Ingrid Judith Orozco Martínez
Licenciada en Ciencias de la Educación con Mención en Matemática, Estudiante de Doctorado en Matemática Aplicada. FAREM-Matagalpa
https://orcid.org/0000-0002-1362-3579
judithorozco655@gmail.com
Iván Augusto Cisneros Díaz
Doctor en Matemática Aplicada, Universidad Nacional Autónoma de Nicaragua. UNAN-Managua, Nicaragua
https://orcid.org/0000-0003-2014-1946
ivan.cisneros@unan.edu.ni
21/07/2022
28/10/2022
Este trabajo presenta las demostraciones analíticas de la fórmula del área de la circunferencia, elipse y esfera, mediante integración en una variable e integración doble, utilizando los sistemas de coordenadas rectangulares, polares, esféricas, mediante el teorema del cambio de variables. Se presenta también una aplicación del teorema de Green, el cual constituye un clásico de los teoremas del Análisis Vectorial. El objetivo central es mostrar diversas variantes demostrativas mediante integración en una y dos variables y reconocer que el estudio de las diferentes técnicas y métodos de integración permiten aplicar el cálculo diferencial e integral a la resolución de problemas prácticos que se presentan en diversas situaciones demostrativas de la matemática. Cabe destacar que estas formas de demostraciones están basadas en las propiedades de la integral en una y varias variables, así también como en las aplicaciones de los sistemas de coordenadas rectangulares, polares y esféricos. La aplicación del Jacobiano al desarrollo de la integración de forma polar ofrece un camino de cambio de coordenadas que permite desarrollar diversos problemas de integración a situaciones más fáciles de integrar y por ende de obtener nuevas generalizaciones en algunas curvas cerradas, tales es el caso de la elipse y la esfera. El concepto de área y de volumen se generaliza a diversas figuras cerradas y esto permite una mayor generalidad a dichos conceptos por medio de integración. Estas demostraciones podrán construirse mediante otras estrategias de enseñanzas y aprendizaje, todas ellas basadas en el concepto de integración.
Área; circunferencia; volumen; integración.
This work presents the analytical demonstrations of the formula for the area of the circumference, ellipse and sphere, by means of integration in one variable and double integration, using the rectangular, polar and spherical coordinate systems, by means of the change of variables theorem. An application of Green's theorem is also presented, which constitutes a classic of the theorems of Vector Analysis. The main objective is to show diverse demonstrative variants by means of integration in one and two variables and to recognize that the study of the different techniques and methods of integration allow the application of differential and integral calculus to the resolution of practical problems that arise in diverse demonstrative situations of mathematics. It should be noted that these forms of demonstrations are based on the properties of the integral in one and several variables, as well as on the applications of rectangular, polar and spherical coordinate systems. The application of the Jacobian to the development of polar form integration offers a path of change of coordinates that allows the development of various integration problems to situations easier to integrate and thus to obtain new generalizations in some closed curves, such is the case of the ellipse and the sphere. The concept of area and volume is generalized to several closed figures and this allows a greater generality to these concepts by means of integration. These demonstrations can be constructed by means of other teaching and learning strategies, all of them based on the concept of integration.
Area; circumference; volume; integration.
Uno de los principales problemas estudiado dentro del desarrollo metodológico de la matemática, es la construcción de las demostraciones matemáticas (Orozco, 2022). Los teoremas desarrollados en este artículo están referidos a la aplicación de la teoría de integración en una y varias variables y constituyen teoremas clásicos del área de la geometría, lo novedoso de este desarrollo, es presentar sus demostraciones mediante la aplicación de la teoría de integración. Por otro lado, deducir algunas consecuencias de área y volumen, mediante la combinatoria del cálculo diferencial e integral. Se considera importante señalar que la justificación teórica de las demostraciones matemáticas es importante, ya que permite ampliar el horizonte lógico y abstracto de la matemática (Orozco, 2022).
Las diversas variantes demostrativas usando la teoría de integración abarca las coordenadas cartesianas o rectangulares, polares y esféricas, además, de la aplicación de una variante del Teorema de Green aplicado a figuras de regiones cerradas. Desde un punto de vista teórico como práctico de las matemáticas aplicadas, ponen de manifiesto un alto nivel de interés teórico en el desarrollo de la matemática y especialmente en las demostraciones de dichas fórmulas (Orozco, 2022)
Entre los principales valores metodológicos de este artículo, se pueden mencionar (Orozco, 2022):
Por otro lado, la relevancia fundamental del trabajo consiste en la posibilidad de poder combinar diferentes técnicas, procesos y métodos del cálculo integral para la obtención de diferentes fórmulas clásicas de áreas y volumen por medio de diversos sistemas de coordenadas matemáticas y por la teoría de integración en una y varias variables.
Su aplicabilidad se puede materializar en los diferentes cálculos de áreas o volúmenes que se establecen para figuras geométricas irregulares, donde los procesos y métodos de integración en una y varias variables puedan aplicarse para su posible desarrollo matemático.
En este apartado se desarrollan diferentes variantes demostrativas de las fórmulas de área de la circunferencia, elipse y esfera, aplicando el cálculo integral en una y en varias variables. Se muestran el uso de coordenadas polares, cambio de variables y aplicación de métodos de integración, con el objeto de poder integrar diferentes regiones del plano y obtener los respectivos desarrollos de las fórmulas de áreas. La metodología empleada es la resolución de diversas integrales en el plano mediante diversas y combinadas técnicas de integración.
La metodología empleada en este trabajo siguió las siguientes etapas:
Fórmulas del área de la circunferencia, elipse y esfera.
Teorema 1: El área de una circunferencia de radio r está dada por (Barnet, 1991)
A = π2
Demostración 1: Consideremos una circunferencia de radio r centrada en el origen, dicha ecuación está dada por:
x2 + y2 = r2
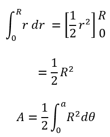
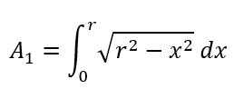
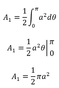
al despejar y de la ecuación anterior, obtenemos que y=√(r2 - x2) e integrando para el primer cuadrante, por medio de una integral en una variable, obtenemos
utilizando el método de integración trigonométrica (Aguilar, 2010), haciendo
y sustituyendo en la integral dada, se tiene:
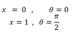
Haciendo un cambio de límite de integración, donde x = rsenθ, se tiene que si
Luego
Lo cual es el cálculo para el primer cuadrante, luego el área total es 4 veces el área del primer cuadrante, es decir
A = 4A1
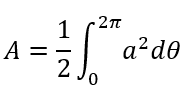
Demostración 2: Sabemos que la ecuación en coordenadas polares de la circunferencia es r = a y que el área de una región en coordenadas polares está dada por (Aguilar, 2010)
luego
Evaluando la integral por medio del Teorema Fundamental del Cálculo, obtenemos
Demostración 3: Se pudo haber calculado el área entre 0 y π (Es decir la mitad de la circunferencia) y después multiplicar por 2, y el resultado obtenido sería
Luego, el área total es
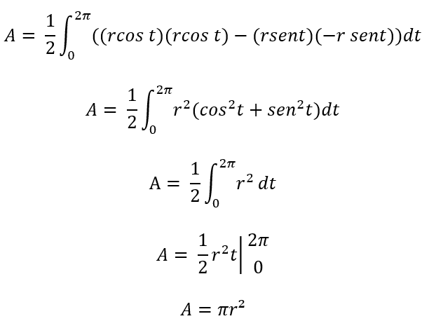
Demostración 4: Utilizando coordenadas polares y sabiendo que las ecuaciones paramétricas de la circunferencia son (Cervantes, 2008)
x = rcos t , y=rsin t , 0 ≤ t ≤ 2π
Al derivar
dx = -rsin t , dy=rcos t
entonces usando la variante de área definida por la integral de línea del Teorema de Green (Cervantes, 2008), se tiene
Y al sustituir el valor de las variables junto con sus derivadas, se tiene
Circunferencia Unitaria
Teorema 2: El área de una circunferencia unitaria de centro el origen está dada por (Barnet, 1991)
A = π
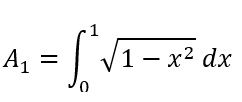
Demostración: En el caso de una circunferencia unitaria, es decir, de radio r=1, centrada en el origen, e integrando para el primer cuadrante, al despejar y, se obtiene
aplicando sustitución trigonométrica y derivando, obtenemos
x = senθ , dx=cosθ dθ
sustituyendo en la integral anterior, se tiene
Haciendo un cambio de límite de integración, donde x=senθ, (Aguilar, 2010) se tiene que si
Luego, al sustituir y efectuar el cambio de variable, obtenemos
al multiplicar por 4, obtenemos el área total de la circunferencia de radio 1, es decir,
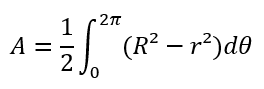
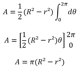
Teorema 3: El área de una Corona Circular está dado por (Barnet, 1991)
A = π(R² - r²)
donde R y r son los radios mayor y menor respectivamente de dicha corona circular.
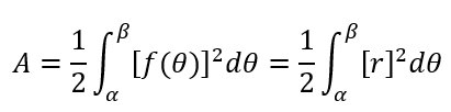
Demostración: Desde el punto de vista de coordenadas polares y de acuerdo a la gráfica

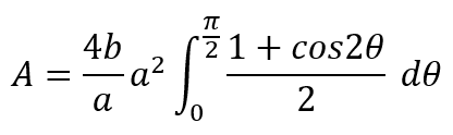
Y las ecuaciones R= f(θ), r=g(θ) , su área en coordenadas polares, estaría dada por (Cervantes, 2008)
Entonces
Al sacar fuera las constantes, tenemos
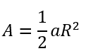
Sector Circular
El cálculo del área de un sector circular lo podemos obtener mediante el empleo de integrales dobles, en la figura siguiente, tenemos un sector circular de radio R y ángulo α

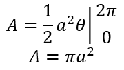
Teorema 4: El área de un sector circular está dado por (Barnet, 1991)
Donde α es el angulo central y R es el radio de la circunferencia.
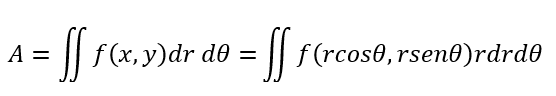
Demostración: Por teorema de cambio de variable en coordenadas polares y utilizando el Jacobiano (Cervantes, 2008), obtenemos
Entonces, al expresarlo como una integral doble
pero
Luego
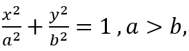
Vamos a considerar una curva cerrada que es muy estudiada en la geometría analítica y la cual es parecida a la circunferencia, esta curva es la elipse, cuyas ecuaciones paramétricas son similares a la de la circunferencia. Para este particular, haremos el desarrollo en dos partes, primero para la parte rectangular o cartesiana y para la parte polar, al final del artículo.
Teorema 5: El área de la elipse es (Cervantes, 2008)
A = πab
Donde a y b son los ejes mayor y menor respectivamente.
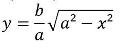
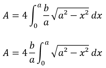
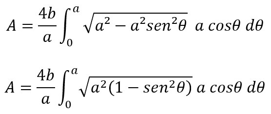
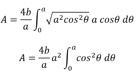
Demostración: Consideremos la ecuación en coordenadas rectangulares o cartesiana de la elipse donde su gráfica está dada por

despejando la variable y, y tomando la parte positiva de la función, se obtiene
luego integrando la parte ubicada en el primer cuadrante y multiplicando por 4, para obtener el área total, se tiene
utilizando sustitución trigonométrica y su respectiva derivada
Luego
haciendo un cambio de límite de integración
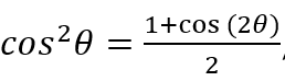
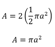
y utilizando la identidad trigonométrica del , se tiene
Que, al evaluar al aplicar el Teorema Fundamental del Cálculo, obtenemos
Teorema 6: El área de la elipse es
A = πab
Donde a y b son los ejes mayor y menor respectivamente.
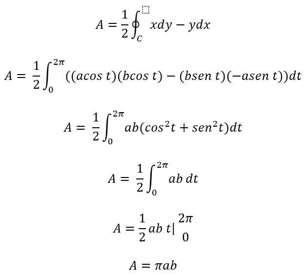
Demostración: Las ecuaciones paramétricas de la elipse son (Aguilar, 2010)
x=acos t , y=bsin t , 0≤t≤2π
Que al derivar
dx=-asen t , y=bcos t
Y aplicando la fórmula de área de la variante del Teorema de Green (para curva cerrada), se tiene
Teorema 7: El área de una esfera está dada por (Barnet, 1991)
V = 4πr²
donde r es el radio de la esfera.
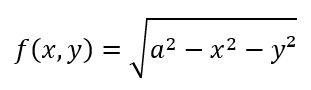
Demostración: La ecuación de la esfera es
x²+y²+z²=a²
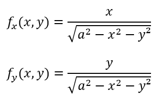
al tomar la parte positiva de la función, obtenemos
obtenemos la ecuación de la semi-esfera. Al calcular sus derivadas parciales, obtenemos
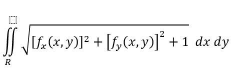
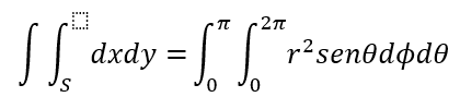
Además, el área de la superficie está dada por (Cervantes, 2008)
entonces, al utilizar las derivadas parciales y al sustituir en la fórmula anterior, se obtiene
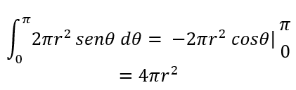
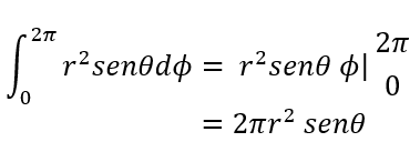
al usar ahora coordenadas polares (Por teorema de cambio de variable y utilizando el Jacobiano), la expresión anterior toma la forma
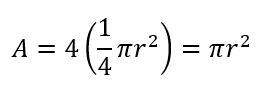
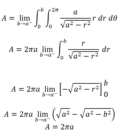
al multiplicar por 2, obtenemos el área total de la esfera, el cual equivale a
A=4πa2
Es decir, el área de la superficie de una esfera es cuatro veces el área de su sección transversal, por tanto, el área de superficie de una esfera de radio a es cuatro veces el área del círculo que la genera. Éste fue uno de los grandes descubrimientos de Arquímedes en el siglo III a.C.
Demostración 2: La ecuación de la esfera en coordenadas cartesianas es x2 + y2 + z2 = R utilizando coordenadas esféricas y parametrizando dicha curva, se obtiene (Cervantes, 2008)
Donde
calculando el determinante de la matriz Jacobiana (Aguilar, 2010), se obtiene
Para calcular el área, calcularemos el recinto recorrido por la parametrización con r = R. Calculamos la integral haciendo por medio del teorema del cambio de variable (Cervantes, 2008), luego
Ahora
Luego
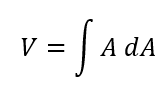
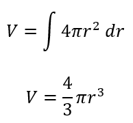
Una observación importante de la formula anterior es que el área es una función que depende de la variable r, podemos integrarla y obtener
Luego
Y mediante esta técnica, hemos obtenido la fórmula del volumen de un esfera de radio r (Barnet, 1991).
Los resultados obtenidos sobre la longitud y área de la circunferencia, son producto de la aplicabilidad de la teoría de integración en una y varias variables, utilizando el sistema de coordenadas rectangulares y polares, esto permitió obtener diversas variantes de teoremas de área y volúmenes, concerniente al área disciplinar de geometría, mostrando diferentes variantes demostrativas que permitieron combinar aspectos geométricos con elementos de la teoría de integración.
Es necesario e importante señalar que se obtuvieron los siguientes resultados:
Las principales conclusiones del presente trabajo se pueden resumir en:
Aguilar, A. (2010). Calculo Diferencial e Integral. Mexico: Pearson Educación.
Barnet, R. (1991). Geometria. Mexico: McGraw Hill.
Cervantes, F. (2008). Métodos Operativos de Cálculo Integral. Mexico: Academia de Matemáticas del Colegio de Ciencia y Tecnología de la UACM.
Orozco, I. J. (2022). Acerca de la diagonal del Cuadrado. Revista de Divulgacion y Prensa, Farem-Chontales.
Orozco, I. J. (2022). Área del Rectángulo y Triángulo Equilátero. Revista de Divulgacion y Prensa de la Farem-Chontales.
© 2022 Revista Científica de FAREM-Estelí.
Este trabajo está licenciado bajo una Licencia Internacional Creative Commons 4.0 Atribución-NoComercial-CompartirIgual.