educación e Idiomas está determinada por todas las carreras que integran a la Facultad de Educación e Idiomas.
  • La clase 𝐾Ciencias e Ingenirías está constituida por todas las carreras que pertenecen a la Facultad de Ciencias e Ingenierías.

Conjunto Cociente

Ejemplo 6

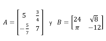
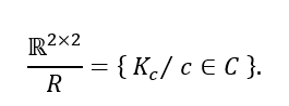
Sea ℝ2×2 el conjunto de todas las matrices cuadradas de dos filas y dos columnas.

Definición de traza de una matriz Chapra & Raymond (2007, p.242).

Sea una matriz cuadrada 𝐴 de orden 𝑛, se define la traza de la matriz 𝐴 y se denota por 𝑡𝑟(𝐴), a la suma de todos los elementos de su diagonal principal, es decir 𝑡(𝐴) ∑ni=1aii.

En ℝ2×2 se define la relación R como: A está relacionada con B si y solo si la traza de A es igual a la traza de B.

Reflexividad: 

𝐴 está relacionada con 𝐴, porque 𝑡𝑟(𝐴)=𝑡𝑟(𝐴).

Simetría:

Supongamos que 𝐴 está relacionada con 𝐵, lo que significa que 𝑡𝑟(𝐴)=𝑡𝑟( por simetría de la igualdad de números reales se obtiene que 𝑡𝑟(𝐵)=𝑡𝑟(𝐴), entonces 𝐵 está relacionada con 𝐴.

Transitividad: 

Por hipótesis, 𝐴 está relacionada con 𝐵 y 𝐵 está relacionada con 𝐶, lo que expresa que 𝑡𝑟(𝐴)=𝑡𝑟(𝐵) y 𝑡𝑟(𝐵)=𝑡𝑟(𝐶), por transitividad de la igualdad de números reales se tiene que 𝑡𝑟(𝐴)=𝑡𝑟(𝐶), de donde 𝐴 está relacionada con 𝐶.

Confirmando de esta forma que 𝑅 es una relación de equivalencia.

Ejemplos:

  • Las matrices están relacionadas porque sus trazas son iguales. En efecto

  • Las matrices están relacionadas, porque sus trazas son iguales:

Sea 𝐶 el conjunto de índices

Algunos ejemplos de clases de equivalencia.

  • La clase 𝐾−3√3 está constituida por todas las matrices 2×2 cuya traza es −3√3.
  • La clase 𝐾79 está constituida por todas las matrices 2×2 cuya traza es 79.

Conjunto Cociente

 

Los resultados obtenidos a partir de las ejemplificaciones, ilustran la presencia de las relaciones en diversos contextos, a su vez la variabilidad de estas en según la temática donde se abordan, es decir existen casos que se prestan para crear más de una relación de equivalencia y otros donde se debe analizar a mayor profundidad las situaciones para lograr el objetivo principal, el cual es definir una relación en un conjunto y que cumpla ser de equivalencia.

Es evidente que el proceso presentado en las diferentes ejemplificaciones que alucen a los niveles educativos y la vida diaria, se fundamentan en un proceso lógico – analítico – deductivo, el cual tiene como soporte principal dos aspectos: la definición del conjunto y la definición de la relación en dicho conjunto.

En cada ejemplo construido se consideró como base que la relación se definiera en un solo conjunto, además según la lógica de desarrollo para alcanzar que esta sea de equivalencia se debe garantizar que cumpliera como primera fase la propiedad de ser reflexiva, es decir que, todo elemento del conjunto está relacionado consigo mismo según la relación definida. Es innegable que está propiedad tiene cumplimiento inmediato en cada una de las situaciones presentadas.

La segunda fase hace referencia a la propiedad simétrica, esto aluce a la percepción generada que es vislumbrada como aquella donde los dos elementos que se comparan están en condiciones de igualdad atendiendo al estricto cumplimiento de la relación establecida.

La tercera fase es la propiedad transitiva, en la cual interactúan tres elementos del conjunto donde figura como soporte principal el elemento de “tránsito conectivo” haciendo efectivo el paso de la relación de un elemento a otro. Todos los ejemplos siguieron un proceso consecuente dirigidos por las fases mencionadas y con una perfilación de construir el conjunto cociente y conjunto índice.

Otro aspecto de trascendencia en cuanto a la selección de las situaciones es que deben mencionarse o detallar aquellos aspectos que podrían generar que la ejemplificación de la relación presentada no sea de equivalencia, tal es el caso de las formas de reproducción debido a que existen seres vivos que se reproducen de forma asexual y sexual, por esta razón en uno de los ejemplos expuestos se define el conjunto como: “Sea φ el conjunto de todos los animales que se reproducen de forma única”. A su vez estos aspectos contribuyen significativamente en la construcción de las distintas clases de equivalencia que se establecen a partir de la relación de equivalencia ya demostrada.

En cuanto a la estructuración y sistematización para obtener una relación de equivalencia de la cotidianidad, resulta un poco más difícil si la situación identificada posee elementos que cumplen funciones muy similares o bien que existen muchas diferencias, las cuales no permiten de modo sencillo establecer la relación de equivalencia, por consiguiente, se debe condicionar la definición del conjunto de tal forma que sea posible deducir y construir la relación de equivalencia. En otros casos se debe efectuar un análisis a mayor profundidad para crear la posible relación de equivalencia.

En relación a los principales criterios que aseguran la funcionalidad y efectividad de las clases de equivalencia, conjunto de índices y conjunto cociente está definir correctamente el conjunto y la relación, luego demostrar que es de equivalencia. Además, no debe suceder que uno o varios elementos pertenezcan a la vez a dos clases de equivalencias distintas, debido a que la intersección entre las clases de equivalencia distintas debe ser siempre el conjunto vacío y este hecho hace correspondencia a la definición formal de partición. Además, según el índice asignado del conjunto de índice se hace referencia únicamente a una clase de equivalencia, es decir que cada clase tiene un índice representante en el conjunto de índices, este hecho se puede observar considerando la información proporcionada en cada situación.

Para precisar el cumplimiento del resultado antes expuesto (Ejemplo 2):

En conformidad con los criterios descritos se encuentra el sentido y forma cómo se manifiesta o expresa la relación, esto significa que se debe concebir una idea central adecuada, de tal modo que desde diversas perspectivas bajo las cuales se estudia debería interpretarse de un modo claro y unidireccional para evitar posibles confusiones en el sentido de su planteamiento y demostración.

Los distintos ejemplos contextualizados encendieron la imaginación para lograr avanzar en el tratamiento y estudio de relaciones en los diversos niveles educativos. Ciertamente es primordial poseer dominio de las temáticas a ejemplificar puesto que contribuye a esclarecer posibles particularidades, así como a visionar otra posible relación de equivalencia a partir de una ya construida, por tanto, es innegable que las relaciones de equivalencia tienen presencia tangible en el diario vivir.

CONCLUSIONES

Los resultados de relevancia alcanzados en este trabajo investigativo se detallan a continuación:

  • Conocer una ruta genética de la noción de relación de equivalencia desde experiencias simples conectadas con la realidad hasta su definición formal y aplicación.
  • Todas las etapas en el proceso de elaboración de este trabajo resultaron altamente educativas y productivas, porque a partir del primer ejemplo de contextualización encontrado se logró establecer una estructura que permitió la elaboración de otros ejemplos. Igualmente, la gamma de ejemplificaciones desarrollada enriquece significativamente el proceso de aprendizaje investigativo - matemático mediante habilidades en la búsqueda y hallazgo de aplicaciones de las relaciones de equivalencia en múltiples escenarios. 
  • Las relaciones de equivalencia representan un logro conceptual con varios niveles de abstracción en la teoría de conjuntos. Además, existen múltiples enfoques sobre las relaciones de equivalencia que tienen una gran importancia en el sentido de comprender y establecer relaciones entre objetos de la naturaleza.
  • Las relaciones de equivalencia son mecanismos imprescindibles que permiten determinar la vinculación existente entre uno o más elementos de un conjunto, así mismo permite una diferenciación entre las particularidades que poseen los elementos de clases de equivalencia distintas.

 

REFERENCIAS BIBLIOGRAFICAS

 

Asghari. (2010). A mod dictator partitions his country.

Asghari. (2019). Equivalence: An Attempt at a History of the Idea. Synthese(196), 4657–4677.

Asghari, A. H. (2009). Experiencing equivalence but organizing order. Educ Stud Math(71), 219–234.

Bible, S. I. (1999). La Santa Biblia Nueva Versión International. Colorado Springs, CO. EE.UU.

Chapra, S., & Raymond, C. (2007). Métodos Numéricos para Ingenieros. McGraw Hill Interamerica.

Cuervo, B. (2017). La sociedad en el Egipto de los faraones. Historia Digital.

Curveira, D., & Bravo, G. (2013). Tratamiento de Conceptos Matemáticos y su repercusión en el proceso de formación profesional. Universidad y Sociedad, 10.

Gónzalez, F. (2004). Apuntes de Matemática Discreta y Relaciones de Equivalencia. Madrid, España: Universidad de Cadíz.

ICCA. (2002). Cría de Abejas Reinas. SAGARPA.

Joyce, D. (1996, Enero 12). Elementod de Euclide. Libro 1. Nociones Comunes. Retrieved from http://ficus.pntic.mec.es/~jgog0066/pitag_web/noccom.html

Kennet, R. (2004). Matmemática Discretas y sus aplicaciones. Madrid, España: McGraw-Hill/Interamericana de España S. A. U.

Koulikov. (1982). Algébre et théorie des nombres. Francia: Mir.

NICAMATE. (2019). Matemática 7. Managua, Nicaragua: JICA - Ministerio de Educación (MINED).

RAE. (2001, Marzo 5). Diccionario de la Lengua Española (2001). Retrieved from https://www.rae.es/drae2001/problema

Revilla. (2010). Cursos Matematicos - Relaciones de Equivalencia.

Rojo, A. (1996). Algebra I. Buenos Aires: El Ateneo.

UTPL. (2021, Enero 11). La educación actual requiere innovación y lidereazgo. (U. T. Ecuador, Ed.) Retrieved from https://noticias.utpl.edu.ec/la-educacion-actual-requiere-innovacion-y-liderazgo


© 2023 Revista Científica de FAREM-Estelí.
Este trabajo está licenciado bajo una Licencia Internacional Creative Commons 4.0 Atribución-NoComercial-CompartirIgual.

Ciencias de la Educación

 

Ciencias de la
Educación