Onosma Celine Allen-Siezars
Bluefields Indian & Caribbean University - BICU, Facultad de Recursos Naturales y Medio Ambiente, Apartado postal N° 88, Avenida Universitaria, Bluefields, Nicaragua
https://orcid.org/0000-0002-0745-8298
allenonosma40@gmail.com
Erick Ricardo Thomas Vanega
Bluefields Indian & Caribbean University - BICU, Facultad de Recursos Naturales y Medio Ambiente, Apartado postal N° 88, Avenida Universitaria, Bluefields, Nicaragua
https://orcid.org/0000-0002-7011-202X
erickthomasv@gmail.com
Billy Francis Ebanks Mongalo
Bluefields Indian & Caribbean University - BICU, Facultad de Recursos Naturales y Medio Ambiente, Apartado postal N° 88, Avenida Universitaria, Bluefields, Nicaragua
https://orcid.org/0000-0001-5822-9308
billy.ebanks@bicu.edu.ni
Eduardo Alexander Siu Estrada
Bluefields Indian & Caribbean University - BICU, Facultad de Recursos Naturales y Medio Ambiente, Apartado postal N° 88, Avenida Universitaria, Bluefields, Nicaragua
https://orcid.org/0000-0002-5104-747X
eduardo.siu@bicu.edu.ni
Juan Asdrúbal Flores-Pacheco
Bluefields Indian & Caribbean University - BICU, Dirección de Investigación y Postgrado (DIP), Apartado postal N° 88, Avenida Universitaria, Bluefields, Nicaragua
https://orcid.org/0000-0001-6553-7202
asdrubal.flores@do.bicu.edu.ni
09/04/2021
20/09/2021
El uso indiscriminado de agroquímicos para el control de organismos plagas, especialmente las insectiles, genera problemas que van desde la resistencia a la molécula empleada, el empleo de mayores dosis y/o aumento de la toxicidad de los productos aumentando el riesgo a la vida silvestre y las personas que trabajan en los campos, así como los consumidores finales. En esta investigación se ha determinado la capacidad biocida de extractos de Capsicum annum sobre larvas Spodoptera exigua (lepidóptera: Noctuidae) en relación con la dosis empleada y a la mortalidad obtenida en función del tiempo. Por medio de la escala de Scoville se determinó el índice de picor de tres variedades de chile (habanero, cabro y pimentón). Tras seleccionar la variedad habanera por ser el de mayor grado de picor en base a las pruebas organolépticas se obtuvieron extractos concentrados de pulpa, semilla y fruto entero (factores) de los cuales se derivaron cinco dosis para confirmar la concentración letal 50 (CL50) en larvas de Spodoptera exigua. Los resultados se contrastan contra un testigo positivo y uno negativo por medio de un diseño de bloques al azar. La mayor mortalidad se registró en un lapso de tres horas en los extractos a partir de la semilla de chile habanero con CL50 80 ml L-1 de agua. En pruebas in vivo no se registraron daños a las láminas foliares de los cultivos donde se aplicó el ensayo. Es necesario la continuidad del experimento en distintas fases de desarrollo de cultivos varios, así como el monitoreo de los organismos plagas capaz de controlar.
Bio-insecticida; control de plaga; toxicidad; probabilidad de riesgo; cultivo.
The indiscriminate use of agrochemicals for the control of pest organisms, especially insects, generates problems ranging from resistance to the molecule used, the use of higher doses and/or increased toxicity of the products, increasing the risk to wildlife and people working in the fields, as well as to final consumers. In this research, the biocidal capacity of Capsicum annum extracts on Spodoptera exigua larvae (Lepidoptera: Noctuidae) was determined in relation to the dose used and the mortality obtained as a function of time. By means of the Scoville scale, the hotness index of three chili bell pepper varieties (habanero, cabro and pimentón) was determined. After selecting the habanero variety as the one with the highest degree of hotness based on organoleptic tests, concentrated extracts of pulp, seed and whole fruit (factors) were obtained from which five doses were derived to confirm the lethal concentration 50 (LC50) in Spodoptera exigua larvae. The results are contrasted against a positive and a negative control by means of a randomized block design. The highest mortality was recorded within three hours in the extracts from habanero chili seed with LC50 80 ml L-1 of water. In in vivo tests, no damage to the foliar laminae of the crops where the test was applied was recorded. It is necessary the continuity of the experiment in different stages of development of various crops, as well as the monitoring of the pest organisms able to control.
Bio-insecticide; plague control; toxicity; risk probability; cultivation.
Actualmente se presenta en el mundo una tendencia a la producción y consumo de productos alimenticios obtenidos de manera limpia, es decir sin el uso (o en una mínima proporción) de insecticidas, biocidas, fertilizantes sintéticos y demás insumos de síntesis inorgánica (Jonh Franco, Jerry Betty, Xavier Freire, 2015). Los recursos naturales proveen al ser humano una gran variedad de insumos para la generación de bienes y servicios que satisfacen las necesidades de los pueblos. La importancia del medio ambiente y de preservar la calidad del mismo, es cada vez más evidente debido a fenómenos prolongados en las últimas décadas (Cave et al., 2013).
La determinación de la acción biocida del chile (Capsicum annuum) sobre la larva Spodoptera exigua (Lepidóptera: Noctuidae) disminuirá los daños provocados por esta especie, durante el desarrollo de los cultivos donde destacan hortalizas, gramíneas y en algunos casos incluso árboles y arbustos (Lastres & Soza, 2009). Esta larva incurre en problemas desde la germinación hasta la madurez en los procesos de desarrollo de las plantaciones, degradando la calidad de producción en los sistemas. Este organismo es una plaga de mucho interés a tratar ya que se alimenta de diversas especies, sean perennes, semiperennes y/o anuales en los cuales causa daños en el follaje y frutos afectando directamente la disponibilidad de alimentos y la rentabilidad económica de los cultivos.
La utilización de insecticidas botánicos en la producción contribuye a la calidad de esta y a la eliminación de plagas de manera eficaz. En el caso del chile (Capsicum annuum) que es de fácil acceso para los productores locales, no afecta el medio ambiente y no deja residuos de moléculas toxicas bioacomulables; es una alternativa para el desarrollo de la agricultura orgánica a partir de la validación y generación de alternativas de origen botánico (Lampkin, 2001). Por lo tanto, impulsar un cambio en el uso de pesticidas es un motivo primordial para la sustentabilidad de nuestros sistemas y la preservación del medio ambiente y, por ende, que sea utilizada para la implementación de biopesticidas, los cuales pueda ser aplicado a nivel mundial y en diferentes magnitudes en sistemas de producción (Altieri y Toledo, 2011). La selección de la especie de insecto en la que se evaluó el efecto biocida del extracto vegetal se debe a que esta, Spodoptera exigua, es un insecto polífago de gran interés en cultivos en aspectos económicos y nutricionales de valor para la sociedad de la región latinoamericana (Cave et al., 2013).
En esta investigación se seleccionaron larvas en el III estadio de Spodoptera exigua debido a que es en esta fase de desarrollo donde provocan daños en los cultivos, que se traducen en pérdidas económicas. Para ello se partió de la selección de la variedad de chile (Capsicum annum)con mayor picor. Tomando en cuenta objetivos como la determinación de la Concentración Letal 50% (CL50) y la comparación de cada uno de los tratamientos a fin de identificar la dosis más adecuada para el control de poblaciones de esta plaga de interés agrícola. Se ejecutó en el laboratorio del Centro de Investigaciones Acuáticas de la BICU (CIAB), en el recito de Bluefields, ubicado en el barrio San Pedro, Avenida Universitaria Bluefields, Región Autónoma de la Costa Caribe Sur (RACCS).
En condiciones de laboratorio se extrajo el ingrediente activo de los diferentes extractos de chile, de donde se obtuvieron las respectivas diluciones junto con los tratamientos testigos. Se expusieron las larvas durante su III estadio a cada una de las dosis y se observaron en intervalos de tiempos para el llenado de bitácoras mediante el conteo de mortalidad. Todo esto se realizó durante el periodo 2020. Los resultados que se obtuvieron fueron de importancia teórica y práctica, ya que se busca la reducción de los daños y pérdidas de las cosechas de cultivos que son afectados por Spodoptera exigua.De igual manera, implementar el uso de los plaguicidas orgánicos con esta especie (Capsicum annum), que es usualmente utilizada en la gastronomía. Por otra parte, contribuye a la preservación de los recursos naturales y la calidad del suelo no sufrirá daños por el uso de pesticidas de origen sintético.
Ubicación del estudio
El experimento se desarrolló en el laboratorio del Centro de Investigaciones Acuáticas de la BICU (CIAB), recinto Bluefields, situado en la Avenida Universitaria del barrio San Pedro, de la ciudad de Bluefields, Región Autónoma de la Costa Caribe Sur. El estudio fue experimental porque existe manipulación intencional de una o más variables independientes para medir el efecto en variables dependientes. Es de enfoque cuantitativo debido a la naturaleza de los datos y los procesos posibles con ellos (Hernández et al., 2014). Así mismo, se define de corte transversal porque se llevó en un tiempo limitado en las instalaciones de laboratorio y periodo citado.
Población y muestra
Selección de la variedad de chile con la escala de Scoville
El examen organoléptico de Wilbur Scoville consiste en diluir la solución del extracto de chile con agua azucarada al que se va incorporando más cantidad de agua con azúcar hasta que al probar la solución no deje un residuo de picor (Cedrón, 2013). Se procedió al corte de los chiles enteros en trozos colocando 20 gr en un recipiente de agua de 500 ml. Posteriormente se agitaron por 15 minutos a 50 rev/min. en agua destilada. Tras 10 minutos de reposo se registró el pH de cada recipiente. En cada recipiente se adicionaron 10 gr de azúcar hasta que el picor desaparezca. Previo la cata de cada recipiente se hizo enjuague bucal con café sin azúcar. Se requiere de uso de lentes de protección y accesibilidad a agua y jabón para enjuague en caso de accidentes. Finalmente, con la cata se comparó la sensación organoléptica con la Escala de Scoville.
Se seleccionó la variedad de chile que requiera mayor cantidad de azúcar para reducir la sensación del picor en los catadores.
Muestra
Factores de análisis
Para la investigación, se efectuó observación de las exposiciones estipuladas (tabla 1); como instrumento se utilizó diseños en bloques en el cual están presentes tres variables importantes como lo son el origen, dosis y tiempo. Se diseñaron un total de siete tratamientos y tres factores, para un total de 21 repeticiones (Rahayu & Ustiawan, 2013; Salvatella, 1997).
Tabla 1. Tratamientos experimentales
| Código | Tratamientos Evaluados | Muestra | Larvas por Tratamiento |
|---|---|---|---|
| T1 | 10 ml por litro de agua | 100 | 150 |
| T2 | 20 ml por litro de agua | 100 | 150 |
| T3 | 50 ml por litro de agua | 100 | 150 |
| T4 | 80 ml por litro de agua | 100 | 150 |
| T5 | 100 ml por litro de agua | 100 | 150 |
| T6 | Agua [Testigo positivo] | 100 | 150 |
| T7 | Decis 10EC [Testigo negativo] | 100 | 150 |
| Total | 700 | 1050 | |
Para el desarrollo del diseño experimental se aplicaron siete tratamientos tomando en cuenta tres factores, para un total de 21 repeticiones. A los 100 frutos de chile se caracterizó en términos morfológicos: longitud (mm), diámetro (mm) y peso (gr), así como características anatómicas: cáscara, pulpa y semillas, llenando un formulario de marcadores internacionales establecidos por Biodiversity International y CHERLA (2008) adaptados para la especie, todo esto con el fin de registrar a cada fruta individual y adicionalmente se tomó una fotografía de cada fruto (Uc-Peraza & Delgado-Blas, 2012). Las semillas, exocarpio y fruto entero se secaron a temperatura ambiente durante siete días y en horno de convección a 40° C durante 24 horas para reducir la humedad y con ello riesgos al crecimiento de hongos y/o bacterias en el material de trabajo durante el experimento (Carballo Castillo et al., 2020). Las larvas de Spodoptera exigua se mantuvieron en frascos a los que se les proporcionaron 3 rectángulos foliares de repollo previamente sumergidos en los extractos a ser probado (Rozo et al., 2008). A las larvas se les cambió alimento cada 24 horas, pero solo la primera porción de comida que fue sumergida con los extractos para evitar que se duplique la concentración al aplicar dos veces el tratamiento en las hojas de repollo (Pérez y Iannacone, 2009).
Para la determinación del efecto biocida de los diferentes tratamientos en disolución, al que se expusieron larvas del III estadio de Spodoptera exigua se realizaron los conteos de los individuos muertos una vez transcurrido los intervalos establecidos. Los cuales son 1, 6, 12, 24, 48, 72, 96 horas. Se identificaron por medio de la misma técnica, cuál de los tratamientos en relación con el tiempo tuvo un efecto de letalidad sobre el 50% de la población expuesta, y así identificarla como concentración letal 50% (CL50). Por último, una vez terminada la etapa de muestreos, se hicieron las debidas comparaciones de los resultados obtenidos, de esta manera se determinó la efectividad de cada uno de ellos en función del origen del extracto y el tiempo de acción sobre los individuos. Con ello se determinó la relación entre la dosis, tiempo de viabilidad y factor de origen del extracto utilizado en función de la mortalidad registrada en las larvas de Spodoptera exigua (Carballo et al., 2020).
Posterior a la selección de la dosis de mayor efectividad se realizaron pruebas de sensibilidad de las hojas (lamina foliar) en cultivos de Pasto Taiwán (Pennisetum purpureum), Aguacate (Persea americana), Anona (Annona reticulata), Piña (Ananas comosus), Limón (Citrus limonum risso), Café (Coffea arabiga), Cacao (Theobroma cacao), Caoba del atlántico (Swietenia macrophylla), Achiote (Bixa orrellana), Melocotón (Prunus persica), Plátano (Musa paradisiaca) var. cuerno gigante siendo estos cultivos los disponibles en la finca donde se realizó la prueba. Para esto se tomó una bomba de 20 litros adicionando la cantidad de extracto de chile proporcional a este volumen rociando dos hojas por cada planta repitiendo en 10 individuos de cada cultivo. Como control se repetirá este mismo procedimiento en las mismas plantas con agua en igual cantidad de hojas y plantas en el lado contrario. Posterior a la aplicación se medirá porcentualmente el daño (necrosis) de la hoja de acuerdo a la escala de incidencia de Sigatoka negra (Mycosphaerella fijiensis) (Rivas & Rosales, 2003) adaptada para este estudio. Este procedimiento se repetirá dos veces con intervalos de 15 días (Cadenas, 2008).
Análisis de los datos
Para la tabulación y análisis de los datos cuantitativos se realizó en el programa estadístico SPSS versión 25 (IBM® Statistical SPSS®, 2016). Se consideró como la concentración más efectiva, aquella que en menor concentración eliminó al 50% de los individuos o lo más cerca posible de la mitad, para ello se emplearon las pruebas de Análisis de Varianza (ANOVA) (en caso de normalidad) o la de Kruskal-Wallis complementada con la prueba Chi-cuadrado (en caso de distribución no paramétrica) (Di Rienzo; et al., 2008). La efectividad se estipuló en función del rendimiento obtenido por cada uno de los extractos en base a la mortalidad de las larvas, realizando la prueba de supervivencia con el Estimador de Kaplan-Meier para encontrar la diferencia entre los índices de mortalidad de cada uno (Vargas Franco, 2007).
Tabla 2. Características organolépticas y morfométricas de las variedades de chile seleccionadas para el bio-ensayo
| Variedad | Estado de madurez 1 | Característica | Md | DE | Sig. |
|---|---|---|---|---|---|
| Habanero | Verde | Diámetro (mm) | 10.63 | 0.61 | ** |
| Longitud (mm) | 33.10 | 2.77 | ** | ||
| Peso (gr) | 1.35 | 0.21 | ** | ||
| Escala Scoville | 1,000,000 | 0.52 | ** | ||
| Verde rojizo | Diámetro (mm) | 10.11 | 1.28 | ** | |
| Longitud (mm) | 32.04 | 4.92 | ns | ||
| Peso (gr) | 1.38 | 0.42 | * | ||
| Escala Scoville | 1,000,000 | 4.71 | ** | ||
| Cabro | Verde | Diámetro (mm) | 24.85 | 3.31 | * |
| Longitud (mm) | 28.83 | 5.07 | ns | ||
| Peso (gr) | 3.49 | 0.90 | ** | ||
| Escala Scoville | 600,00 | 6.71 | ** | ||
| Verde rojizo | Diámetro (mm) | 23.71 | 2.85 | * | |
| Longitud (mm) | 28.48 | 5.55 | ns | ||
| Peso (gr) | 3.51 | 3.51 | * | ||
| Escala Scoville | 700,000 | 4.41 | ** | ||
| Pimentón | Verde rojizo | Diámetro (mm) | 34.50 | 7.01 | * |
| Longitud (mm) | 80.45 | 6.01 | ns | ||
| Peso (gr) | 23.49 | 4.69 | ** | ||
| Escala Scoville | 15,000 | 2.24 | ** | ||
| Rojo/ amarillo rojizo | Diámetro (mm) | 34.50 | 6.51 | * | |
| Longitud (mm) | 80.45 | 3.96 | ** | ||
| Peso (gr) | 23.49 | 4.50 | ns | ||
| Escala Scoville | 18,000 | 19.09 | ** | ||
| Md = Media aritmética. DE = Desviación Estándar. Sig. = Indicador de diferencia significativa. * P-valor<0.05. ** P-valor<0.001. ns = sin diferencia significativa. Diferencia Mínima Significativa (DMS = 0.95). | |||||
Para la selección de la variedad de chile (Capsicum annum) que se utilizó en el experimento se realizó una prueba organoléptica de Wilbur Scoville (Cedrón, 2013) y la caracterización morfológica (Mcsorley et al., 2007) a los cultivares habanero, cabro y pimiento obteniéndose los resultados contenidos en la tabla 2. Los resultados muestran que la variedad conocida como habanero muestra la mayor concentración de capsaicina, sin variar según el estado de madurez, en relación directa con el índice de picor de 1,000,000 de unidades de Scoville presentando diferencia estadísticamente significativa (X2=65.24; gl=2; P<0.000). Las variedades de Cabro en su estado de madurez verde y verde rojizo resultaron 600,000 y 700,000 unidades de Scoville, respectivamente. En tanto la variedad pimientos estos individuos resultaron ser los menos indicados ya que su nivel de picor según este parámetro, en su estado de madurez rojizo se cuantificaron 15,000 unidades y en su estado verde-amarillo-rojizo, se obtuvieron 18,000 unidades de Scoville. De manera similar se determinó diferencia estadística (P<0.000) de esta variedad con las otras dos comparadas en el respecto de las variables diámetro (mm), longitud (mm) y peso (gr) al ser las que registro los valores más bajos.
Los resultados obtenidos en esta primera fase del estudio de Cázares-Sánchez et al., (2005) donde se identifica diversos morfotipos de Capsicum annum var. habanero como los chiles más picantes entre varios cultivares comparados tanto con pruebas organolépticos como por composición proximal. Esta característica sumada a la ya descrita capacidad antifúngica (Moreno Limón et al., 2012; Vio-Michaelis et al., 2012) de otras variedades de esta planta y su empleo como bio-insecticida de contacto en hortalizas (Aldana et al., 2010) sostienen el elevado potencial del uso de esta variedad en la segunda fase del bioensayo donde se determinó la concentración letal 50% (CL50) in vitro a partir del extracto pulpa, semilla y fruto entero aplicado a larvas de Spodoptera exigua en el III estadio larval.

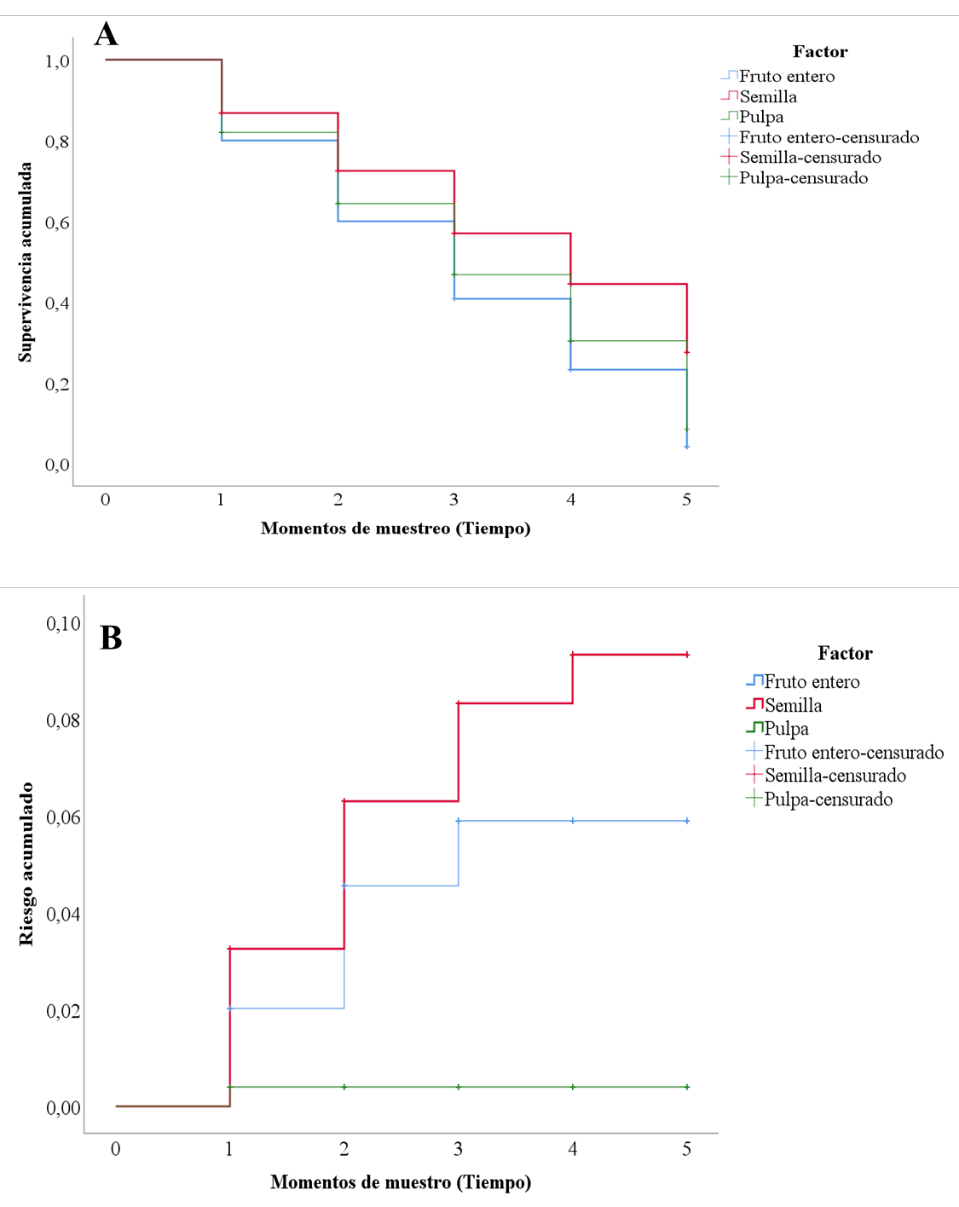
Figura 1. Función de supervivencia Kruskal-Wallis para determinación de la concentración letal 50% (CL50) del extracto de Capsicum annum sobre larva de III estadio del Spodoptera exigua (Lepidóptera: Noctuidae). A) Probabilidad de supervivencia; B) Riesgo Acumulado de mortalidad.
La figura 1A muestra probabilidad de supervivencia de los extractos analizados donde el originado de la semilla (en adelante factor dos) presenta diferencia estadística en cuanto a supervivencia (X2=14.59; gl=4; P<0.000) y tratamientos (dosis) (X2=18.26; gl=4; P<0.000) frente a los extractos originados de la pulpa y del fruto entero. Esto a pesar de que inicialmente la mayor mortalidad larval la tuvo el extracto del fruto completo del chile (factor tres), presentándose mayor rapidez que los demás extractos en los primeros intervalos de medición, esto debido a que el ácido acético presente en el exocarpo del fruto de chile produce una coagulación y precipitación de las proteínas, alterando las características de la permeabilidad celular (Ayala et al., 2017).
Sin embargo, esta misma característica vuelve el producto altamente volátil con efecto reducido, lo que coloca al factor dos como el más efectivo y estable en el tiempo prolongando su viabilidad; Generando así un efecto de mortalidad prolongado debido a que la capsaicina es una oleorresina similar a la cera (Cedrón, 2013), perteneciente a un grupo de alcaloides en las plantes de Capsicum annum que son los responsables del picor y se ubican principalmente en el tejido de la placenta adyacente a las semillas (Yánez et al., 2015), por lo que permanece sobre el área aplicada por mayor tiempo. El comportamiento se mantiene de manera constante a lo largo de los momentos (tiempo en horas) de monitoreo indicando estabilidad de la molécula del ingrediente activo (Cedrón, 2013).
Confirmando la mayor efectividad del factor dos la figura 1B muestra el riesgo acumulado de mortalidad (X2=85.29; gl=2; P<0.000). La función de riesgo obtenida, confirma las argumentaciones planteadas anteriormente, ya que se logra observar que el factor dos, provocó una mayor estabilidad de riesgo durante su momento de acción sobre la larva de Spodoptera exigua. La investigación de Guzmán (2009) confirma que el ácido acético por tener una característica altamente volátil influye sobre el buen efecto logrado durante los primeros momentos de muestreo a cargo de los extractos del fruto completo.
Confirmando que el factor dos proveniente de la semilla es el que presenta los mejores resultados y estabilidad sobre lo que se desea obtener. Estos resultados se soportan por los estudios sobre el control de mosca blanca (Bemisia tabaci), pulgones (Aphis spp.), tortuguilla (Diabrotica spp.) en el cultivo del tomate (Lycopersicon esculentum) (Sarmiento, 1993).
También se comprobó que el efecto letal del extracto acuoso de chile picante (Capsicum frutescens) es mayor en los Aphis spp. y en Bemisia tabaci que el producido en Diabrotica spp. Estudios más recientes indican que el Capsicum annuum no únicamente tiene efecto biocida de contacto, sino que también puede ser empleado como componente de barreras alelopáticas para el control de plagas insectiles en cultivos hortícolas (Romero & Yánez, 2016) vislumbrando una nueva aplicación de los resultados de la presente investigación.
Tabla 3. Tiempo efectivo de mayor viabilidad, del biocida de distintos extractos de Capsicum annuum sobre larva del III estadio larval de Spodoptera exigua (Lepidóptera: Noctuidae). Letras distintas indican diferencia estadística al 95% de confiabilidad.
| Tratamiento en función del factor Dos | Tiempo en Horas | ||||
|---|---|---|---|---|---|
| 1 | 6 | 12 | 18 | 20 | |
| T1 = 10 ml por litro de agua | 0.436 d | 0.472 d | 0.472 d | 0.230 e | 0.094 c |
| T2 = 20 ml por litro de agua | 0.081 c | 0.153 b | 0.071 b | 0.079 c | 0.034 b |
| T3 = 50 ml por litro de agua | 0.192 b | 0.085 b | 0.117 c | 0.105 d | 0.044 b |
| T4 = 80 ml por litro de agua | 0.000 a | 0.004 a | 0.025 a | 0.000 a | 0.000 a |
| T5 = 100 ml por litro de agua | 0.151 b | 0.112 b | 0.119 c | 0.079 c | 0.049 b |
| T6 = Agua [Testigo positivo] | 0.122 b | 0.136 a | 0.097 b | 0.048 b | 0.046 b |
| T7 = Decis 10 EC [Testigo negativo] | 0.000 a | 0.000 a | 0.000 a | 0.000 a | 0.000 a |
La tabla 3 muestra que el tratamiento de 80 ml L-1 de agua (T4) presenta diferencia estadísticamente significativa (F=3.20; gl=4; P-valor<0.000) entre los demás tratamientos (dosis) evaluados en cuanto a la mortalidad en un mismo lapso de muestreo (columnas). Sin embargo, al comparar este mismo tratamiento al testigo negativo (T7) no se presentan diferencias estadísticas (F=0.00; gl=4; P-valor>1.00) en la mortalidad generada a las larvas de Spodoptera exigua en función del tiempo (líneas) indicando la estabilidad del producto adicional a su efecto biocida. Con base a los resultados presentados por Hernández-Doño et al., (2020) en su investigación para la determinación de la actividad larvicida de especies vegetales de la flora salvadoreña para el control de Aedes aegypti, se identifica la Concentración Letal 50 (CL50) el tratamiento de 80 ml L-1 de agua (T4) [CL50 80 ml L-1 de agua]. Es de vital importancia considerar el estadio larval (Rozo et al., 2008) de los individuos a controlar, en este caso una de las especies del complejo Spodoptera. Debido a que en relación al aumento de tamaño e inicio del proceso de crisálida el efecto del extracto evaluado se verá reducido por el aumento de la resistencia de la piel y del peso de la larva.
De la misma manera que para Carballo Castillo et al., (2020) se tiene seguridad que la metodología (establecimiento y réplicas de tratamientos por fases) indicaron que los controles positivos y negativos, el ambiente y el medio físico no influyeron en el momento de evaluar la letalidad.

Figura 2. Comparación de tratamientos en función del tiempo y el factor de origen del extracto de Capsicum annuum sobre larva de III estadio del Spodoptera exigua (Lepidóptera: Noctuidae). Letras distintas indican diferencia estadística al 95% de confiabilidad.
La figura 2 muestra al análisis comparativo del tiempo medio en horas de que cada tratamiento (dosis) en relación al origen del extracto emplea en matar a las larvas de Spodoptera exigua. Al realizar esta comparación para el tratamiento de 80 ml L-1 de agua (T4) y el tratamiento de 100 ml L-1 de agua (T5) en el factor dos (extracto de semillas) no se registraron diferencias estadísticamente significativas (F=0.08; gl=4; P-valor>1.00) respecto al Testigo Negativo (T7), indicando que su velocidad de acción (mortalidad) es igual al actuar en un tiempo aproximado de tres horas a partir de la aplicación.
Sin embargo, a mayor concentración de capsaicina se puede generar daño en la lámina foliar y fitointoxicación en la planta (Romero & Yánez, 2016) por lo cual es recomendable el empleo de T4 frente a T5 puesto que ambos llegan al mismo resultado siendo el primero de menor riesgo para la planta que al sufrir daños reduciría su productividad por estrés (Flores-Pacheco et al., 2019). Debe destacarse el hecho de no existir diferencia en el tiempo y en la efectividad de los extractos empleados frente a la molécula sintética de insecticida pues esta es una de las razones más empleadas por los agricultores y técnicos de asistencia para el empleo de agroquímicos de alto riesgo ambiental y humano en fuente de agua de consumo, cultivos y animales de interés económico y alimentario (Flores-Pacheco et al., 2013(a); Flores-Pacheco et al., 2013(b); Ebanks Mongalo et al., 2015).
Tabla 4. Evaluación del daño foliar de la dosis seleccionada en función del factor de origen del extracto de Capsicum annuum sobre larva de III estadio del Spodoptera exigua (Lepidóptera: Noctuidae).
| Cultivo | Etapa fenológica | Daño Foliar (%) | ||||
|---|---|---|---|---|---|---|
| Evaluado | Testigo | Prueba | ||||
| Md | DE | Md | DE | Sig. | ||
| Pasto Taiwán (Pennisetum purpureum) | Vegetativa | 3.95 | 1.41 | 0.00 | 0.00 | ns |
| Aguacate (Persea americana) | Vegetativa | 1.29 | 1.41 | 0.00 | 0.00 | ns |
| Anona (Annona reticulata) | Vegetativa | 5.38 | 1.41 | 0.00 | 0.00 | ns |
| Piña (Ananas comosus) | Floración | 5.06 | 1.41 | 0.00 | 0.00 | ns |
| Limón (Citrus limonum risso) | Fructificación | 2.36 | 3.53 | 0.00 | 0.00 | ns |
| Café (Coffea arabiga) | Fructificación | 1.29 | 1.42 | 0.00 | 0.00 | ns |
| Cacao (Theobroma cacao) | Floración | 5.12 | 2.12 | 0.00 | 0.00 | ns |
| Caoba del atlántico (Swietenia macrophylla) | Vegetativa | 3.00 | 2.82 | 0.00 | 0.00 | ns |
| Achiote (Bixa orrellana) | Vegetativa | 3.27 | 2.12 | 0.00 | 0.00 | ns |
| Melocotón (Prunus persica) | Fructificación | 4.12 | 2.82 | 0.00 | 0.00 | ns |
| Plátano (Musa paradisiaca) | Fructificación | 5.28 | 3.53 | 0.00 | 0.00 | ns |
Md = Media aritmética. DE = Desviación Estándar. Sig. = Indicador de diferencia significativa. * P-valor<0.05. ** P-valor<0.001. ns = sin diferencia significativa. Diferencia Mínima Significativa (DMS = 0.95).
Los análisis correspondientes a la tabla 3 y figura 2 se identifica la concentración Letal 50 (CL50) el tratamiento de 80 ml L-1 de agua (T4) [CL50 80 ml L-1 de agua] por lo cual se desarrolla la fase final del bioensayo en diversos cultivos para medir el daño foliar (tabla 4) a causa de la aplicación in vivo. Los resultados muestran que no existen daños significativos (F=0.86; gl=4; P-valor>1.00) en las láminas foliares de los cultivos (Rivas & Rosales, 2003) por lo cual no se puede aducir que se deba al efecto de aplicación del extracto en evaluación (Cadenas, 2008).
Se debe aclarar que las aplicaciones se realizaron en dos momentos con 15 días de intervalo entre ellos. La cantidad limitada de monitoreos y la amplitud de tiempo para las observaciones en campo pudieron haber incidido en la capacidad de identificación y estimación de daños en las láminas foliares de los cultivos en los que se realizó el ensayo. Se realizaron las pruebas en estos cultivos a razón de la disponibilidad en la finca, sin embargo, al estar establecidos en plantaciones mixtas se incluyeron cultivos que tradicionalmente no afecta Spodoptera exigua por ser consideradas reservorios potenciales del insecto.
La primera fase de desarrollo del bioensayo determinó mayores niveles en la escala de Scoville de la variedad conocida como habanero de chile (Capsicum annum) respecto a los demás cultivares comparados (Var 1≠ Var2 y Var 1≠ Var3). Al comparar la efectividad de los diversos extractos de Capsicum annum se ha determinado que el procedente de la semilla (F2≠F1 y F2≠F3) posee mayor estabilidad garantizando mayor efectividad en el control de los organismos meta.
Se identificó como Concentración Letal 50 (CL50) el tratamiento de 80 ml L-1 de agua (T4) [CL50 80 ml L-1 de agua] a partir del factor dos de estudio (extracto de semillas). El tiempo medio de la acción de este producto es de tres horas a partir de su aplicación con posibilidades de prolongación a al menos 20 horas manteniendo su efectividad con aplicaciones por aspersión sobre la lámina foliar.
Las pruebas de daño foliar realizada en cultivos varios indicaron que la concentración probada es inocua a la planta al no generar quemaduras u otras lesiones físicas. Se acepta la hipótesis alternativa probada por técnicas paramétricas y no paramétricas que demostraron diferencia estadísticamente significativa en el tratamiento cuatro para el factor dos en relación a los demás (T4≠T1; T4≠T2; T4≠T3 y T4≠T7) respecto a la mortalidad, dosis letal 50 y tiempo de efectividad, y no así respecto al testigo negativo (T4=T8). Con esto queda identificada la Concentración Letal 50 (CL50) [CL50 80 ml L-1 de agua] como la que posee mayor efectividad al no presentar diferencia con el agroquímico probado y menor riesgo para la planta y ambiente al no utilizar una molécula sintética con riesgo de persistencia en la cadena trófica.
Esta investigación ha sido posible por el apoyo técnico y la facilitación de espacios de trabajo por parte del Centro de Investigaciones Acuáticas de BICU (CIAB) adscrito a la Facultad de Recursos Naturales y Medio Ambiente (FARENA). Especial agradecimiento al MSc. Luis Moreno, la MSc. Ivania Baca y la MSc. Erling Torrez de la Escuela de Ciencias Agrarias y Veterinarias de la Universidad Nacional Autónoma de Nicaragua – León (UNAN-León) por el donativo de las larvas de Spodoptera exigua empleadas en esta investigación. Al Comité de Investigación y Posgrado de BICU por el otorgamiento de fondos de apoyo a la Investigación, Desarrollo e innovación (I+D+i) en la convocatoria 2020.
Aldana LL., L., Salinas S., D. O., Valdés E., M. E., Gutiérrez O., M. ., & Valladares C., M. . (2010). Evaluación bioinsecticida de extractos de. Polibotánica, 29, 149–158. http://www.scielo.org.mx/scielo.php?script=sci_arttext&pid=S1405-27682010000100007
Ayala, F., Rodriguez, H., & Rodriguez, E. (2017). Quemaduras por ácido acético. caso clínico y revisión de la literatura. 85, 4–7.
Buitrago Guacaneme, C. M., Rincón Soledad, M. C., Balaguera López, H. E., & Ligarreto Moreno, G. A. (2015). Tipificación de Diferentes Estados de Madurez del Fruto de Agraz (Vaccinium meridionale Swartz). Revista Facultad Nacional de Agronomía Medellín, 68(1), 7521–7531. https://doi.org/10.15446/rfnam.v68n1.47840
Cadenas, I. (2008). Fitopatología General. Dpto. academico de Entomologia y Ftoptologia, 1, 78.
Carballo Castillo, N., Bermúdez Hernández, D., Miranda Calero, S., Rivers Carcache, E., Lacayo Romero, M., & Rocha, L. (2020). Actividad biocida de extractos de guanábana (Annona muricata L.) en el estadio larval III del mosquito Aedes aegypti L. Revista Torreón Universitario, 9(24), 16–26. https://doi.org/10.5377/torreon.v9i24.9721
Cave, R. D., Trabanino, R., & Pitty, A. (2013). Zamorano y sus Contribuciones a la Agricultura Sostenible a Través del Control Biológico de Plagas. Ceiba. https://doi.org/10.5377/ceiba.v52i1.966
Cázares-Sánchez, E., Ramírez-Vallejo, P., Castillo-González, F., Soto-Hernández, R. M., Rodríguez-González, M. T., & Chávez-Servia, J. L. (2005). Capsaicinoides y preferencia de uso en differentes morfotipos de chile (Capsicum annuum L.) del centro-oriente de Yucatán. Agrociencia.
Cedrón, J. C. (2013). La Capsaicina. Revista de Química PUCP.
Di Rienzo;, J. A., Casanoves, F., Balzaniri, M. G., González, L., Tablada, M., & Robelo, C. W. (2008). InfoStat, Software Estadístico. Manual del Usuario (Universidad Nacional de Córdoba (ed.)). http://www.infostat.com.ar/index.php?mod=page&id=37
Ebanks Mongalo, B. F., Suárez Sánchez, J., Siu Estrada, E., Montoya Arguello, J. J., Mairena Valdivia, D. A., Flores
Pacheco, A., Van der Wal, J. C., & Valencia Quintana, P. (2015). Concentración de plaguicidas en agua, sedimentos y ostiones (Crassostrea rizophorae) de la Laguna de Bluefields, RAAS, Nicaragua. Wani, 67(0), 49–54. https://doi.org/http://dx.doi.org/10.5377/wani.v67i0.1888
Flores-Pacheco, J.A., Ugarte, F., & Allen, A. (2013). Monitoreo ambiental de plaguicidas en el municipio de Kukra Hill. Revista Huellas, 8(ISSN: 1813-369X), 15–18.
Flores-Pacheco, Juan Asdrúbal, Lazo Sánchez, W. J., & Méndez Sevilla, J. J. (2019). Necesidades hídricas del frijol (Phaseolus vulgaris L.) INTA rojo en condiciones del trópico húmedo de Nicaragua. La Calera, 19(32), 16–23. https://doi.org/10.5377/calera.v19i32.8436
Flores-Pacheco, Juan Asdrúbal, Mairena, Á., & Espluga, J. (2013). Evaluación de riesgos en sistemas agrícolas asociados a la utilización de plaguicidas en el Municipio de Kukra Hill, Nicaragua, Centroamérica. Nexo Revista Científica, 26(1), 34–44. https://doi.org/10.5377/nexo.v26i1.1034
Hernández-Doño, S., Moreno, A. D., Romero, E., Rina, A., Serrano, M. A., Moreno, M., & Núñez, M. J. (2020). Actividad larvicida de especies vegetales de la flora salvadoreña para el control de Aedes aegypti Larvicidal activity of Salvadoran plant species on Aedes aegypti. Revista Científica Multidisciplinaria De La Universidad De El Salvador - Revista Minerva, 3(1), 65–80. https://minerva.sic.ues.edu.sv/index.php/Minerva/article/view/53
Hernández, R., Fernández, C., Baptista, C., & Hernandez-Sampieri, R. (2014). Metodología de la investigación. Journal of Chemical Information and Modeling, 53(9), 600. https://doi.org/10.1017/CBO9781107415324.004
IBM® Statistical SPSS®. (2016). IBM® SPSS® 23.0 (p. Statistical Package for the Social Sciences).
Lastres, L., & Soza, F. (2009). Manual Sanidad Vegetal. Programa de Manejo Integrado de Plagas en América Central “PROMIPAC”, 75.
Mcsorley, R., Wang, K., & Frederick, J. J. (2007). Integrated effects of solarization , sunn hemp cover crop , and amendment on nematodes , weeds , and pepper yields introduction a variety of non-chemical methods are available for managing plant-parasitic nem- atodes , weeds , and other soil-borne pest pr. 115–126.
Moreno Limón, S., Salcedo Martínez, S., Cárdenas Ávila, M., Hernández Piñero, J., & Núñez González, M. (2012). Efecto antifúngico de capsaicina y extractos de chile piquín (Capsicum annuum l. var aviculare) sobre el crecimiento in vitro de Aspergillus flavus. Polibotánica.
Pérez D, D., & Iannacone O, J. (2009). Efectividad de Extractos Botánicos de Diez Plantas Sobre la Mortalidad y Repelencia de Larvas de Rhynchophorus palmarum L., Insecto Plaga del Pijuayo Bactris gasipaes Kunth en la Amazonía del Perú. Agricultura Técnica, 66(1), 1–11. https://doi.org/10.4067/s0365-28072006000100003
Rahayu, D. F., & Ustiawan, A. (2013). Identifikasi Aedes Aegypti Dan Aedes. Balaba, 9(01), 7–10.
Rivas, G., & Rosales, F. (2003). Manejo convencional y alternativo de la Sigatoka negra, nematodos y otras plagas asociadas al cultivo de Musáceas en los trópicos. Inibap, 1–193.http://www.bioversityinternational.org/fileadmin/bioversity/publications/pdfs/1242.pdf
Romero, C., & Yánez, V. (2016). Efecto de barreras alelopáticas y biocidas en el manejo de insectos plagas del cultivo de pimiento (Capsicum annuum) [Universidad Técnica Estatal de Quevedo]. https://doi.org/http://repositorio.uteq.edu.ec/handle/43000/3256
Rozo, Á., Zapata, C., & Bello, F. (2008). Evaluación del efecto tóxico de extractos de Eupatorium microphyllum L.F. (Asteraceae) sobre larvas de Aedes aegypti (Diptera: Culicidae) en condiciones de laboratorio. Revista Ciencia de la Salud - Bogota (colombia), 6(2), 64–73.
Salvatella, R. (1997). Aedes aegypti (Diptera, Culicidae): notificación de su presencia en Uruguay. Revista Médica del Uruguay, 13, 118–121.
Sanabria, L., Ea, S., González, N., Alcaraz, P., & Bilbao, V. N. De. (2009). Actividad larvicida de extractos vegetales acuosos en larvas de Aedes aegypti ( primeros ensayos ). Mem. Inst. Investig. Cienc. Salud, 5(1), 26–31. http://scielo.iics.una.py/pdf/iics/v7n2/v7n2a05.pdf
Sarmiento, R. L. M. (1993). Efecto biocidas de extractos acuosos de “paraíso”(Melia azederach) y "chile picante(Capsicum frutescens) en el control de insectos plagas del cultivo del Tomate (Lycopersicum esculentum). Universidad de El Salvador,.
Uc-Peraza, R. G., & Delgado-Blas, V. H. (2012). Determinación de la concentración letal media (CL50) de cuatro detergentes domésticos biodegradables en Laeonereis culveri (webster 1879) (polychaeta: Annelida). Revista Internacional de Contaminacion Ambiental, 28(2), 137–144.
Vargas Franco, V. (2007). Estadística descriptiva para ingeniería ambiental con SPSS. 312. https://doi.org/978-958-33-9319-3
Vio-Michaelis, S., Apablaza-Hidalgo, G., Gómez, M., Peña-Vera, R., & Montenegro, G. (2012). Antifungal activity of three Chilean plant extracts on <em>Botrytis cinerea</em>. Botanical Sciences. https://doi.org/10.17129/botsci.482
Yánez, P., Rivadeneira, L., Balseca, D., & Larenas, C. (2015). Características morfológicas y de concentración de capsaicina en cinco especies nativas del género capsicum cultivadas en Ecuador. La Granja: Revista de Ciencias de la Vida, 22(2), 12–32. https://doi.org/10.17163/lgr.n22.2015.02
© 2021 Revista Científica de FAREM-Estelí.
Este trabajo está licenciado bajo una Licencia Internacional Creative Commons 4.0 Atribución-NoComercial-CompartirIgual.