Jonathan Herrera M.1
jonathan.herrera@cira.unan.edu.ni
Recibido: 21 de mayo de 2020, Aceptado: 18 de junio de 2020
1 Centro para la Investigación en Recursos Acuáticos de Nicaragua de la Universidad Nacional Autónoma de Nicaragua, Managua. CIRA/UNAN-Managua
RESUMEN
El siguiente proyecto consiste en la validación y estimación de la incertidumbre de un método analítico para determinar Hierro Total por el método de la Fenantrolina en muestras de aguas naturales, en el Laboratorio de Aguas Naturales del CIRA - UNAN. Esto con la finalidad de que el laboratorio demuestre que el método analítico proporciona resultados fiables, siguiendo la metodología establecida por el Standard Methods for the Examination of Water and Wastewater. 22 ed. Washington: APHA. Dentro de este contexto el proyecto fue posible gracias al apoyo financiero de los Fondos propios de Investigación (FPI) de la UNAN-Managua. La evaluación del método se llevó a cabo tomando en cuenta criterios tales como: linealidad, rango de trabajo, límite de detección y cuantificación instrumental y del método, exactitud (Veracidad, repetibilidad), precisión intermedia, y como criterio fuera de la validación, pero de suma importancia, la estimación del sesgo o incertidumbre del método, todo esto, mediante el desarrollo de cálculos estadísticos con el objeto que el laboratorio de aguas naturales cuente con una metodología validada, como elemento necesario para la acreditación de estas variables de calidad de agua natural.
Palabras claves: método; validación; incertidumbre; evaluación.
ABSTRACT
The next project involves the validation and estimation of the uncertainty of an analytical method to determine Total Iron by the Phenantroline method in natural water samples, at the Natural Water Laboratory CIRA - UNAN. This in order for the laboratory to demonstrate that the analytical method provides reliable results, following the methodology established by the Standard Methods for the Examination of Water and Wastewater. 22 ed. Washington: APHA. Within this context, the project was made possible by the financial support of UNAN-Managua’s Own Research Funds (IPFs). The evaluation of the method was carried out taking into account criteria such as: linearity, working range, limit of detection and quantification of instrumental and method, accuracy (veracity, repeatability), intermediate accuracy, and as a criterion outside of validation, but of the utmost importance, the estimation of bias or uncertainty of the method, all by developing statistical calculations with the aim of having the natural water laboratory with a validated methodology , as a necessary element for the accreditation of these natural water quality variables.
Keywords: method; validation; uncertainty; evaluation.
INTRODUCCIÓN
El Hierro se puede encontrar en el agua bajo diferentes formas. En las condiciones habituales, es decir, para un pH que varíe entre 4,5 y 9, el hierro soluble presente esta generalmente en estado ferroso. Si el medio es reductor como en muchas aguas subterráneas, el hierro ferroso puede alcanzar cantidades elevadas. En ausencia de complejos, el hierro férrico no es soluble de un modo significativo más que a pH inferiores a 4; solamente en este caso se podrá hacer una distinción entre el hierro disuelto y el hierro en estado ferroso, aunque de hecho las aguas superficiales no contienen más que muy pequeñas cantidades.
Bajo la acción del aire, o por adición de cloro, el hierro se oxida pasando al estado férrico pudiendo hidrolizarse para dar un hidróxido de hierro insoluble. Generalmente esta es la forma en que se le encuentra en las muestras, salvo si la toma se ha realizado de modo que no se produzca ninguna oxidación. El hierro puede estar en solución en estado coloidal, más o menos combinado con la materia orgánica, en forma de complejos orgánicos o minerales o en forma de partículas en suspensión. En este sentido este método es aplicable en aguas naturales (superficiales y subterráneas) y para aguas de desechos que contengan menos de 4,00 mg.l-1.
La validación de un método será poco exhaustiva, limitándola a la comprobación del cumplimiento de las características especificadas en aquellos métodos que se consideran de referencia, y mucho más completa y exhaustiva en las nuevas metodologías analíticas, en cuyo caso, si es posible la validación debe basarse en normas reconocidas.
Existen algunas normas ISO para la validación de métodos microbiológicos, como es el caso de la ISO 16140:2003 “Microbiología de los alimentos para consumo humano y animal. Protocolo de validación de métodos alternativos”, sin embargo no hay normas disponibles para la validación de ensayos físico-químicos alternativos, aunque sí guías ampliamente reconocidas con protocolos para la validación de métodos de ensayo, y que sirven de referencia a las entidades que acreditan el cumplimiento de la UNE-EN ISO/IEC 17025:2005 como son por ejemplo el DOC-ONA-12-011 Política para la Validación de Métodos de Laboratorios de Ensayos y Calibración, la guía Eurachem (“The Fitness for Purpose of Analytical Methods. A Laboratory Guide to Method Validation and Related Topics”), o el documento del CODEX “Guidelines on Establishing methods criteria for the identification of relevant analytical methods”.
Una de las pricipales motivaciones en este estudio, es el arranque de la acreditación del laboratorio de Aguas Naturales del CIRA/ UNAN-Managua, esto puesto que hoy en día los laboratorios a nivel nacional como a nivel internacional deben demostrar que sus métodos analíticos proporcionan resultados fiables y adecuados para su finalidad y propósito ya que muchas de las decisiones que se toman están basadas en la información que estos datos proporcionan.
MATERIALES Y MÉTODOS
El presente estudio es de caracter descriptivo ya que describe el comportamiento específico de cada una de las variables las cuales son el resultado de la implementación de modelos matemáticos y estadísticos dentro del control de calidad de una metodología analítica. Además se enmarca un enfoque cuantitativo donde se observó el protagonismo de los elementos numéricos los cuales permitieron lograr un conocimiento comprobable del objeto en cuestión.
Para este estudio se utilizaron instrumentos como: 1) Espectofotometro UV-VIS LAMBDA365 previamente calibrado, 2) Materiáles de Referencia Certificados, 3) Pipetas volumétricas y Matraces de aforo serializados y con certificados de calibración, 4) El procedimiento descrito en el Standard Methods for the examination of water and wastewater. (2012). 22nd. Edition. Washington: APHA con código 3500-Fe.B.
Tratamiento analítico de la muestra
El Hierro fue llevado en solución y reducido hasta el estado ferroso por ebullición con ácido clorhídrico e hidroxilamina y haciendo reaccionar con 1,10- Fenantrolina a valores de pH de 3.2 a 3.3, seguidamente tres moléculas de Fenantrolina formaran un quelato con cada átomo de hierro ferroso para dar lugar a un complejo rojo-anaranjado. Esta solución coloreada obedece a la Ley de Beer, la intensidad del color es independiente del pH en el ámbito de 3 a 9. A un pH entre 2.9 y 3.5 se logra un rápido desarrollo del color en presencia de un exceso de Fenantrolina.
Muestras a utilizarse en la validación
Muestra A: muestra suministrada por el jefe del laboratorio de aguas naturales. La muestra A es un material de referencia certificado identificado por el laboratorio como MRC-AN-34. La muestra es de ERA A Water Company catalogo N° P255-500.
Con esta muestra se realizó la evaluación de la exactitud del método en condiciones de veracidad y repetibilidad.
Muestra B: preparada en el laboratorio: esta muestra fue preparada por el personal del CIRA. Esta muestra fue utilizada en el ejercicio de precisión intermedia.
Muestra C: Preparada en el laboratorio: esta muestra fue preparada por el personal del CIRA. Esta muestra fue utilizada para la elaboración de las curvas de calibración dentro del rango de trabajo del método.
Muestra D: Preparada en el laboratorio: Esta muestra es un blanco fortificado y será utilizada para la determinación del límite de detección y de cuantificación del método.
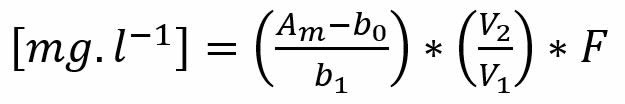
Para la cuantificación y expresión de los resultados de muestras de hierro total se utilizó el modelo matemático siguiente:
Ecuación (1)
Donde:
Am – Absorbancia obtenida de la muestra en estudio.
bo - Intercepto de la curva de calibración.
b1 - Pendiente de la curva de calibración.
V2 - Volumen final volumen final (aforado) de la muestra.
V1 - Incertidumbre debido al volumen inicial de la muestra.
F- Factor de dilución.
Evaluación estadística de la calidad del método
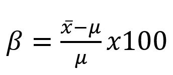
Exactitud:
Se analiza la muestra certificada (o muestra control preparada en el laboratorio a una concentración definida μ) 10 veces en condiciones de repetibilidad y veracidad, se obtiene la media () y la desviación estándar (S). Se compara la media obtenida con el valor de referencia dado. Se calcula la exactitud mediante la ecuación Ecuación 2:
Ecuación (2)
Dónde: µ = valor verdadero y X̅ = valor obtenido
Precisión Intermedia:
Tomar una muestra control o muestra natural (cuyo analíto a determinar sea estable), y distribuirla entre tres analista que realicen dicho análisis (la cantidad de muestra a utilizar debe ser proporcional al número de analista y al número de análisis con sus respectivas réplicas, más un excedente), realizar 3 réplicas por analistas durante cinco días. El cálculo de la Precisión intermedia se realizará por medio de la Ecuación 3:
Ecuación (3)
Donde:
Spi = es la desviación estándar de la precisión
X̅ = Es el promedio general de los datos.
Límite de Detección (LD)
Para determinar el límite de detección en los métodos volumétricos se procede a realizar lo siguiente:
Realizar 10 lecturas del blanco por duplicado dopándolos a la mínima concentración posible (se realiza el análisis en días diferentes para obtener resultados más confiables), calcular la sumatoria de las diferencias elevadas al cuadrado y obtener la desviación estándar de las diferencias. Posteriormente se determina el LD por medio de la ecuación 4:
Ecuación (4)
Donde:
t0,05 (n-1) = Valor de t para pruebas de una cola con 95% de probabilidad n - 1= grados de libertad.
Límite de Cuantificación (LC)
Los criterios para el cálculo del límite de cuantificación del método se tomaran de: la guía de validación de métodos de la ONA, y guía de validación de métodos analíticos de la EURACHEM, 2005, el cual consiste en cuantificar la menor concentración de cada analíto, la cual puede determinarse con una precisión (repetibilidad) y una exactitud aceptables bajo las condiciones establecidas de la prueba, los resultados obtenidos se determinaran a partir de la ecuación:
Ecuación (5)
Donde:
kQ: factor múltiplo correspondiente a la desviación estándar relativa.
So´: desviación típica
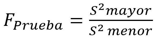
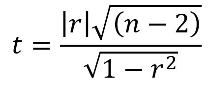
Linealidad en el rango de trabajo
Se preparará 10 estándares con la concentración más alta de la curva de calibración y 10 estándares con la concentración más baja de la curva de calibración, y posteriormente comprobar homogeneidad de las varianzas en todo el rango de trabajo por medio de la ecuación 6:
Ecuación (6)
Donde:
S2 mayor = varianzas del estándar alto.
S2 menor = las varianzas del estándar más bajo.
Homogeneidad y estabilidad de la muestra
Se selecciona la muestra natural que va ser utilizada en la validación, la variable a analizar para determinado analíto debe estar en el rango de trabajo del método a validar, una vez que esté seleccionada se mezcla bien para una debida homogenización seguidamente se debe realizar la medición de alícuotas independientes por duplicados y por último se realiza el análisis de varianza para calcular las varianzas de los resultados entre los lotes y dentro de los lotes por medio de la ecuación 7:
Ecuación (7)
S2 mayor = varianzas del estándar alto.
S2 menor = las varianzas del estándar más bajo.
Estimación de la incertidumbre de medición.
Para la estimación de la incertidumbre asociada a los resultados obtenidos se utiliza lo recomendado por la Norma ISO 17025 lo cual es estimar la incertidumbre por medio de la guía GUM, donde se consideraran los contribuciones siguiente:

Figura 1. Diagrama de componentes de incertidumbre asociadas a la cuantificación de Hierro Total.
RESULTADOS Y DISCUCIONES
Resultados de la exactitud
Se analizó un material de referencia certificado con identificación ERA A Water Company catalogo N° P255-500, obteniendo como resultado en la prueba de repetibilidad una concentración media de 0,479 con un coeficiente de variación del 1,35% lo cual es aceptable según el criterio de aceptación declarado por el laboratorio, al igual que la prueba de veracidad evaluada por medio de un t-student resultado como t calculado t= 0,05 lo cual es aceptable según el criterio de aceptación t.cal<t.tabdonde el t.cal es el t-student calculado y t.tab es el t-student tabulado. Por lo tanto el método es exacto. Los resultados se refleja en la tabla #1 y #2
Evaluación de la Repetibilidad del análisis
Muestra A: La muestra es de ERA A Water Company catalogo N° P255-500.
Tabla 1. Resultados del análisis de la muestra A certificada para determinar repetibilidad del método de Hierro Total
| N° de mediciones | Resultados como FeTotal mg.l-1 | Coeficiente de variación calculado, % | Criterio de aceptación | Se acepta |
| 1 | 0,484 | 1,35% |
< 5,0 % |
SI |
| 2 | 0,478 | |||
| 3 | 0,480 | |||
| 4 | 0,472 | |||
| 5 | 0,488 | |||
| 6 | 0,474 | |||
| 7 | 0,474 | |||
| 8 | 0,470 | |||
| 9 | 0,488 | |||
| 10 | 0,482 | |||
| Xmedia | 0,479 | |||
| S | 0,006 | |||
| n | 10 |
Evaluación de la Veracidad del método.
Tabla 2.Resultados del análisis de la muestra A certificada para determinar veracidad del método de Hierro Total
| N° de mediciones | Resultados mg.l-1 |
Valor de Referencia certificado, como Hierro Total mg.l-1 | Criterio de aceptación | Resultado t calculado |
Se acepta |
| 1 | 0,484 | 0,478 | Ho: X = µ H1: X ≠ µ Si /tcalc./ ≤ t0.975 Se acepta ttab = 2,262 |
0.488 | SI |
| 2 | 0,478 | ||||
| 3 | 0,480 | ||||
| 4 | 0,472 | ||||
| 5 | 0,488 | ||||
| 6 | 0,474 | ||||
| 7 | 0,474 | ||||
| 8 | 0,470 | ||||
| 9 | 0,488 | ||||
| 10 | 0,482 | ||||
| Xmedia | 0,479 | ||||
| S | 0.006 | ||||
| n | 10 |
Tabla 3. Datos de la Muestra de Referencia con certificado
| Identificación del MRC | Identificación de la muestra | Cat. No. | Lote No. | Fecha de vencimiento |
| MRC-AN-35 | Clean Water WatR Trace Metals | 500 | P255-500 | 08-2018 |
Recuperación (%) = 100.21 %
La hipótesis nula Ho se acepta; la hipótesis alternativa H1; se rechaza
Como el valor tcalc. es menor que ttab. el valor medio no difiere estadísticamente de µ para un nivel de significancia del 0,05, la Ho se acepta; Por tanto, los resultados son trazables al material de referencia certificado, el método es veraz.
Resultados de la evaluación de precisión intermedia
Para la evaluación de a precisión intermedia se tomó una muestra natural y se distribuyó entre tres analista los cuales realizaron el análisis de Hierro Total en condiciones de repetibilidad, evaluando datos aberrantes, evaluando la homogeneidad de varianza y finamente realizando un análisis de varianza proporcionando como resultado una desviación estándar residual (RSD%) de 8,9981% por lo que el método es preciso ya que el RSD está por debajo del criterio de aceptación que es del 10%. Dichos resultado se pueden observar en las tabla 4.
Tabla 4 Evaluación del RSD% de la Precisión Intermedia de la metodología
| Definición de carácter | Modelo matemático | Resultado |
| Varianzas entre días S2d | (MSd-MSE)/ni | 0.00026 |
| Varianza (Analista) S2op | (MSAna-MSE)/ni | 0.0006 |
| Var. Pre. Intermedia S2pi | (S2d+S2op+S2r) | 0.0009 |
| Precisión Intermedia | (S2pi)1/2 | 0.0305 |
| Promedio General | 0.33882 | |
| RSD % | 8.9981 |
Determinación del Límite de detección (LDM) y Límite de cuantificación del método (LCM)
El límite de detección y cuantificación del método se determinó por medio del análisis de las 10 réplicas individuales del estándar con la menor concentración y posteriormente se aplicó la ecuación 4 y 5 respectivamente. Los resultados se observan en las tablas 5.
Tabla 5. Resultados del Límite de detección y de cuantificación del Método
| N° de mediciones | Resultados de Estándar de menor concentración en mg/L |
| 1 | 0.010 |
| 2 | 0.016 |
| 3 | 0.014 |
| 4 | 0.010 |
| 5 | 0.019 |
| 6 | 0.020 |
| 7 | 0.012 |
| 8 | 0.016 |
| 9 | 0.020 |
| 10 | 0.010 |
| Promedio de los resultados | 0.015 |
| S | 0.004 |
| LDM | 0.01 |
| LCM | 0.03 |
Los resultados se reportan con dos cifras significativas después del punto ejemplo: (0.01 mg.l-1), por lo tanto los límites detección y cuantificación del método serán reportados de la misma forma.
Evaluación de la linealidad del método
Esta evaluación se realizó por medio de la construcción de 5 curvas de calibración posteriormente se calculó el coeficiente de correlación resultado un r2 = 0.9999, indicando una linealidad adecuada del método siendo este valor mayor de lo establecido por ONA r2 = 0.99 y finalmente se evaluó la precisión del modelo dando como resultado un RDS%= 0,865 lo cual es menor del 5% establecido por ONA, por lo que se concluye que el método es lineal. Los resultados se presentan en la tabla 6.
Tabla 6. Resultados de 5 curvas de calibración
| Estándar | Concentración mg-l-1 | CURVA 1 | CURVA 2 | CURVA 3 | CURVA 4 | CURVA 5 | Media de la Señal | S |
| S1 | 0.00 | 0.000 | 0.000 | 0.000 | -0.001 | 0.000 | -0.0002 | 0.0004 |
| S2 | 0.10 | 0.025 | 0.027 | 0.025 | 0.011 | 0.019 | 0.0214 | 0.0065 |
| S3 | 0.50 | 0.100 | 0.099 | 0.100 | 0.097 | 0.108 | 0.1008 | 0.0042 |
| S4 | 1.00 | 0.205 | 0.208 | 0.205 | 0.19 | 0.211 | 0.2038 | 0.0081 |
| S5 | 2.00 | 0.414 | 0.416 | 0.414 | 0.412 | 0.423 | 0.4158 | 0.0043 |
| S6 | 3.00 | 0.607 | 0.605 | 0.607 | 0.633 | 0.624 | 0.6152 | 0.0126 |
| S7 | 4.00 | 0.826 | 0.834 | 0.826 | 0.832 | 0.825 | 0.8286 | 0.0041 |
| r2 | 0.9999 | |||||||
| RDS% | 0,865% |
Figura 2. Gráfico de la curva de calibración de Hierro Total. Donde se evaluó la linealidad del método por medio de los datos experimetales descritos en la tabla 6
Tabla 7. Evaluación del coeficiente de correlación
| Descripción | Criterio utilizado y valor obtenido | Criterio de decisión | ¿Se acepta? |
| El coeficiente de correlación indica el grado de relación entre la variable concentración (X) y la variable respuesta (Y) de la curva de calibración. Los valores máximos que puede alcanzar son –1 y 1. El valor máximo de 1 indica una correlación positiva perfecta (entre X e Y) con una pendiente positiva. Cuando r = 0, no existe correlación alguna, independencia total de los valores X e Y. |
t(tab) = 2,447 t calc. = 263.47 |
|
SI, porque la variación de la señal analítica y la variación de la concentración es significativa |
Deacuerdo a lo descrito en la tabla 7 se demuestra que la linealidad es adecuada porque la correlación entre la variación de la señal analítica y la variación de la concentración es significativa.
Tabla 8. Evaluación de la pendiente b1
| Descripción | Criterio utilizado y valor obtenido | Criterio de decisión | ¿Se acepta? |
| La pendiente es uno de los factores que limitan la sensibilidad de la curva de calibrado y tiene que ser significativamente diferente de cero |
t(tab) = 2,447 |
|
SI, porque es significativamente diferente de cero |
La pendiente y la linealidad son adecuadas. La pendiente se diferencia significativamente de cero según el resultado descrito en la tabla 8.
Tabla 9. Evaluación del intercepto
| Descripción | Criterio utilizado y valor obtenido |
Criterio de decisión |
Se acepta? |
| La pendiente es uno de los factores que limitan la sensibilidad de la curva de la curva de calibrado y tiene que ser significativamente diferente de cero | t calc. = 0,2498 |
Si tcalculado < ttab: El intercepto no se diferencia significativamente de cero. Si tcalculado > ttab: El intercepto se diferencia significativamente cero. |
SI, porque no se diferencia significativamente de cero |
Según lo descrito en la tabla 9, el intercepto no se diferencia significativamente de cero: El efecto de fondo de los reactivos sobre la señal analítica no es significativo y la linealidad es válida.
Estimacion de la incertidumbre del método
Para la metodología de Hierro Total y su naturaleza se estimó la incertidumbre por medio de la guía GUM y el modelo matemático de cuantificación de hierro total descrito por medio de la ecuación 1.
Modelo matemático:
Aplicando la ley de propagación de la incertidumbre partiendo de la ecuación 1 tendremos:
Ecuación (8)
Tabla 10. Contribuciones a la incertidumbre del método
| CONTRIBUCIONES A LA INCERTIDUMBRE | |
| Definición | u típica |
| u V1 incertidumbre debido al volumen inicial de muestra | 0,02971279 |
| u V2 incertidumbre debido al volumen final de muestra | 0,18775597 |
| u Am: incertidumbre debido a la señal de la muestra | 0,004946663 |
| u rep.val: incertidumbre debido a la repetibilidad de la validación | 0,00204939 |
| u bo: incertidumbre debido al intercepto | 0,001303219 |
| u b1: incertidumbre debido a la pendiente | 0,00023691 |
Figura 3. Contribuciones a la incertidumbre del método teniendo en consideración todas las influencias a la incertidumbre de la medición donde claramente se puede observar la mayor contribución está en u V2.
Tabla 11. Resultados de la incertidumbre expandida del método de Hierro total

Nota: Para estimar la incertidumbre del método se tomó como muestra incógnita el valor de concentración de muestra control de 0,50mg.l-1.
DISCUSIÓN
El coeficiente de variación está por debajo de lo aceptable, el criterio se acepta el método es repetible. (CRITERIO: CV ≤ 10%) RESULTADO: CV= 1,35%.
En el análisis del material de referencia certificado código: MRC AN-04-34 resulto satisfactorio con un porcentaje de recuperación del 100,21% el valor nominal es de 0,478mg.l-1 y el valor experimental fue: 0,479 mg.l-1.
Como el valor tcalc. (0,05) es menor que ttab. (2,262) el valor medio no difiere estadísticamente del valor nominal (µ) para un nivel de significancia del 0,05, la Ho se acepta; Por tanto, los resultados son trazables al material de referencia certificado, el método es veraz.
Para el análisis de la precisión intermedia se realizó por medio de ANOVA de 2 factores seguidamente del cálculo de la desviación estándar residual (RSD%) donde se identifica que el RSD% es menor que 10% de las desviaciones según el criterio de aceptación por lo que se dice que el método es preciso.
Los límites de detección y cuantificación tanto del método como del instrumento se reportan con dos cifras significativas después del punto ejemplo: (0,01mg.l-1), asi de igual forma que el reporte de los resultados analíticos.
El coeficiente de correlación resultante en la evaluación, indicó tener una correlación entre los puntos elevada, teniendo en cuenta como punto de partida la elaboración de 5 curvas de calibración independientes por lo que podemos concluir que el método es Lineal con un r2 = 0,9999.
Para la estimación de la incertidumbre asociada a la medición los métodos de la guía GUM la guía EURACHEM (Método de regresión lineal para estimación de la incertidumbre) resultan ser técnicas apropiadas para la asignación de una deviación asociada a la medición.
CONCLUSIONES
El procedimiento para la determinación de Hierro Total por el método colorimétrico de la Fenantrolina en agua potable y natural (3500-Fe.B) del Standard Methods for the examination of water and wastewater. (2012). 22nd. Edition. Washington: APHA, es exacto, preciso, Lineal y repetible para su verificación por otros analistas bajo las condiciones de trabajo del laboratorio de Aguas Naturales.
La incertidumbre del método a partir del cálculo por regresión lineal y GUM será de ± 0,03 mg.l-1 para una concentración de 0,48 mg.l-1 (Muestra control de 0,50 mg.l-1) de Fe Total, dicha incertidumbre será variable en dependencia de las concentraciones (mg.l-1) de Fe total reportadas en el análisis.
REFERENCIAS
Standard Methods for the examination of water and wastewater. (2012). n. Washington: APHA. 22nd. Edition.
Centro Español de Metrología. 2008. Evaluación de datos de medición — Guía para la expresión de la incertidumbre de medida. España. EDICIÓN DIGITAL 1 en español (traducción 1ª Ed. Sept. 2008) Primera Edición Septiembre 2008 (original en inglés).
EURACHEM/CITAC .2012. Guide Quantifying Uncertainty in Analytical Measurement QUAM:2012.P1. Third Edition, Editors S L R Ellison (LGC, UK) A Williams (UK).
Centro Español de metrología. JCGM 101: 2008. Evaluación de datos de medición—Suplemento 1 de la “Guía para la expresión de la incertidumbre de medida”—Propagación de distribuciones aplicando el método de Monte Carlo. España. Primera edición, 2008. Primera edición de la traducción al español, 2010.
Guía EURACHEM / CITAC. 2019. Establecimiento y Empleo de la Incertidumbre Objetivo en la Medición Química EIMO 2019. Eurolab. España. Primera edición inglesa-Primera edición española.
Oficina Nacional de Acreditación ONA. 2017. DOC-ONA-17-020 Política Sobre Incertidumbre en la Calibración. Nicaragua. Versión número 2.
Centro español de Metrología. 2012. Vocabulario Internacional de Metrología Conceptos fundamentales y generales, y términos asociados (VIM). España. 3ª Edición en español 2012 Traducción de la 3ª edición del VIM 2008, con inclusión de pequeñas correcciones.
© 2020 Revista Científica de FAREM-Estelí.
Este trabajo está licenciado bajo una Licencia Internacional Creative Commons 4.0 Atribución-NoComercial-CompartirIgual.