Jeffry Alexander Castillo Rugama
Facultad Regional Multidisciplinaria, Estelí. UNAN-Managua/FAREM-Estelí
https://orcid.org/0000-0002-2657-7209
jeffryrugama96@-gmail.com
Rommel Francisco Umanzor Martínez
Facultad Regional Multidisciplinaria, Estelí. UNAN-Managua/FAREM-Estelí
https://orcid.org/0000-0002-7736-0739
rommelumanzor33@gmail.com
Juan Alberto Betanco Maradiaga
Facultad Regional Multidisciplinaria, Estelí. UNAN-Managua/FAREM-Estelí
https://orcid.org/0000-0001-8838-8588
juan.betanco@yahoo.com
22/02/2021
14/06/2021
La cocción de rosquillas constituye una importante fuente de ingresos para familias en el norte de Nicaragua. El propósito del presente estudio es el análisis energético de los hornos mejorados y tradicionales que se utilizan para la producción de rosquillas. El diseño experimental consistió en analizar 6 hornos: tres tradicionales y tres mejorados situados en Condega municipio de Estelí durante el año 2020, realizando cuatro repeticiones de mediciones. El estudio se fundamenta en el enfoque filosófico de investigación cuantitativo, basado en el paradigma positivista. El método utilizado es deductivo, mediante técnicas como la entrevista estructurada, mediciones experimentales de temperatura y emisiones de CO2 en la infraestructura del horno durante el proceso de cocción de las rosquillas, cálculos matemáticos de transferencia de calor por convección del barril del horno, paredes verticales, calor disipado en la chimenea, transferencia de calor por radiación, y calor generado por la combustión. Se aplicó la técnica estadística correlación de Pearson para comprobar la existencia o no de correlaciones entre las diversas variables. Se confirma la hipótesis de que los hornos mejorados tienen mayor eficiencia energética que los hornos tradicionales con un 66.8 % y 21.4 % respectivamente. En relación a los hornos tradicionales, los hornos mejorados presentan menor emisión de CO2, consumen menor cantidad de leña y perjudican menos la salud ya que producen menor cantidad de humo.
Eficiencia energética; transferencia de calor; hornos mejorados: emisiones de dióxido de carbono.
The baking of rosquillas constitutes an important source of income for families in northern Nicaragua. The purpose of the present study is the energetic analysis of improved and traditional ovens used for the production of rosquillas. The experimental design consisted of analyzing 6 ovens: three traditional and three improved ovens located in Condega municipality of Esteli during the year 2020, performing four repetitions of measurements. The study is based on the philosophical approach of quantitative research, based on the positivist paradigm. The method used is deductive, using techniques such as structured interviews, experimental measurements of temperature and CO2 emissions in the oven infrastructure during the rosquillas firing process, mathematical calculations of heat transfer by convection of the oven barrel, vertical walls, heat dissipated in the chimney, heat transfer by radiation, and heat generated by combustion. Pearson's correlation statistical technique was applied to check the existence or not of correlations between the various variables. The hypothesis that the improved kilns have higher energy efficiency than traditional kilns was confirmed with 66.8% and 21.4%, respectively. In relation to traditional ovens, the improved ovens have lower CO2 emissions, consume less firewood and are less harmful to health because they produce less smoke.
Energy efficiency; heat transfer; improved kilns; carbon dioxide emissions.
La leña es una de las principales fuentes de energía en Nicaragua. El uso de leña con fines energéticos ha provocado procesos de deforestación y deterioro de los recursos naturales. A nivel local el consumo de leña por parte de ciertos sectores ha aumentado. Es esencial el desarrollo y adaptación de tecnologías que disminuyan la deforestación y las emisiones por el uso de leña.
Nicaragua espera reducir el consumo de leña para cocinar en los hogares del 45,8 % en la actualidad, hasta 10 % para los próximos siete años, informó el ministro nicaragüense de Energía y Minas, Emilio Rappaccioli (Confidencial, 2013). En Nicaragua existen 800.000 hogares (entre urbanos y rurales) que consumen leña de manera no sostenible, lo que equivale a unos dos millones de personas expuestas a padecer diversas enfermedades pulmonares, advirtió el funcionario.
Según datos del Ministerio de Energía y Minas (2013), el 80 % de la leña que se usa en Nicaragua es para la elaboración de alimentos y el 20 % para actividades productivas. El consumo de leña para cocinar en Nicaragua (45,8 %), compite con el consumo de derivados de petróleo (41 %).
Los hornos tradicionales en la actualidad consumen mayor cantidad de leña, trayendo consigo emisiones de CO2, provocando efectos invernaderos y daños irreversibles en ambiente. A partir de las tecnologías renovables se ha dado paso a la implementación de hornos mejorados debido a su rendimiento térmico y a su bajo consumo de leña de igual manera a la baja cantidad de CO2 que produce durante su proceso de ebullición.
La presente investigación analiza la eficiencia energética de hornos mejorados para la producción de rosquillas en la ciudad de Condega, año 2020. Se presenta los cálculos detallados de eficiencia energética. A través de este estudio se pretende conocer el cambio que traerá el uso de hornos mejorados suplantando a hornos tradicionales, en lo económico, social, salud y ambiental que este tipo de tecnologías esta accionando en las familias que están optando por adquirir hornos mejorados. De acuerdo al método de investigación el presente estudio es observacional y experimental (Piura López, 2006). El estudio pertenece a las líneas de investigación 2 de Biomasa y 4 de Eficiencia Energética, indicadas por la Facultad Regional Multidisciplinaria de Estelí, FAREM-ESTELI, UNAN-Managua. Nicaragua.+
De acuerdo al enfoque de investigación el presente estudio es cuantitativo usando métodos observacional y experimental, debido a que se midieron mediante experimento los parámetros físicos y térmicos y según el nivel de profundidad del conocimiento es descriptivo (Piura López, 2006), ya que caracteriza los hornos mejorados. De acuerdo a la clasificación de Hernández, Fernández y Baptista (2014), el tipo de estudio es correlacional ya que se estudió la relación entre las variables de los hornos.
Para determinar las características físicas y técnicas que presentan los hornos mejorados de la ciudad de Condega, se implementaron entrevistas estructuradas a propietarios y visita observacional para conocer los materiales utilizados en la construcción de los hornos, estado del mismo, consumo de leña y producción de rosquillas en relación al horno tradicional y al horno mejorado.
En el aspecto experimental se compararon técnicamente los parámetros de eficiencia energética de los hornos mejorados y hornos tradicionales, se realizaron mediciones de temperatura en exterior e interior mediante termómetro láser para conocer el flujo calorífico, se utilizó medidor de CO2 para conocer las emisiones, uso de balanzas para conocer el volumen de materia prima que se insertara dentro de los hornos (leña, alimentos), se pesaron los residuos de leña (ceniza).
Como aporte del estudio se elaboró guía para el mantenimiento preventivo considerando los siguientes aspectos: el manejo adecuado de la materia prima, aprovechamiento térmico, limpieza y mejoramiento de diseño.
En relación a las características físicas y técnicas que presentan los hornos mejorados de la ciudad de Condega se obtuvieron los siguientes resultados:
La tierra utilizada en la construcción del horno es mejorada y contiene zacate, estiércol de vacas, agua de pitaya, guácimo, dulce, para tener un mejor rendimiento en el horno.
El horno cuenta con las siguientes medidas 1.50 m de piso a techo del horno, 1 m de largo, 18 cm de grosor de pared, 30 cm de alto y 35 cm de ancho en la cámara de combustión (figura 1).

El horno cuenta con las siguientes medidas 1.50 m de piso a techo del horno, 1 m de largo, 18 cm de grosor de pared, 30 cm de alto y 35 cm de ancho en la cámara de combustión (figura 1).
Para la generación de calor se utiliza un barril con las siguientes dimensiones: 1 m de alto y un radio de circunferencia de 40cm (figura 2)
El horno mejorado posee chimenea la cual es utilizada para darle salida a los gases generados del horno. Este tipo de horno contiene un espacio entre el barril y la pared esto para tener una mejor circulación del fuego y se pueda mantener mucho más la temperatura. Los hornos se deben construir de este a oeste para evitar que el aire afecte el encendido del horno.
Las características técnicas se han determinado mediante la recolección de datos de temperaturas y pesos de la materia prima (figura 3):
La capacidad máxima de cazolejas dentro del horno son 2 conteniendo 40 rosquillas en cada una de ella. El consumo es de 9 unidades de leña. Las Temperaturas máximas en el interior del horno oscilan entre 280 ̊C y 296 ̊C. La temperatura máxima en cámara de combustión es de 299 ̊C. La producción máxima es de 30 cazolejas por encendido.


La comparación técnica de los parámetros de eficiencia energética de los hornos mejorados y hornos tradicionales se realizaron de la forma siguiente:
Cámara de cocción de hornos mejorados – tradicionales

Figura 4. Comparativa de las Temperaturas (°C) de la cámara de cocción de hornos mejorados – tradicionales. M Horno mejorado . T Horno tradicional.
Las temperaturas medias diarias de la cámara de cocción en los hornos mejorado son más altas debido a que su estructura esta mejor conservada y está separada de la cámara de combustión, por tanto, preserva por más tiempo el calor en comparación a los hornos tradicionales (figura 4). Las temperaturas medias en la cámara de combustión serán más altas mientras más hermética se encuentre.
Cámara de combustión de hornos mejorados – tradicionales
Las emisiones de Dióxido de carbono son menores en los hornos mejorados ya que se utiliza menos cantidad de leña, que la necesaria en los hornos convencionales (figura 5).

Figura 5. Temperaturas (°C) de cámara de combustión de hornos mejorados – tradicionales. tradicionales
Peso de la leña en hornos mejorados- tradicionales
Los hornos tradicionales utilizan mayor cantidad de leñas en relación a los hornos tradicionales (figura 6)

Figura 6. Peso de la leña en hornos mejorados - tradicionales.
Peso de la leña en ceniza en hornos mejorados- tradicionales
El total de los residuos de cenizas en los hornos mejorados en comparación a los hornos tradicionales, los mejorados producen una cantidad muy baja que los tradicionales, esto se debe a su bajo consumo de masa (leña), a la hora de combustión los hornos tradicionales generan cantidades altas en cenizas debido a su eficiencia al no ser buena necesita masa o combustible para poder aumentar su temperatura (figura 7).

Figura 7. Peso de la leña en cenizas para hornos mejorados - tradicionales.
Humedad de la leña en hornos mejorados- tradicionales
La poca humedad en la leña de combustión de hornos mejorados se debe a su bajo consumo de esta, provocando una menor cantidad de cenizas después de la combustión, en cambio los hornos tradicionales su nivel de humedad es alto comparado con los hornos mejorados, esto se debe a su gran cantidad de leña consumida a la hora de combustión (figura 8).

Figura 8. Humedad de la leña en hornos mejorados - tradicionales.
Para determinar la eficiencia de los hornos mejorados y los hornos tradicionales se realizaron los siguientes cálculos:
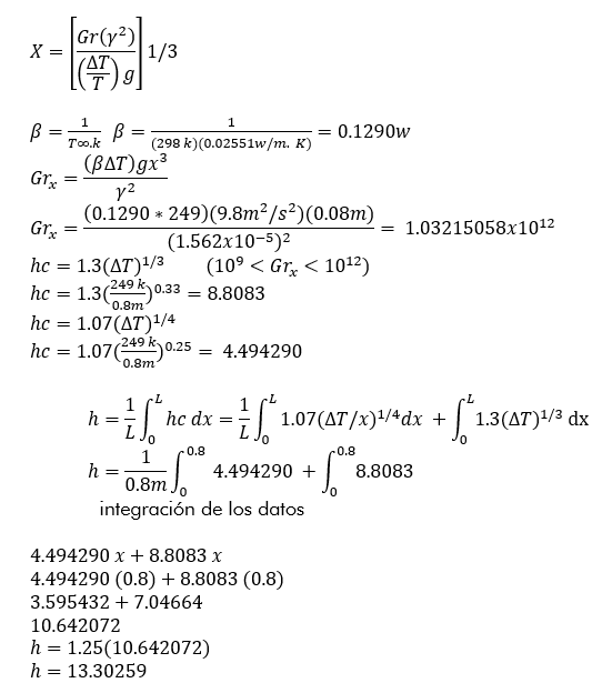
Para el cálculo de eficiencia para un horno mejorado son necesarios parámetros como calor específico del barril, masa, conductividad térmica, coeficiente de transferencia de calor área y temperaturas (tabla 1).
Tabla 1. Datos para calcular el calor del barril en un horno mejorado
| Calor especifico Ce, (J/kg. K) |
Masa (kg) |
Conductividad térmica. (k) |
Longitud (L) |
Coeficiente de transferencia de calor por convección (h) W/(m2K) |
Temperatura ambiente (T∞) |
Temperatura en cámara de combustión (Tc) |
Área (m2) |
|---|---|---|---|---|---|---|---|
| 450 | 16 | 79.5 | 0.8 m | 7200 | 25 °C-298 K | 274 °C-574 K | 0.4315 |
El calor del barril se calculará de la siguiente manera:
Paredes verticales del horno
Para el calor de las paredes verticales son necesarios la viscosidad cinemática, temperatura ambiente y de la cámara de combustión, así como la conductividad térmica del aire (tabla 2).
Tabla 2. Datos específicos del aire
| Viscosidad cinemática Ɣ2 (m2/s) |
Temperatura ambiente (T∞) |
Temperatura en la cámara de combustión (Tc) |
Conductividad térmica del aire (k) |
|---|---|---|---|
| 1.562x10-5 | 25 ̊C- 298 K | 274 ̊C- 574 K | 0.02551 |
Calor de las paredes
Evacuación de humo en el horno
Para calcular el área de la chimenea se utilizará la ecuación que se presenta a continuación:
Transferencia de calor por radiación
Para determinar la transferencia de calor por radiación son necesarios la emisividad del hierro, la constante de Boltzmann y las temperaturas (tabla 3)
Tabla 3. Datos técnicos para calcular la trasferencia de calor por radiación
| Emisividad del hierro () |
Constante de Stefan-Boltzmann. (σ) w/m2. K4 |
Temperatura ambiente ̊C - k |
Temperatura cámara de cocción ̊C - k |
|---|---|---|---|
| 0.740 | 5.67x10-0.8 | 25 ̊C – 298 K | 200 ̊C - 473 K |
Antes de calcular el calor por radiación del producto se calculará hrprod
Habiendo calculado la hrprod se puede calcular el calor del producto de la siguiente manera:
Calor generado
Cálculo de la masa
Masa= 20.6 kg
Tiempo= 3.5 hrs
m = dm/dt
m =20.6 kg / 3.5 hrs
m = 5.8857
Poder calorífico de la leña: 2700 kj/kg
Eficiencia del horno
Como resultado de los cálculos aplicados a un horno mejorado tendremos que la eficiencia es de 66.8%.
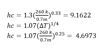
Cálculo de eficiencia para un horno tradicional
Tabla 4. Datos recolectados para calcular la eficiencia de un horno tradicional
| Viscosidad cinemática Ɣ2 (m2/s) |
Temperatura ambiente (T∞) |
Temperatura en la cámara de combustión (Tc) |
Conductividad térmica del aire (k) |
|---|---|---|---|
| 1.562x10-5 | 24 ̊C- 297 K | 284 ̊C- 557 K | 0.02551 |
Calor de las paredes
Evacuación de humo en el horno.
Para calcular el área de la chimenea se utilizará la ecuación que se presenta a continuación:
Transferencia de calor por radiación
Tabla 5. Datos para calcular la transferencia de calor por radiación en un horno tradicional
| Emisividad del ladrillo () |
Constante de Stefan-Boltzmann. (σ) w/m2. K4 |
Temperatura ambiente ̊C - k |
Temperatura cámara de cocción ̊C - k |
|---|---|---|---|
| 0.930 | 5.67x10-0.8 | 24 ̊C – 297 K | 284 ̊C - 557 K |
Antes de calcular el calor por radiación del producto se calculará .
Habiendo calculado la hrprod podremos calcular el calor del producto de la siguiente manera:
Calor generado
Cálculo de la masa
Masa= 30 kg
Tiempo= 3.5 hrs
m = dm/dt
m =30 kg / 3.5 hrs
m = 8.5714
Poder calorífico de la leña: 2700 kj/kg
Eficiencia del horno
Se obtuvo un resultado para la eficiencia energética del horno tradicional de 21.4%.
Mediante correlación estadística de Pearson se comprobaron correlaciones de las variables
Tabla 6. correlación de variables de eficiencia de hornos mejorados y hornos tradicionales.
| Correlaciones | ||||||||
|---|---|---|---|---|---|---|---|---|
| T. Ccoc | T. Ccom | E.CO2.PPM | Peso leña.kg | Peso ceniza.kg | Humedad Leña | Interpretación | ||
| T. Ccocción | Correlación de Pearson | 1 | .550** | -.398 | -.194 | -.266 | -.298 | la relación entre las variables de temperatura de la cámara de cocción y la temperatura de la cámara de combustión es significativa ya que posee P= 0.005 < α=0.05, ambas variables son directamente proporcional ya que a mayor temperatura en la cámara de combustión también aumenta la temperatura en la cámara de cocción. |
| Sig. (bilateral) | .005 | .054 | .365 | .208 | .157 | |||
| N | 24 | 24 | 24 | 24 | 24 | 24 | ||
| T. Ccom | Correlación de Pearson | .550** | 1 | -.586** | -.234 | -.503* | -.472* | La correlación entre temperatura en la cámara de cocción y emisiones de CO2 es significativa debido a que el valor P =0.03 < α= 0.05, estas variables son inversamente proporcional ya que a mayor temperatura en la cámara de cocción menor generación de CO2. |
| Sig. (bilateral) | .005 | .003 | .270 | .012 | .020 | |||
| N | 24 | 24 | 24 | 24 | 24 | 24 | ||
| E.CO2.PPM | Correlación de Pearson | -.398 | -.586** | 1 | .527** | .782** | .658** | De acuerdo a la correlación entre las variables emisiones de CO2 y humedad de la leña es significativa por lo que 0.000 es menor que 0.05, de acuerdo a las variables estas son directamente proporcionales ya que, a mayor humedad de leña, mayor es la generación de emisiones de CO2. |
| Sig. (bilateral) | .054 | .003 | .008 | .000 | .000 | |||
| N | 24 | 24 | 24 | 24 | 24 | 24 | ||
| P. leña.kg | Correlación de Pearson | -.194 | -.234 | .527** | 1 | .708** | .621** | La correlación entre las variables peso de la leña y emisiones de CO2 es significativa debido a que 0.008 es menor que 0.05. estas variables son directamente proporcionales ya que si las emisiones de CO2 son elevadas también el peso de la leña será elevado porque entre más leña queme más CO2 habrá. |
| Sig. (bilateral) | .365 | .270 | .008 | .000 | .001 | |||
| N | 24 | 24 | 24 | 24 | 24 | 24 | ||
| P. ceniza.kg | Correlación de Pearson | -.266 | -.503* | .782** | .708** | 1 | .880** | La correlación entre las variables peso en ceniza y temperatura de la cámara de combustión, es significativa ya que 0.012 es menor a 0.05, las variables son inversamente proporcionales entre si ya que a mayor temperatura en la cámara de combustión la generación de ceniza es menor. |
| Sig. (bilateral) | .208 | .012 | .000 | .000 | .000 | |||
| N | 24 | 24 | 24 | 24 | 24 | 24 | ||
| Hum. Leña | Correlación de Pearson | -.298 | -.472* | .658** | .621** | .880** | 1 | Las correlaciones entre las variables la humedad de la leña y peso de la leña y es significativa por lo que 0.001 es menor que 0.05, estas variables son directamente proporcionales esto se debe a que al tener un mayor peso de o un mayor volumen de leña, la humedad aumentara. |
| Sig. (bilateral) | .157 | .020 | .000 | .001 | .000 | |||
| N | 24 | 24 | 24 | 24 | 24 | 24 | ||
**La correlación es significativa en el nivel 0,01 (bilateral).
*La correlación es significativa en el nivel 0,05 (bilateral).
Propuesta de guía de mantenimiento preventivo para los hornos
Se propone una guía de mantenimiento preventivo para los hornos cuyos aspectos principales son los siguientes:
El estudio ha permitido verificar que los hornos mejorados poseen mayor eficiencia energética (66.8%) que los hornos tradicionales (21.4%) ya que su diseño permite aprovechar el proceso de combustión, su estructura o sus materiales de aislamiento debido a que mantienen la temperatura en las cámaras de combustión y las filtraciones de calor al exterior son bajas.
La producción de rosquillas es similar en ambos tipos de hornos, utilizando menor cantidad de leña el horno mejorado, esto se debe a que el área a calentar es más reducida y que su estructura contiene elementos que conservan mejor el calor.
Con el implemento de estos hornos mejorados se reduce la generación de dióxido de carbono, el consumo excesivo de leña y los costos de producción por lo que es importante la transferencia de tecnología y la sustitución de los hornos tradicionales utilizados en la ciudad de Condega.
Confidencial. (20 de 9 de 2013). Esperan reducir del 45,8% al 10% el consumo de leña para cocinar. Confidencial. Obtenido de Google. Chrome: https://archivo.confidencial.com.ni/
Diario El Mundo, E. S. (19 de Septiembre de 2013). SICA. Obtenido de Google.Chrome: https://www.sica.int/consulta/Noticia.aspx?Idn=81049&idm=1
Hernández Sampieri, R., Fernández Collado, C.; Baptista Lucio, M. d. (2014). Metodologia de la Investigación (Sexta edición ed.). Mexico DF: Mc Graw Hill.
Howell, J., & Buckius, R. (1990). Principios de Termodinamica para Ingenieros. Mexico: Mc Graw Hill.
Inzunza, J. (2002). Introducción a la Mecánica. Obtenido de Introducción a la Mecánica.: https://www2.dgeo.udec.cl/juaninzunza/docencia/docencia.html
Piura López, J. (2006). Metodología de la Investigación Científica. : un enfoque integrador. Managua.
Poveda, M. (s.f.). Eficiencia energética: recurso no aprovechado. Propuesta para avanzar de las palabras ala acción. Obtenido de oladeorg: http://biblioteca.olade.org/opac-tmpl/Documentos/old0054.pdf
© 2021 Revista Científica de FAREM-Estelí.
Este trabajo está licenciado bajo una Licencia Internacional Creative Commons 4.0 Atribución-NoComercial-CompartirIgual.