Modelo de transporte aplicado a una empresa distribuidora de cemento. Caso de estudio en Ecuador

Transportation model applied to a cement distribution company. Case study in Ecuador

 

Carlos Ernesto Flores Tapia
Profesor Investigador - Pontificia Universidad Católica del Ecuador
https://orcid.org/0000-0002-1892-6309
cflores@pucesa.edu.ec, florestapiacarlos@yahoo.com

Karla Lissette Flores Cevallos
Doctoranda en Dirección de Empresas y Entorno Económico –Universidad de Cádiz, España-Investigadora Directora Ejecutiva - Fundación Los Andes, Ecuador.
https://orcid.org/0000-0003-0851-5319
karla.floresceva@alum.uca.es, lisceva94@gmail.com

 

RECIBIDO

11/06/2021

ACEPTADO

15/11/2021

 

RESUMEN

Este artículo aplica el método de transporte utilizando el simplex de programación lineal en la empresa objeto de estudio, para obtener planes de envío óptimos minimizando los costos totales del producto estrella, el cemento tipo GU para construcción en general. Se sigue la metodología de Investigación de Operaciones, esto es, una vez definido el problema se establece la función objetivo y las restricciones del modelo matemático, luego se procesa el modelo utilizando el software Solver – Excel y se obtiene la solución óptima. Además, se prueba que, eventualmente, si se modifican los valores de las restricciones se incide en la función objetivo de minimización, favoreciendo así la toma de decisiones a favor de la obtención de beneficios económicos para las empresas.

 

PALABRAS CLAVES

Investigación de operaciones; modelo de transporte; costos; Administración de Empresas.

 

ABSTRACT

This paper applies the transportation method using the linear programming simplex in the company under study, to obtain optimal shipment plans minimizing the total costs of the star product, GU type cement for general construction. The Operations Research methodology is followed, that is, once the problem is defined, the objective function and the restrictions of the mathematical model are established, then the model is processed using the Solver - Excel software and the optimal solution is obtained. In addition, it is proved that, eventually, if the values of the restrictions are modified, the objective function of minimization is affected, thus favoring the decision making in favor of obtaining economic benefits for the companies.

 

KEYWORDS

Operations research; transportation model; costs; Business Administration.

 

INTRODUCCIÓN

 

La Investigación de Operaciones consiste en un conjunto de técnicas que contribuyen a la solución de problemas de una amplia gama de actividades, mediante la aplicación de diversos métodos sustentados en modelos matemáticos. Es el caso del método o modelo de transporte, un caso especial del método de Programación Lineal, que busca calcular el costo mínimo de envío de una cantidad determinada de productos desde ciertos puntos geográficos llamados orígenes, hasta los puntos de distribución llamados destinos (Anderson et al., 2016; Winston, 2004).

Por su parte, el método de transporte un modelo matemático, particularmente utilizado por organizaciones empresariales que producen el mismo producto en numerosas plantas y que envía sus productos a diferentes destinos -centros de distribución o almacenes-. También se aplica en la distribución, análisis de localización de plantas y programación de la producción. Se han desarrollado diversos enfoques para resolver este problema de distribución tales como el método de la esquina noroeste, el método modificado de la esquina noroeste -celda mínima-, el método del trampolín -cruce de arroyo, stepping stone-, el método de la distribución modificada –MODI-, el método de aproximación de Vogel y el método simplex, entre otros (Eppen et al., 2000).

En este sentido, el presente artículo pretende dar respuesta a la pregunta: ¿existe o no un óptimo de plan de envío entre centros de producción y centros de consumo para la empresa objeto de estudio? Consecuentemente el objetivo de la investigación es minimizar los costos de envío entre las plantas productoras de cemento y los centros de la empresa Holcim S.A., mediante el modelo de transporte de Investigación de Operaciones. Siendo las hipótesis -nula y alternativa-, las siguientes:

H0: Las cantidades y costos de envíos entre las plantas productoras y los centros de distribución no inciden en los costos totales de la empresa Holcim S.A.
H1: Las cantidades y costos de envíos entre las plantas productoras y los centros de distribución inciden en los costos totales de la empresa Holcim S.A.

Señalado lo anterior, cabe destacar que la Investigación de Operaciones consiste en “el desarrollo y aplicación de técnicas cuantitativas (procedimiento científico) para la solución de los problemas y toma de decisiones que enfrentan tanto los administradores de organizaciones públicas como de organizaciones privadas” (Moya, 2003, p. 24), constituyéndose en una herramienta  clave para  abordar y resolver problemas en las organizaciones, contribuyendo a la reducción de costos y maximización de beneficios económicos.

Por su parte, la Programación Lineal es una de las técnicas más usadas en la resolución de problemas de optimización para la toma de decisiones en diferentes campos y está integrada por los aspectos que guardan relación con la construcción, análisis y resolución de modelos lineales de tipo algebraico. Consta de un  conjunto de restricciones  que han de satisfacer las variables de decisión para que sean tomadas en consideración y un criterio  función objetivo, permitiendo el aprovechamiento al máximo de los recursos comprometidos en los procesos productivos (Prawda, 2004; Render et al., 2012; Taha, 2017).

Por su parte, el método de transporte tiene su origen en la necesidad de enviar productos desde varias fuentes de suministro -oferta- a varios centros de destino –demanda-, siendo los más utilizados los modelos de distribución y los de asignación. Los primeros, consisten en minimizar los costos –u optimizar las ganancias- resultantes de la transportación de productos organizados en un determinado plan de envío óptimo y, en los segundos, se trata de establecer la correspondencia que optimice la relación entre recursos y tareas. El caso estudiado en este artículo se centra en el modelo de transporte, dejando para futuras investigación la aplicación del modelo de asignación, siendo éste, a su vez, un caso especial del método de transporte (Flores-Tapia & Flores-Cevallos, 2018; Hillier & Lieberman, 2015a).

Para desarrollar el modelo de transporte se calculan mediante contabilidad de costos los valores unitarios de envío desde cada una de las plantas a cada uno de los centros de distribución, además de la oferta y la demanda en cada centro, planteando como función objetivo, generalmente, minimizar los costos asociados con la movilización de las mercancías entre los puntos origen con los puntos destino. Entre las técnicas utilizadas para solucionar modelos de transporte se destacan la esquina noroeste, aproximación de Vogel, mínimo costo y el simplex; siendo este último el método que se aplica para el caso de estudio considerado en el presente artículo, por su versatilidad y adaptabilidad a procesos computacionales tales como el software Solver-Excel. Corroborando lo señalado, Ulloa y Protti (2005, p. 80) consideran que el método simplex es “un método sistemático altamente eficiente que permite resolver rápidamente, mediante el uso de programas de computadoras, problemas muy grandes, con gran número de variables, de restricciones o de ambos”, reduciendo así el tiempo y la dificultad en la resolución de los problemas usuales de este tipo a los cuales se enfrentan las empresas.

La herramienta Solver es un complemento de Excel que permite la solución de problemas de programación lineal, tales como problemas de mezcla de productos ya sea de maximización o minimización, problemas de transporte, problemas para la asignación de recursos escasos, entre otros, de una manera fácil y rápida empleando la hoja de cálculo para plantear el modelo. Además, permite obtener inmediatamente los reportes de la solución óptima y el análisis de sensibilidad. Esta herramienta dispone de un conjunto de comandos que permiten encontrar un valor óptimo -mínimo o máximo- configurados de tal manera que en una de las celdas del cuadro de la solución Solver se consigna la fórmula con la  función objetivo, sujeta a las restricciones registradas en una celda denominada variables de decisión, interactuando en el cálculo conjuntamente con las celda objetivo y las celdas de restricciones (Microsoft, 2020).

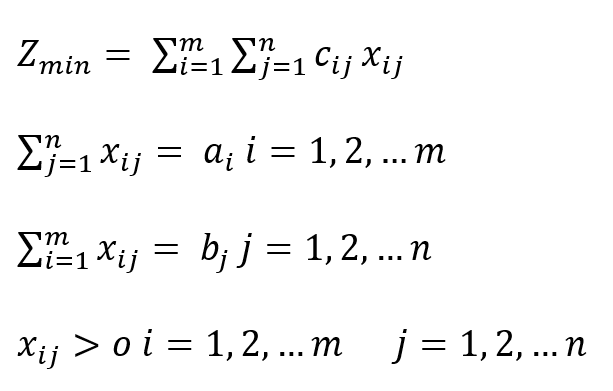
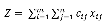
Siguiendo a Hillier y Lieberman (2010), en los problemas de transporte aplicando el método simplex, las variables de decisión se denotan por xij, esto es, el número de bienes que serán transportados del origen i al destino j. Si, además, cij son los costos por unidad trasladada del origen i al destino j, entonces la función que representa los costos de transporte de todas las unidades se calcula sumando el producto del costo unitario por el número de unidades ransportadas desde cada uno de los orígenes a cada uno de los destinos, es decir:

(1)

Las restricciones asociadas con el modelo son:

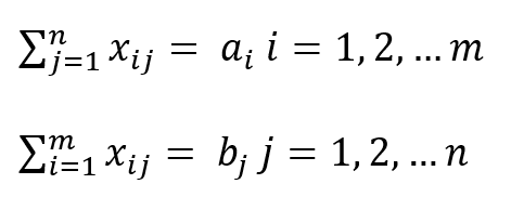
  • La oferta de cada una de las fuentes:

(2)

  • La demanda de cada uno de los centros de distribución:

(3)

Para el modelo matemático se supone que existe equilibrio entre la oferta y la demanda, condición que escribimos matemáticamente como:

(4)

Si éste no es el caso, se agrega un origen artificial, el cual va a producir la cantidad de bienes que haga falta para cubrir la demanda faltante, o bien, si es mayor la oferta, se crea un destino artificial que absorba el excedente de la oferta; en ambos casos los costos de transporte asociados con estos orígenes o destinos ficticios es cero, tal como se indica a continuación:

  • Condiciones de no negatividad:

(5)

Finalmente, el modelo de trasporte en su forma general se escribe así:

(6)

 

(7)

 

(8)

 

(9)

 

Para que un problema pueda ser solucionado por el método de transporte debe reunir tres condiciones:

  • La función objetivo y las restricciones deben de ser lineales.
  • Los artículos deben de ser uniformes e intercambiables, los coeficientes de todas las variables en la ecuación deben de ser 0 o 1.
  • La suma de las capacidades de las fuentes debe ser igual a la suma de los requerimientos de los destinos, si alguna desigualdad existe una variable de holgura deberá ser añadida.

Formulación del problema de transporte

Sea ai la cantidad de producto disponible en el origen i y bj la cantidad de producto requerida en el destino j. El costo de transportar una unidad de origen i al destino j será escrita como cij. Se asume que la cantidad disponible sea igual a la cantidad producida.

(10)

Entonces xij es la cantidad transportada del origen i al destino j. Se desea encontrar las xij ≥ 0, las cuales satisfagan las m + n restricciones.

 

(11)

 

(12)

Y que minimicen:

(3)

El número de celdas asignadas, será igual a m + n + 1, tal como se muestra a continuación en la Tabla 1.

Tabla 1. Representación Tabular

Planta        
1 X11 X12 X1n A1
2 X21 X22 X2n A2
m Xm1 Xm2 Xmn Am
Requerimientos B1 B2 Bn

Fuente: Elaboración propia.

Todas las celdas no asignadas son iguales a cero, por ejemplo, si tenemos una matriz del tamaño de 6x4 (m = 6 y n = 4), entonces el número de celdas asignadas (valores de xij diferentes de cero) será m + n - 1 = 9, y las celdas no asignadas (con valores de xij = 0) serán 6(4)-9=15.

Entre los estudios relacionados con la aplicación del método de transporte, se destaca Ferrer, De los Santos y Coves (2004), quienes presentan un modelo de transporte de distribución usando programación lineal, en cada nivel se distinguen unidades de origen-destino, entre un origen y varios destinos, con transporte directo y con ventanas en las fechas de entrega de los pedidos a transportar; el modelo se valida con los datos proporcionados por una empresa del sector textil que cumple las características requeridas. Así también, Kalenatic, López, González y Rueda (2007), presentan un modelo utilizando para la localización de una plataforma de cross-docking y asignación de medios de transporte que permita garantizar una distribución ágil desde orígenes de suministro hasta los orígenes de demanda. Otro autor, Garcés (2010), expone un modelo de entregas directas como estrategia de reducción de costos logísticos de distribución en empresas de consumo masivo, se basa en el ciclo Deming, aplicado a empresa manufacturera de golosinas para el consumo masivo, lográndose reducciones del costo logístico de 1,1 puntos.

Por su parte, Jansen & Kofle (2001), aplica el modelo de transporte y asignación para la planificación de servicios de salud en las zonas rurales de Ghana y examina varios escenarios para mejorar los aspectos de accesibilidad de la provisión de servicios de salud a la luz de la política actual de servicios de salud de Ghana, seleccionando ubicaciones óptimas y proporcionando estadísticas sobre la distancia promedio a los centros de salud y el porcentaje de la población cubierta. Mientras, Hansen, Beate y Veisten (2014), presentan estimaciones de los costos logísticos en Noruega, mediante el modelo de transporte que incluye funciones de costo detalladas para el transporte y otros componentes de costos de logística junto con un módulo para la elección óptima del tamaño, la frecuencia y el modo de envío. Finalmente, se destaca el trabajo de Bokor (2011), quien identifica las deficiencias de las técnicas utilizadas actualmente para establecer los costos de transporte y asignación y presenta una guía para mejorarlos mediante modelos con aplicaciones piloto.

No obstante, en los estudios antes referidos no se aplica un procedimiento metodológico de la Investigación de Operaciones ni se realizan aplicaciones de minimización de costos calculadas y proyectadas mediante modelos de transporte del simplex de programación lineal como se realizan en la presente investigación.

 

MATERIALES Y MÉTODOS

 

La presente investigación es de tipo cuantitativo, caracterizado según Robbins (2005, p. 32) por el uso de “… herramientas estadísticas, modelos de optimización, modelos de información y simulaciones por computadora a las diferentes actividades de la administración para la toma de decisiones”. El alcance de la investigación es explicativa porque el estudio analiza las causas, condiciones y resultados del caso de estudio aplicando el método simplex de PL (Hernández-Sampieri et al., 2014) y se ajusta a la Metodología de la Investigación de Operaciones, la cual contempla, de acuerdo con los autores Flores Tapia, Flores Cevallos, Mendoza Misse y Valdivieso (2017), Hillier y Lieberman (2015), Taha (2012), las siguientes etapas o fases:

  • Definición del problema y recolección de datos.
  • Formulación de un modelo matemático que represente el problema.
  • Desarrollo de un procedimiento basado en computadora para derivar una solución para el problema a partir del modelo.
  • Prueba del modelo y mejoramiento de acuerdo con las necesidades.
  • Preparación para la aplicación del modelo.
  • Implementación.

A continuación, siguiendo la metodología antes indicada, se desarrolla la aplicación del modelo a la empresa tomada como caso de estudio.

 

RESULTADOS Y DISCUSIÓN

 

La empresa Holcim S.A. (2020), productora y distribuidora de concreto, cemento y hormigón cuenta con dos plantas productoras de cemento en el Ecuador, una, ubicada en la Latacunga y otra, en Guayaquil, las cuales envían el producto a las seis distribuidoras –marca Disensa- ubicadas en Quito, Latacunga, Ambato, Guayaquil, Machala y Riobamba. Siendo los costos de transporte un rubro sensible en las operaciones de la empresa, de allí la necesidad de establecer un plan de envío óptimo que minimice los costos y atienda oportunamente la relación oferta de las dos plantas productoras con la demanda de los seis centros de distribución.

Formulación del modelo matemático

El modelo matemático de transporte para la empresa Holcim S.A. toma en cuenta las unidades o cantidad de sacos de cemento –cada saco contiene 50Kg- tipo GU para construcción en general, disponibles en las plantas productoras para enviarse a las distintas distribuidoras. A continuación, en la Tabla 2 se muestra la oferta y demanda anual entre las plantas productoras y centros de distribución del producto cemento tipo GU.

Tabla 2. Oferta –plantas productoras- y demanda –centros de distribución

Disponibilidades Requerimientos
Plantas cementeras –origen- Unidades Distribuidoras de destino Unidades
Holcim Planta Latacunga 80850 Quito 44500
Holcim Planta Guayaquil 95100 Latacunga 15000
Suma 175950 Ambato 23000
    Guayaquil 40300
    Machala 20150
    Riobamba 33000
Total 175950 Total 175950

Fuente: Elaboración propia.

Asimismo, la empresa facilita los siguientes costos de envío por unidad –saco de cemento- calculados para cada centro de distribución con respecto a cada una de las plantas productoras (Tabla 3).

Tabla 3. Matriz de costos de envío entre plantas productoras y centros de distribución –USD.

Planta Distribuidora de destino
Disensa Quito Disensa Latacunga Disensa Ambato Disensa Guayaquil Disensa Machala Disensa Riobamba
Holcim Planta Latacunga 2 0,5 0,8 2,5 2,3 1,85
Holcim Planta Guayaquil 1 2,5 3 0,4 1,8 1,75

Fuente: Elaboración propia.

Ahora bien, la función objetivo y las restricciones del modelo simplex de programación lineal del modelo de transporte que calculan el óptimo de minimización de costos se formula así:

Z (min) = ΣCij Xij (14)

Desarrollo del procedimiento establecido en computadora para para derivar una solución para el problema a partir del modelo

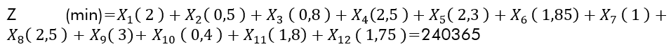
Se procede a reemplazar en el modelo matemático los valores facilitados por la empresa con los costos actuales para el año en estudio -2019-, quedando la función objetivo así:

 

Asimismo, la matriz de restricción de costos de envío incorporando la oferta de las plantas productoras y la demanda de los centros de distribución de Holcim S.A. queda como se muestra a continuación en el Tabla 4.

Tabla 4. Matriz de costos de envío, oferta y demanda de cemento tipo GU

Planta Distribuidora de destino Oferta
Disensa Quito Disensa Latacunga Disensa Ambato Disensa Guayaquil Disensa Machala Disensa Riobamba
Holcim Planta Latacunga 2 0,5 0,8 2,5 2,3 1,85 80850
Holcim Planta Guayaquil 1 2,5 3 0,4 1,8 1,75 95100
Demanda 44500 15000 23000 40300 20150 33000 175950

Fuente: Elaboración propia.

El modelo matemático formulado para minimizar costos de envío para la empresa objeto de estudio se soluciona utilizando el software Solver – Excel, obteniéndose como solución un costo óptimo de USD. 240.365,00 en virtud de las correspondientes unidades enviadas que se muestran a continuación en la Tabla 5.

Tabla 5. Matriz solución de envíos desde las plantas productoras hasta los centros de distribución

Planta Distribuidora de destino Oferta
Disensa Quito Disensa Latacunga Disensa Ambato Disensa Guayaquil Disensa Machala Disensa Riobamba
Holcim Planta Latacunga 44500 6650 0 0 0 0 80850
Holcim Planta Guayaquil 0 8350 23000 40300 20150 3300 95100
Demanda 44500 15000 23000 40300 20150 33000 175950

Fuente: Elaboración propia.

Prueba del modelo y mejoramiento de acuerdo con las necesidades

La empresa objeto de estudio prepara una proyección de costos de envío entre las plantas productoras de cemento y los centros de distribución para el año 2020, tal como se muestra en la Tabla 6, no obstante, mantiene los valores de oferta y demanda entre los orígenes y destinos para el producto cemento tipo GU.

Tabla 6. Matriz de costos de envío, oferta y demanda de cemento tipo GU –proyectados 2020-

Planta Distribuidora de destino
Disensa Quito Disensa Latacunga Disensa Ambato Disensa Guayaquil Disensa Machala Disensa Riobamba
Holcim Planta Latacunga 1,5 0,4 0,7 2 2 1,7
Holcim Planta Guayaquil 0,8 2 2,5 0,3 1,5 1,6

Fuente: Elaboración propia.

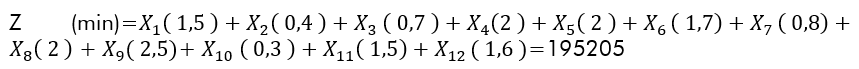
Se procede a reemplazar en el modelo matemático los valores facilitados por la empresa con los costos proyectados para el año en estudio -2020-, quedando la función objetivo así:

 

Asimismo, la matriz de restricción de costos de envío incorporando la oferta de las plantas productoras y la demanda de los centros de distribución de Holcim S.A. para el año 2020 queda como se muestra a continuación en el Tabla 7.

Tabla 7. Matriz de costos de envío, oferta y demanda de cemento tipo GU –proyectados 2020-

Planta Distribuidora de destino Oferta
Disensa Quito Disensa Latacunga Disensa Ambato Disensa Guayaquil Disensa Machala Disensa Riobamba
Holcim Planta Latacunga 1,5 0,4 0,7 2 2 1,7 80850
Holcim Planta Guayaquil 0,8 2 2,5 0,3 1,5 1,6 95100
Demanda 44500 15000 23000 40300 20150 33000 175950

Fuente: Elaboración propia.

Ahora, el modelo matemático formulado para minimizar costos de envío para la empresa objeto de estudio, correspondiente a los valores proyectados para el año 2020, se soluciona utilizando el software Solver – Excel, obteniéndose como solución un costo óptimo de USD. 195.205,00 en virtud de las correspondientes unidades enviadas que se muestran a continuación en la Tabla 8.

Tabla 8. Matriz solución de envíos desde las plantas productoras hasta los centros de distribución –proyectados 2020-

Planta Distribuidora de destino Oferta
Disensa Quito Disensa Latacunga Disensa Ambato Disensa Guayaquil Disensa Machala Disensa Riobamba
Holcim Planta Latacunga 44500 6650 0 0 0 0 80850
Holcim Planta Guayaquil 0 8350 23000 40300 20150 3300 95100
Demanda 44500 15000 23000 40300 20150 33000 175950

Fuente: Elaboración propia.

Luego de los cálculos realizados con la herramienta Solver, la regla de decisión de la simulación, si se enfoca la publicidad únicamente en el producto sillones, con una asignación presupuestaria de hasta USD. 500, se incrementan las utilidades, obteniéndose un nuevo óptimo a la función objetivo inicialmente planteada. La regla de decisión gerencial en este caso es vender 3.200 unidades del producto alfombras, 300 unidades del producto mesas y 500 unidades del producto sillones, obteniéndose una ganancia de USD. 99.500,00 superiores a los USD. 97.750,00 obtenidos con las condiciones del planteamiento inicial del problema de maximización.

A continuación, en la Tabla 9, se presentan los planes de envío de minimización de costos para el producto cemento tipo GU, obtenidos con la aplicación del modelo de transporte simplex de programación lineal, correspondientes tanto a la solución óptima una vez procesados los datos de la matriz de costos original para el año 2019 como a sus variaciones presentadas en la matriz de costos proyectados para el año 2020.

Tabla 9. Resultados óptimos de planes de envío 2019 y 2020 –empresa Holcim S.A.-

Cementera Distribuidora de destino Cantidad
-unidades-
Costo
USD.
Costo Total
USD.
Cantidad
-unidades-
Costo
USD.
Costo Total
USD.
Holcim Planta Latacunga Quito 44500 2 89000 44500 1,5 66750
Latacunga 6650 0,5 3325 6650 0,4 2660
Holcim Planta Guayaquil Ambato 23000 3 69000 23000 2,5 57500
Guayaquil 40300 0,4 16120 40300 0,3 12090
Machala 20150 1,8 36270 20150 1,5 30225
Riobamba 3300 1,75 5775 3300 1,6 5280
Latacunga 8350 2,5 20875 8350 2 16700
Costo total mínimo   240365     191205

Fuente: Elaboración propia.

Los resultados anteriores evidencian que, por razones de costos de envío la planta productora de Latacunga resulta abastecedora óptima para los centros de distribución ubicados en las ciudades de Quito y Latacunga, mientras que desde la planta productora de Guayaquil se optimizan los envíos a los centros de distribución ubicados en las ciudades de Ambato, Guayaquil, Machala, Riobamba y, una parte, también a Latacunga; logrando de esta manera, en las dos alternativas calculadas de optimización de costos –años 2019 y proyectados 2020- cubrir la demanda con la oferta disponible de la empresa Holcim S.A. Obviamente, cuando se proyectan costos de envío ligeramente reducidos entre todas las plantas productoras y centros de distribución se logra una solución óptima con menores costos totales. Por lo tanto, en el caso de que se realizan simulaciones de variaciones reduciendo costos, pero manteniendo las cantidades ofertadas y demandadas entre plantas productoras y centros de distribución, es posible obtener una función de minimización aún menor, redundando en mayores beneficios económicos para la empresa objeto de estudio. La preparación para la aplicación del modelo y su implementación queda en manos de los tomadores de decisión de la empresa y sus administradores, sobre la base de los resultados obtenidos.

Todo lo anterior corrobora la fundamentación teórica que sustenta esta investigación, principalmente lo señalado por los autores Flores-Tapia & Flores-Cevallos (2018), Hillier y Lieberman (2010), Prawda (2004), Render et al. (2012), Taha (2012) y Wayne (2004), entre otros.

 

CONCLUSIONES

 

El modelo matemático del método de transporte aplicando simplex de programación lineal se configura utilizando ecuaciones e inecuaciones algebraicas que permiten la solución óptima de problemas de minimización de costos de envío entre plantas productoras y centros de distribución, como se ha comprobado en el caso de estudio aquí desarrollado. No obstante, puede aplicarse también a problemas de maximización de ingresos y utilidades resultantes de planes de envío si la matriz de costos original se cambia por una matriz de ingresos o utilidades. Este cálculo lo facilitan aplicaciones de software como el utilizado en este caso, Solver – Excel.

Así también, el artículo verifica que existe un óptimo de minimización de costos dadas ciertas condiciones y que se puede también obtener un óptimo si se modifican las restricciones en el problema de minimización inicialmente planteado, alcanzándose a lo largo del desarrollo del estudio el objetivo inicialmente planteado, esto es, es minimizar los costos de envío entre las plantas productoras de cemento y los centro de la empresa Holcim S.A., mediante el modelo de transporte de Investigación de Operaciones.

Además, se comprueba el cumplimiento de la hipótesis alternativa establecida inicialmente, esto es, las cantidades y costos de envíos entre las plantas productoras y los centros de distribución inciden en los costos totales de la empresa Holcim S.A., por cuanto una vez que se procede con la reducción de costos proyectados para el año 2020 se constata un valor mucho menor en la solución óptima de la función objetivo de minimización de costos, reduciéndose de USD. 240.365,00 a USD. 191.205,00.

Por otra parte, cabe destacar que la aplicación de los modelos cuantitativos de Investigación de Operaciones con el apoyo de herramientas informáticas, como por ejemplo Programación lineal mediante Solver - Excel, contribuyen con información procesada técnicamente para la toma de decisiones técnicas en las organizaciones, confirmando su utilidad -más aún si las condiciones internas y del entorno empresarial resultan cada vez más complejas-. No obstante, es necesario recordar que este tipo de métodos también tienen limitaciones, por cuanto los modelos matemáticos no tienen la capacidad de incorporar todas las variables de una determinada realidad, son una representación o aproximación de esa realidad; quedando las decisiones de las empresas, en última instancia, en la capacidad gerencial de su talento humano y en su habilidad para apoyarse en este tipo de resultados. 

Finalmente, se recomienda en investigaciones futuras complementar el uso de la programación lineal con otros métodos de la Investigación de Operaciones, como por ejemplo el método de redes y simulaciones, de tal manera que la empresa cuente con soluciones cada vez más técnicas que apoyen la toma de decisiones.

 

REFERENCIAS

 

Anderson, D., Sweeney, D., & Williams, T. (2016). Métodos cuantitativos para los negocios (13th ed.). Cengace Learning.

Bokor, Z. (2011). Improving transport costing by using operation modeling. Transport, 26(2), 128–132. https://www.tandfonline.com/action/showCitFormats?doi=10.3846%2F16484142.2011.586111

Eppen, G., Gould, F., Schmidt, C., Moore, J., & Weattherford, L. (2000). Investigación de operaciones en la ciencia adminsitrativa (5th ed.). Prentice Hall Inc. https://jrvargas.files.wordpress.com/2009/01/investigacic3b3n-de-operaciones-en-la-ciencia-administrativa-5ta-edicic3b3n.pdf

Ferrer, L., De los Santos, A., & Coves, A. (2004). Modelado del transporte de distribución mediante programación lineal entera. Información Tecnológica, 15(4), 65–70. https://upcommons.upc.edu/handle/2117/6099

Flores-Tapia, C., Flores-Cevallos, K., Mendoza, A., & Valdivieso, A. (2017). Análisis del volumen de ventas de rosas en la empresa “High conecction flowers” aplicando diseño de experimentos: caso particular. Scientia et Technica, 22(3), 281–287. https://doi.org/10.22517/23447214.13891

Flores-Tapia, C., & Flores-Cevallos, L. (2018). Investigación Operativa. Fundación Los Andes. http://186.71.28.67/isbn_site/catalogo.php?mode=detalle&nt=63085

Garcés, C. (2010). Modelo de entregas directas para la reducción de costos logísticos de distribución en empresas de consumo masivo: aplicación en una empresa piloto de Caldas [Universidad Nacional de Colombia]. https://repositorio.unal.edu.co/handle/unal/3371?show=full

Hansen, W., Beate, I., & Veisten, K. (2014). Logistics costs in Norway: comparing industry survey results against calculations based on a freight transport model. International Journal of Logistics Research and Applications, 17(6), 485–502. https://www.tandfonline.com/action/showCitFormats?doi=10.1080%2F13675567.2014.899568

Hernández-Sampieri, R., Fernández, C., & Baptista, P. (2014). Metodología de la Investigación. McGraw Hill. http://observatorio.epacartagena.gov.co/wp-content/uploads/2017/08/metodologia-de-la-investigacion-sexta-edicion.compressed.pdf

Hillier, F., & Lieberman, G. (2015a). Introduction to Operations Research (10th ed.). McGraw Hill. https://www.academia.edu/36556707/Introduction_to_Operations_Research_by_Hillier_10th_Edition

Hillier, F., & Lieberman, G. (2015b). Investigación de operaciones (10th ed.). McGraw Hill. https://uca.summon.serialssolutions.com/search?s.q=hillier+investigacion+de+operaciones#!/search/document?ho=t&l=es-ES&q=hillier investigacion de operaciones&id=FETCHMERGED-uca_catalog_9108002

Holcim S.A. (2020). Holcim Ecuador. https://www.holcim.com.ec/

Jansen, L., & Kofle, R. (2001). Exploiting available data sources: location/allocation modeling for health service planning in rural Ghana. Geografisk Tidsskrift-Danish Journal of Geography, 101(1), 145–153. https://www.tandfonline.com/action/showCitFormats?doi=10.1080%2F00167223.2001.10649457

Kalenatic, D., López, C., González, L., & Rueda, F. (2007). Modelo para la localización de un plataforma de cross docking en el contexto de logística focalizada. Ingneiería, 13(2), 36–44. https://revistas.udistrital.edu.co/index.php/reving/article/view/2668

Microsoft. (2020). Microsoft Office Excel-Solver. https://www.microsoft.com/es-ec/

Moya, M. (2003). Investigación de Operaciones - la Programación Lineal (3rd ed.). Universidad Nacional a Distancia Costa Rica.

Prawda, J. (2004). Métodos y modelos de Investigación de Operaciones. Limusa. http://www.bibvirtual.ucb.edu.bo:8000/opac/Record/41750/Details

Render, B., Stair, R., & Hanna, M. (2012). Métodos cuantitativos para los negocios (11th ed.). Pearson.

Robbins, S. (2015). Administración (12th ed.). Pearson Educación. https://docs.google.com/viewer?a=v&pid=sites&srcid=ZGVmYXVsdGRvbWFpbnxmY3B5c3RhanVhcmV6fGd4OjI5NTM0NDQwNjE0ODI4MzE

Taha, H. (2017). Investigación de operaciones (Vol. 10). Pearson Educación.

Ulloa, L., & Protti, M. (2005). Investigación de Operaciones. Universidad Nacional a Distancia Costa Rica.

Winston, W. (2004). Investigación de operaciones: aplicaciones y algoritmos: Vol. 4a. Thomson. https://es.calameo.com/read/00084000223a91248b4af


© 2021 Revista Científica de FAREM-Estelí.
Este trabajo está licenciado bajo una Licencia Internacional Creative Commons 4.0 Atribución-NoComercial-CompartirIgual.

Ciencias de Económicas y Administrativas

Ciencias Económicas
y Administrativas