
Ciencia de las Plantas
Determinación de la asociación de las especies (Ophiocomina nigra y Arbacia lixula), del Phylum Echinodermata, en función de variables físico-químicas en estratos rocosos del Refugio de Vida Silvestre, Rio Escalante-Chacocente
Determination of the association of species (Ophiocomina nigra and Arbacia lixula), Phylum Echinodermata, based on physical-chemical variables in rocky strata of the Wildlife Refuge, Rio Escalante-Chacocente
La Calera
Universidad Nacional Agraria, Nicaragua
ISSN: 1998-7846
ISSN-e: 1998-8850
Periodicidad: Semestral
vol. 22, núm. 38, 2022
Recepción: 18 Febrero 2021
Aprobación: 20 Enero 2022

Resumen: El presente estudio se realizó en la zona intermareal en el Refugio de Vida Silvestre- Río Escalante Chacocente, municipio de Santa Teresa. Su objetivo principal es la determinación de la asociación de las especies Arbacia lixula y Ophiocomina nigra en función de variables físico-químicas en estratos rocosos. Se cuantificó la diversidad de las especies Arbacia lixula y Ophiocomina nigra, mediante índices de diversidad biológica, equitabilidad, riqueza específica y su distribución en ecosistemas rocosos mediante Patrones de distribución Espacio Temporal. Los muestreos se realizaron en dos épocas (seca y lluviosa), de enero a junio en el año 2018, en 5 estratos rocosos en la playa de Chacocente. La recolección de las muestras se realizó a través de un marco metálico de 1 m2. Se determinó las variables físico-químicas (Temperatura, Salinidad, pH y OD). La estructura comunitaria de los ecosistemas estuvo conformada por 3 Phylum: Echinodermata (Clase Echinoidea y Ophiuroidea), Mollusca (Clase Bivalvia y Gasterópoda) y Arthropoda (Clase Malacostraca), teniendo 26485 organismos en las dos épocas de muestreo. La menor densidad, se encontró en la época seca (2.99 ind/m2) y la mayor en invierno con 3.5 ind/m2. La abundancia y distribución de las especies fue heterogéneo en los estratos rocosos. Con el índice de Jaccard y Morisita-Horn, presentaron alta similitud entre los estratos rocosos. La especie más abundante fue la Arbacia lixula, teniendo mayor capacidad de adaptación a los diferentes cambios que ocurren en los ecosistemas rocosos que la Ophiocomina nigra. En cuanto a la composición, distribución y asociación de las especies presentaron relación con las variables fisicoquímicas del agua, mar, en donde las variaciones y fluctuaciones determinan que ambas especies se adaptan perfectamente a los cambios, permitiéndoles asociarse. En cuanto a su importancia ecológica, estas especies, son buenos indicadores de la calidad ecosistémica, permitiendo el reclutamiento de nuevas especies en los ecosistemas rocosos.
Palabras clave: estratos rocosos, Echinoidea, Ophiuroidea.
Abstract: This study was carried out in the intertidal zone in the Escalante Chacocente River Wildlife Refuge, Santa Teresa municipality. Its main objective is the determination of the association of the species Arbacia lixula and Ophiocomine nigra based on physical-chemical variables in rocky strata. The diversity of the species Arbacia lixula and Ophiocomina nigra was quantified, through indexes of biological diversity, horseback riding, specific wealth and their distribution in rocky ecosystems through Temporal Space distribution patterns. Sampling was carried out at two times (Dry and Rainy), from January to June in 2018, in 5 rocky strata on Chacocente Beach. The samples were collected through a 1 m2 metal frame. Physical-chemical variables (Temperature, Salinity, pH and OD) were determined. The community structure of the ecosystems consisted of 3 Phylum: Echinodermata (Class Echinoidea and Ophiuroidea), Mollusca (Class Bivalvia and Gasteropoda) and Arthropoda (Malacostraca Class), having 26485 organisms in the two sampling times. The lowest density was found in the dry season (2.99 ind/m2) and the largest in winter with 3.5 ind/m2. The abundance and distribution of species was heterogeneous in the rocky strata. With the Jaccard and Morisita-Horn index, they had high similarity between the rocky strata. The most abundant species was arbacia lixula, having greater ability to adapt to the different changes that occur in rocky ecosystems than Ophiocomine nigra. As for the composition, distribution and association of species they related to the physicochemical variables of seawater, where variations and fluctuations determine that both species adapt perfectly to changes, allowing them to be associated. As for their ecological importance, these species are good indicators of systemic echo quality, allowing the recruitment of new species in rocky ecosystems.
Keywords: Rocky strata, Echinoidea, Ophiuroidea.
Los ecosistemas marinos se han caracterizado por albergar una gran diversidad de especies, sin embargo están sujetos a múltiples perturbaciones tanto antrópicas como naturales, estas están bajo la influencia de diversas actividades humanas como las pesquerías no reguladas, la contaminación, la destrucción de hábitats, y recientemente, el cambio climático inducido por la emisión de gases de invernadero, lo cual, todos estos agentes han provocado cambios en el medio ambiente y una aceleración en la pérdida de la biodiversidad a nivel mundial; además de alteración de los procesos que ocurren en los ecosistemas, su funcionamiento y los servicios que le proveen a la humanidad (Rojas, 2015).
Según Ibarra (2016), la fauna bentónica ha sido influenciada en función del tamaño de su área, marcando drásticamente en su abundancia y composición, de acuerdo con el tipo de hábitat y las condiciones que presenta el litoral. Este tipo de fauna, se organiza en bentos, que son un conjunto de organismos asociados a los fondos de agua, por lo que se consideran ecosistemas muy dinámicos al estar interconectados por redes de drenajes superficiales y profundas (Lara et al. 2008).
El valor ecológico de las especies marinas bentónicas radica en el estado de la calidad de los ecosistemas al presentar una dinámica espacial y temporal compleja, influenciada por la variabilidad natural ambiental (Pech et al., 2007). Esto permite, el reclutamiento de otras comunidades en el epibento, así como su distribución y abundancia en los litorales rocosos, definidas por la influencia físico-química en el estadio del ciclo vital de los organismos estrechamente por sus interacciones inter e intra-especificas.
Aunque en Nicaragua se ha estudiado algunas especies bentónicas, poco se ha estudiado en la diversidad de equinodermos que se encuentran en la zona intermareal, detalla el Ministerio del Ambiente y los Recursos Naturales (MARENA, 2011), siendo alguno de ellos Arbacia lixula y Ophiocomina nigra, estas no han sido estudiadas en su complejidad (López y Urcuyo, 2008). En el refugio de Vida Silvestre, se han identificado un conjunto de sistemas rocosos, que requieren ser protegidos, conservados y manejados por los servicios ecológicos (sitios de reproducción y refugio de fauna acuática marina).
Para comprender la finalidad del estudio, se sugiere que el conocimiento de las asociaciones Arbacia lixula y Ophiocomina nigra, es un tema de importancia ecológica, debido a su funcionalidad biológica y su relación con el espacio bentónico. En este sentido, los objetivos fueron: i) Determinar poblaciones de Arbacia lixula y Ophiocomina nigra, en estratos rocosos del refugio de vida, ii) Asociar abundancia y riqueza en las formaciones geológicas, iii) Estimar mediciones de variables físico-químicas en las asociaciones descritas y iv) Analizar la importancia ecológica de las especies en función de variables físico-químicas.
MATERIALES Y MÉTODOS
Localización del área de estudio
El presente estudio se realizó en el Refugio de Vida Silvestre Rio Escalante-Chacocente, ubicada entre los departamentos de Carazo, municipio de Santa Teresa y Rivas, municipio de Tola, con latitud norte 11° 30’33.0’’ y 11° 35’ 28.5’’ y longitud oeste 86° 08’ 33.7’’ y 86° 14’ 43.1’’ (MARENA, 2008). El área comprende una zona intermareal de la playa Chacocente ubicada en la costa del Pacífico Sur, la cual posee un área de 465.4 hectáreas correspondiente a la parte terrestre del área.
Aspectos biofísicos del área
La playa del Refugio Vida Silvestre Rio Escalante-Chacocente, es un sitio confinado entre salientes rocosos y bocanas. Este pertenece al Municipio de Santa Teresa y Tola, caracterizándose por poseer un relieve irregular, presentando un paisaje de baja altura, formado por una franja de playa de 11.6 km de largo, que se eleva progresivamente hacia las tierras interiores a través de continuas colinas de aproximadamente 200 a 300 metros de altitud. Este relieve, pertenece a una formación geológica sedimentaria de origen marino, conocida como el levantamiento de Brito, la cual, se originó en el Eoceno (MARENA, 2008).
Registro de información y análisis estadístico
La información recopilada en este estudio acerca de las poblaciones de Arbacia lixula y Ophiocomina nigra se derivó del establecimiento de tres parcelas circulares de muestreo permanente de 1 m2, con un radio de 1 m aplicando la metodología de Brusca (1973), establecidas de manera aleatoria dentro de cinco estratos rocosos, incrustada una cuadricula de metal con dimensión de 1 m2 , dividida en nueve secciones de 3m x 3m a una profundidad de 15 cm, cada parcela se dividió en cuatro cuadrante, para estimar las secciones dentro de una de ellas .
Se identificaron puntos críticos y disímiles, permitiendo así determinar la distribución espacio-temporal en composición y abundancia de Ophiocomina nigra y Arbacia lixula pertenecientes al Phylum Echinodermata en el sitio de estudio. Se llevó registro tanto en marea baja por tres horas para contabilizar el número de organismos por sección y se registró en marea alta los datos de variables físicos-químicos por cada parcela de muestreo, para un total de registro de 15 horas tanto en el día como en la noche por cada estrato.
Para la identificación taxonómica, se identificó hasta el taxón más próximo por medio de un estereoscopio y microscopio ayudado de claves dicotómicas de Epler (2001). Además, se utilizó las guías de Moluscos de Nicaragua I-Bivalvos, Moluscos de Nicaragua II- Gastrópodos y Sea Shells of Tropical West America: Marine Mollusks from Baja California to Perú.
Para determinar la asociación en abundancia y riqueza de Arbacia lixula y Ophiocomina nigra, se utilizó índices de diversidad biológica de ShannonWiener (H'), Riqueza de especies y Equitabilidad (E) (Pielou, 1969), entre otros. Además, para cada una de las parcelas y estratos rocosos en estudio se determinó la densidad (ind/m2) y dominancia (%).
Para estimar la diversidad de macro fauna se utilizaron: el índice de Simpson (1949) y el índice de Shannon-Weaver (1949), descritos a continuación:
El índice de Simpson (1949):

Dónde:
pi= abundancia proporcional de la especie i, es decir, el número de individuos de la especie i dividido entre el número total de individuos de la muestra.
El índice de Shannon-Weaver (1949):

Para calcular la precisión en la estimación del índice Shannon-Weaver (1949), se usó la siguiente fórmula:

Además, se utilizó el índice de equitabilidad cuando todas las especies en una muestra presentan la misma abundancia el índice usado para medir la de equitabilidad debería ser máximo y, por lo tanto, debería decrecer tendiendo a cero a medida que las abundancias relativas se hagan menos equitativas. Hurlbert (1971) destacó que todos los índices de equitabilidad mantendrían esta propiedad si son expresados como:

Donde:
D = índice de diversidad
Dmin = valor mínimo de D
Dmax = valor máximo de D
Para cuantificar el componente de equitabilidad de la diversidad algunos de los índices propuestos son: (1) índice de Pielou (J’), (2) índice de Sheldon (EShe), (3) índice de Heip (EHe).
Índice de Pielou (1969), J’. Es uno de los índices más utilizados

Donde:
H’ = índice de Shannon-Wiener log2 S = es la diversidad máxima (H’max) que se obtendría si la distribución de las abundancias de las especies en la comunidad fuese perfectamente equitativa.
Índice de Sheldon (1969), EShe. Propone una forma exponencial de J’

Índice de Heip (1974), EHe. Propone el índice de Sheldon con la sustracción del mínimo

Por otra parte, para conocer la riqueza específica se utilizaron de manera independiente al tamaño de la muestra, se basan en la relación entre S y el ‘número total de individuos observados’ o (n), que se incrementa con el tamaño de la muestra.
Entre estos índices se destacan el índice de Margalef (1958)

y el índice de Menhinick (1964)

Donde:
S= número de especies
ln (n)= logaritmo natural de número total de individuos y
raíz cuadrada del número de especies presentes.
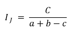
Se utilizó los índices de Jaccard y el índice de Morisita-Horn para medir el grado de similitud o disimilitud entre los sitios de muestreo. Mediante estos índices se pudo establecer una comparación cualitativa y cuantitativa con los valores obtenidos.
Índice de Jaccard, expresado mediante la siguiente fórmula:

Dónde:
a = número de especies presentes en el sitio A
b = número de especies presentes en el sitio B
c = número de especies presentes en ambos sitios A y B
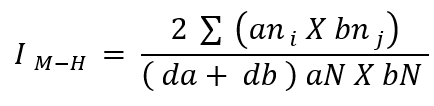
Índice de Morisita-Horn:

Este índice está fuertemente influido por la riqueza de especies y el tamaño de las muestras (Marrugan, 2004).
Dónde:
ani = número de individuos de la i-ésima especie en el sitio A
bnj = número de individuos de la j-ésima especie en el sitio B
da = _ani² / aN² db = _bnj² / bN²
Para conocer la distribución espacio-temporal de los organismos bentónicos en la zona intermareal se utilizó un modelo lineal mixto generalizado (GLMM, por sus siglas en inglés) con una función de error Poisson usando la función vínculo logit y ajustado por la aproximación Laplace. El tiempo y el sitio de muestreo fueron considerados como factores de efectos fijos y las muestras como factor de efecto aleatorio. Debido a la existencia de sobre-dispersión en el modelo se generó una variable sintética que capturara dicha sobre-dispersión. Esta variable sintética fue modelada como factor de efecto aleatorio.
El modelo completo consistió en el ajuste de los dos efectos principales y su interacción. Después de ajustar el modelo completo todos los términos no significativos fueron removidos paso a paso y los sub modelos fueron comparados usando la prueba de razón de verosimilitud y el Criterio de Información de Akaike (AIC) como medida para comparar el ajuste de los diferentes modelos. El modelo con el AIC más bajo se consideró ser el modelo más parsimonioso.
Para estimar las variables físico-químicas, en el caso de temperatura, Oxígeno disuelto, salinidad y pH, estos se realizaron in situ ayudado con un equipo de campo. Para determinar el pH y temperatura, se realizó muestras en alta mar, en cada una de las parcelas muestreadas y estrato respectivamente. se recolectó muestras en un recipiente plástico de 100 ml en la cuadrícula y posteriormente se trasladó al CIRA para sus respectivos análisis correspondiente.
En el caso de salinidad y oxígeno disuelto, se recolecto en recipientes de 100 ml para salinidad y 300 ml en una botella de Winkler para oxígeno disuelto, para salinidad se realizó un proceso de endulzamiento y se etiqueto para su respectivo análisis en el CIRA. Para el caso del oxígeno disuelto, se procuró desplaza burbujas dentro del recipiente, a este proceso se le agrego dos reactivos, siendo ellos el Sulfato de Manganeso (MnSO4) y Azida de sodio (NaN3), así alcanzando una homogenización de las muestras recolectadas.
RESULTADOS Y DISCUSIÓN
Determinación de las poblaciones de especies en estratos rocosos
En el estudio se registró un total de 26, 485 individuos encontrando una riqueza de 31 especies en ambas épocas de muestreo (verano e invierno), distribuidos en tres Phylum correspondiente al Phylum Mollusca (clase gasterópoda y Bivalvia), Echinodermata (Clase Ophiuroidea, Echinoidea, Asteroidea y Holoturoidea) y Arthropoda (subphylum Crustacea, clase Malacostraca, orden Decapoda) en los estratos rocosos muestreados (Figura 1).

Taxonómicamente los individuos encontrados en los cinco puntos de muestreos, estuvieron distribuidos en tres Phylum: Mollusca (n=22777 especies), pertenecientes a la clase Gasterópoda también conocida como Gastrópoda (caracoles), Polyplacophora (quitones) y Bivalva (almejas, ostras y mejillones). Los individuos del Phylum Mollusca son algunos de los invertebrados más notorios y conocidos para el ser humano. López y Urcuyo (2009) afirman que estos organismos se adaptan a las diferentes condiciones, debido a que estos tres Phylum habitan en los ecosistemas ERV, ERL y ERB en la zona intermareal de Chacocente, los cuales, tiene impacto directo del oleaje, se encuentran expuestos a varias horas de emersión e inmersión, así como el aporte de agua dulce, habitando en ecosistemas rocosos.
Además, que los moluscos son uno de los Phylum con mayor abundancia en los diferentes estratos rocosos, seguido del Echinodermata, caracterizándose por ser especies generalistas en la selección de sus hábitats.
El Phylum Arthropoda (n=1 000), siendo la clase Malacostraca y Echinodermata (n=2708), encontrando la clase de Ophiuroidea, teniendo a nuestra especie de interés Ophiocomina nigra y la clase Echinoidea nuestra especie Arbacia lixula. (Figura 1), estando este último Phylum presente en las diferentes estaciones de muestreo y en los cinco estratos rocosos, teniendo mayor abundancia durante la época lluviosa siendo muy representativo en comparación a los otros grupos taxonómicos.
Asociación de abundancia y riqueza en estratos rocosos
De los 26 485 organismos, se encontró una abundancia total de especie Arbacia lixula de 3 002 individuos y una abundancia total de 2 131 individuos de la especie Ophiocomina nigra en los cinco estratos rocosos y en las dos épocas en las que se realizó el muestreo, el cual, corresponde al 27.65 % de total y 72.34 %, respectivamente, en los ecosistemas rocosos muestreados.

ERL: Estrato Rocoso Laminar, ERV: Estrato Rocoso Volcánico, ERB: Estrato Rocoso Abierto de Bocana.
La gran mayoría de las especies presentes en la zona intermareal de las playas arenosas según Escrivá (2013) forman parte de la epifauna, representándose por aquellos organismos que viven sobre el sedimento en el medio acuático, ya sean anclados a él o desplazándose libremente sobre el mismo, por tanto, se tienen como algunos ejemplos los equinodermos (Arbacia lixula y Ophiocomina nigra), los moluscos (Anachis lyrata, Nerita scabricosta y Jenneria pustulata), Artrópodos (Eriphia squamata), que viven en los estratos rocosos, anclados sobre el sustrato, forman oquedades o terrazas de abrasión, dentro de las grietas y adheridos al sustrato, lo que hacen que estos ecosistemas sean dinámicos y diversos por las diferentes funciones que ellos realizan.
Cabe destacar que, durante las dos épocas de muestreo, la especie Ophiocomina nigra tuvo menor abundancia que la Arbacia lixula, pero siempre estuvo presente en las tres parcelas de muestreo y en los 5 estratos muestreados, permitiendo que hubiera un balance en la distribución y abundancia de las especies como, por ejemplo, la especie Nerita scabricosta, la cual pertenece al Phylum Mollusca de la clase Gasterópoda, teniendo una representatividad durante la época seca.
Por lo tanto, en el Estrato Rocos Laminar (ERL), la especie Arbacia lixula, tiene una representación total de 1 115 individuos, con un porcentaje total de 37.14 % y la especie Ophiocomina nigra, tuvo una abundancia de 795, el cual, corresponde al 37.30 %, con respecto al Estrato Rocoso Volcánico (ERV), la Arbacia lixula tuvo una representación de 1 196, teniendo como porcentaje 39.84 %, así como la especie Ophiocomina nigra tuvo una cantidad de 901 individuos, con una representación del 30.01 %, siendo los estratos más abundantes en las épocas de muestreo verano e invierno.
Con respecto al Estrato Rocoso Abierto de Bocana (ERB), la Arbacia lixula tuvo una cantidad de individuos en ambas épocas de 691, con un porcentaje de 23.01 % y una cantidad de individuos de Ophiocomina nigra de 435 correspondiendo al 20.41 % respectivamente a los periodos de los muestreos.
Ibarra (2016) afirma que los estratos rocosos que tienen una protección directa de las olas presenta mayor diversidad que todos aquellos ecosistemas que no tienen ninguna protección, reforzando los resultados obtenidos, ya que la abundancia de las especies Arbacia lixula y Ophiocomina nigra es mayor en el ERV y ERL, por lo que, estos disminuyen el impacto del oleaje y contribuye a que estas especies tengan mayor protección directa de las olas. Mientras que, en el ERB, en la época de invierno, el impacto por la abierta de bocana del río Escalante, repercute en las comunidades de erizos, estrellas y macroinvertebrados bentónicos.

ERL: Estrato Rocoso Laminar, ERV: Estrato Rocoso Volcánico, ERB: Estrato Rocoso Abierto de Bocana.
Si bien, cabe destacar que la época de invierno hubo un mayor aumento de la riqueza Ophiocomina nigra en relación a la Arbacia lixula, la cual, esta última especie tuvo una disminución, con respecto a la época de verano, en los cinco estratos muestreados y en las diferentes parcelas establecidas (Figura 3).
Ibarra (2016), nos explica que la comunidad de macrofauna epibentónico en términos de abundancia y riqueza de especies, es más compleja y diversa en zonas rocosas protegidas que en las playas arenosas expuestas. En la zona intermareal de la Playa de Chacocente, se logró observar que los estratos rocosos de muestreo que presentaban algún tipo de protección de la acción directa de las olas (ERL y ERV) tuvieron mayor presencia de individuos, mientras que el Estrato rocoso desprotegido (ERB) mostró los valores más bajos en el número de individuos y no tuvo una variación importante de individuos en las diferentes épocas de muestreo.
Por ende, la riqueza de especies según los diferentes estratos rocosos ubicados en la playa de Chacocente, se encontró una gran variación, ya que el ERL tuvo mayor presencia de Arbacia lixula a diferencia de la especie Ophiocomina nigra, así como, el ERV, el cual, presenta una mayor riqueza en las dos especies de interés, pero teniendo una mayor abundancia de la especie Arbacia lixula, mientras que en el ERB, se encontró mucha diferencia, debido a que la abundancia de ambas especies disminuyeron en las diferentes épocas de muestreo.
Debido a que estas dos especies son organismos exigentes con los requerimientos ambientales, por lo tanto, es muy frecuente encontrar zonaciones en las comunidades de macrofauna epibentónico (Ibarra, 2016). En el caso del sitio ERB hubo variaciones tanto para abundancia como riqueza de especies y en especial de Arbacia lixula y Ophiocomina nigra. Como resultado de la diversidad de hábitat y su interacción con el medio ambiente, las comunidades bentónicas difieren en composición taxonómica, abundancia específica y el papel funcional de los organismos (Guevara et al., 2011), afirmando ambos autores, debido a que el aporte de agua dulce en este ecosistema en la época de invierno causa cambios en la diversidad, haciendo que las especies Arbacia lixula y Ophiocomina nigra sea menor su abundancia con respecto a los otros ecosistemas.
Lo ocurrido anteriormente podría estar estrechamente relacionado a las condiciones físicas del lugar. Si bien el sitio ERB cuenta con un pequeño sistema rocoso que lo protege, caracterizándose por tener un espacio de convergencia entre el mar y el Río Escalante donde fluye agua dulce, lo que puede modificar la distribución espaciotemporal de los individuos.
Durante la época lluviosa, el aporte de agua dulce y arrastre de sedimentos han influido en la movilización o muerte de los individuos producto de la intolerancia que algunos poseen a cambios en la composición físico-química del sustrato, en donde, la salinidad es afectada por el aporte en el balance de agua dulce con agua salada. Esto último coincide a lo expresado por Pech y Ardisson (2010) quienes aseguran que los cambios en la salinidad debido al balance de los aportes de agua dulce y agua salada, constituyen una fuente potencial de disturbio en la comunidad bentónica.
Según Ibarra (2016) el índice de diversidad de Shannon-Weaver adquiere un valor máximo de 4.5 ind/m2 para las comunidades de Macroinvertebrados bentónicos y los valores inferiores a 2.4-2.5 ind/m2 son indicativos de que el ecosistema se encuentra sometido a tensión. Con los resultados obtenidos para las dos épocas de muestreo se pudo constatar que la diversidad epibentónico encontrada en los diferentes estratos rocosos el índice de Shannon-Weaver fue menor de 3.5 bits/ind. Por consiguiente, cabe señalar que la especie Ophiocomina nigra y Arbacia lixula representa la dominancia en todos los nichos ecológicos encontrados.
En el estrato rocoso con abierta de bocana en ambas épocas de muestreo presentó un valor (2.99 ind/m2) cercano al máximo indicativo de tensión (2.5 ind/m2) sin llegar a superarlo producto de que la especie Arbacia lixula estuvo siempre en mayor abundancia con respecto a la Ophiocomina nigra en los diferentes estratos, así como, las características físicas en las que se encuentra expuesto dicho ecosistema y por consiguiente, las variables climáticas que hacen que el estrato rocoso se encuentre sometido a tensión
En cuanto a la dominancia y equidad de las especies Ophiocomina nigra y Arbacia lixula, se evidenció cambios en el comportamiento de los valores tanto entre los estratos como entre las épocas de muestreos, siendo la época lluviosa la que tuvo mayor homogeneidad, lo cual es congruente con los valores obtenidos de abundancia y riqueza de especies.
Para establecer similitudes o disimilitudes entre sitios, se utilizaron los índices de Jaccard (cualitativo) y Morisita-Horn (cuantitativo). El primero, utiliza un intervalo de valores que va de 0 (cero) cuando no hay especies compartidas entre ambos sitios, hasta 1 (uno) cuando los dos sitios tienen la misma composición de especies. Este índice es una medida inversa de la diversidad, que se refiere al cambio de especies entre dos estaciones (Marrugan, 2004).
Los resultados obtenidos reflejaron alta similitud entre los sitios de muestreo en los ERL, ERV y ERB, dado por el número de especies compartidas entre sitios (macrofauna epibentónico). Los máximos valores de similitud se presentaron en el ERV y ERL durante ambas épocas; los valores medios entre ERB y ERL durante la época seca, y finalmente los valores mínimos entre ERV y ERB durante la época seca, y entre ERV y ERB durante la época lluviosa, mientras que en las especies Ophiocomina nigra y Arbacia lixula, los resultados obtenidos reflejan que hay similitud en los diferentes estratos localizados en la playa de Chacocente en las dos épocas de muestreo y en cada uno de los puntos muestreados.
Cada una de las especies que se comparten en cada uno de los sitios de estratos rocosos ubicados en la playa de Chacocente, en función de variables naturales, físico-químicas son generalistas a pesar de la época de muestreo, condiciones físico-químicas y el tipo de estrato rocosos, pero sin embargo, la distribución de las clases Bivalvia, Gasterópoda del Phylum Mollusca, las clases Echinoidea, Ophiuroidea, Asteroidea y Holoturoidea pertenecientes al Phylum Echinodermata y por último la clase Malacostraca del Phylum Arthropoda es homogénea a pesar del tipo de estrato en el cual, cada una de ellas habita.
Las especies Arbacia lixula y Ophiocomina nigra en los diferentes estratos rocosos muestreados tiene una abundancia muy representativa, teniendo una distribución homogénea de ambas especies en la época seca, siendo especies muy tolerantes a los cambios en los factores físico-químicos con las que se evaluaron, así como, son especies muy generalistas en los requerimientos de formar nichos ecológicos, ya que se encuentran en cada uno de los ecosistemas la condiciones favorables para establecer estructuras comunitarias y permitir el reclutamiento de otras especies.
| Época seca Arbacia lixula y Ophiocomina nigra | |||||
| Sitios | Número de especies | Abundancia | Muestras compradas | Jaccard | Morisita-Horn |
| ERL | 3 | 410 | 1 y 3 | 1 | 0.9893 |
| ERV | 3 | 426 | 1 y 2 | 1 | 0.9893 |
| ERB | 3 | 380 | 2 y 3 | 1 | 0.9893 |
| Época lluviosa Arbacia lixula y Ophiocomina nigra | |||||
| Sitios | Número de especies | Abundancia | Muestras compradas | Jaccard | Morisita-Horn |
| ERL | 3 | 560 | 1 y 3 | 1 | 0.9393 |
| ERV | 3 | 806 | 1 y 2 | 1 | 0.9393 |
| ERB | 3 | 420 | 2 y 3 | 1 | 0.9393 |
ERL: Estrato Rocoso Laminar, ERV: Estrato Rocoso Volcánico, ERB: Estrato Rocoso Abierto de Bocana.
Estimación de variables físico-químicas en estratos rocosos
Si bien, la temperatura es un factor condicionante en la distribución, reproducción, desarrollo, alimentación y asociación de las especies Arbacia lixula y Ophiocomina nigra, por lo tanto, en los ecosistemas muestreados se encontró una abundancia de 3 002 especies en ambas épocas de muestreo, en el que se determinó que a medida que la temperatura aumenta, la reproducción de la Arbacia lixula se incrementa, más en los estratos con una alta protección de los factores incidentes que influyen en la estructuración de diferentes comunidades en el bento, así como, se constató que, la Ophiocomina nigra es una especie que soporta las fluctuaciones en la temperatura, en el cual, la reproducción está condicionada en función de dicho factor.
Owen (2013), afirma que en los estratos rocosos se encontró una mayor abundancia de Ophiocomina nigra dentro del ecosistema, siendo una de las especies que soporta el aumento y disminución de los cambios en la zona intermareal, debido, a que la especie Arbacia lixula su desarrollo reproductivo está regulado por un fotoperiodo, siendo, la temperatura es un factor importante para el desarrollo gonadal y de su reproducción de gametos, en el cual, a medida que esta aumenta produce una aceleración en el crecimiento y aumento en la tasa de supervivencia larvaria, mientras que la acidificación causa un efecto menor en la tasa de supervivencia, la velocidad de su desarrollo y su morfología larvaria.
La información generada sobre la relación de la temperatura con la abundancia de las especies para la Ophiocomina nigra y Arbacia lixula para el RVS Chacocente (Figura 4), a tener conocimiento para sustentar herramientas y estrategias de manejo para estos ecosistemas, en el cual, la abundancia se relacionó con altos valores de temperatura, reportándose estas dos especies con mayor abundancia poblacional. Sin embargo, es recomendable seguir con los esfuerzos que incluyan análisis estacionales, relaciones ecológicas, alimentación y ciclos de vida de las especies. Así como, variables de sedimentación, amplitud de marea, acción de las olas y viento; los cuales determinan la supervivencia de los organismos del grupo.

El pH es una variable química que afecta la diversidad y distribución de los organismos bentónicos, principalmente de todos aquellos que viven en los ecosistemas rocosos. Ibarra (2016), afirma que las variaciones en el pH en el mar son muy pequeñas, encontrándose normalmente valores que varían entre los 8.1 y 8.3 y raras veces valores por debajo de 7.5 o por encima de 9.0, obteniendo como resultado valores de pH que van desde 6, 7 y 8 en los ecosistemas marinos costeros muestreados en ambas épocas de muestreo, en el cual, la abundancia de las especies Arbacia lixula y Ophiocominanigra varía de acuerdo a cada variación de pH.
El pH (Figura 5) se mantuvo relativamente estable entre 6 y 8 durante la época seca, así como en la lluviosa sin mostrar variación durante los muestreos realizados en ambas épocas lo que permitió que se encontrara, una gran diversidad de especies de los tres Phylum en los estratos muestreados.

Abundancia de las especies Ophiocomina nigra y Arbacia lixula en función del pH en la zona intermareal de Chacocente
El oxígeno disuelto en el agua de mar tuvo un comportamiento similar durante ambas épocas de muestreo con valores que oscilaron entre los 9 ppm y 10 ppm; únicamente durante la época lluviosa se evidenció un incremento en el sitio ERB llegando hasta los 12 ppm (Figura 6). Si los niveles de oxígeno disuelto son demasiado bajos, algunos organismos no pueden sobrevivir. Este indicador depende de la temperatura, puesto que el agua más fría puede guardar más oxígeno en ella, que el agua más caliente, los niveles típicamente pueden variar de 0-18 ppm.
Ambas especies se caracterizan por ser muy sensibles a los cambios en las composiciones físico-químicas, lo que se demuestra en la abundancia de las especies Ophiocomina nigra y Arbacia lixula, pero, sin embargo, las dos especies realizan funciones importantes, ya que, contribuyen al reclutamiento de especies de moluscos, arthropodos y equinodermos.

Abundancia de las especies Ophiocomina nigra y Arbacia lixula en función del Oxígeno disuelto en la zona intermareal de Chacocente
La salinidad condiciona la distribución, abundancia, riqueza y asociación de las especies en los ecosistemas. Por ende, los resultados obtenidos en la salinidad en los sitios fueron estable entre sitios y épocas con un mínimo de 33 % y un máximo de 35 % (Figura 7), cabe señalar que las especies Arbacia lixula y Ophiocomina nigra presentan tolerancia a las diferentes condiciones climáticas en los diferentes estratos rocosos.
Es por ello, que las especies Ophiocomina nigra y Arbacia lixula se caracterizan por asociarse con sustratos particulares, mediante sus adaptaciones morfológicas y fisiológicas, reconociendo el valor de las relaciones inter e intraespecíficas imperantes en estas comunidades, dándole un valor preponderante a los variables físico-químicas. Por lo tanto, como resultado se obtiene que la Ophiocomina nigra está condicionada al tipo de sustrato, temperatura, oxígeno disuelto y pH, mostrando mayor sensibilidad a la salinidad y la Arbacia lixula la ocurrencia de la clase Echinoidea se condiciona a la salinidad, temperatura, oxígeno disuelto, pH y al tipo de sustrato en el que se localiza en los estratos rocosos de la playa de Chacocente.

Importancia ecológica de especies en función de variables físico-químicas
Dentro de los grupos taxonómicos más versátiles en relación con su papel ecológico están los erizos y las estrellas de mar, siendo estos buenos indicadores de la calidad de los procesos ecosistémicos locales (Rojas, 2015). Los resultados obtenidos en función de la abundancia y riqueza de la Arbacia lixula y Ophiocomina nigra, determinó que son especies muy tolerantes, una de las más dominante en el ecosistema rocoso, las cuales, en las diferentes perturbaciones, disminuyeron su abundancia, los cuales otras especies no hubo presencia, debido a que son organismos sensibles a los cambios ocurridos dentro del ecosistema.
La Arbacia lixula y Ophiocomina nigra desempeñan un importante papel ecológico dentro de los ecosistemas acuáticos, ya que participan en actividades de descomposición de materia orgánica. Además, ocupan una posición primordial dentro de la cadena alimenticia, debido a que estas constituyen el principal alimento para peces demersales, y son importantes para el reciclaje de nutrientes a través de procesos de bioturbación de sedimento, que acelera los procesos de remineralización, lo que se ve reflejado en la reproducción y abundancia que cada una de ellas tiene en el ecosistema.
La Arbacia lixula y Ophiocomina nigra, son elementos importantes en los arrecifes rocosos por su ubicuidad, alta abundancia y sus diversas actividades alimenticias, permitiéndole asociarse a los estratos rocosos, caracterizándose por ser son herbívoros u omnívoros, alimentándose de algas y corales vivos.
La importancia ecológica de estas especies está ligado al papel que desempeñan en sus nichos ecológicos, así como en la capacidad que estas tienen para bioerosionar las condiciones del sustrato en el que habitan. Hay que tener en cuenta que son especies que, con la combinación de sustratos sólidos y la acción de las olas, el agua y los altos niveles de oxígeno, salinidad, temperatura y pH permiten crear un hábitat muy favorable para estos organismos, así como especies del Phylum Mollusca y Arthropoda.
La Ophiocomina nigra se considera como un organismo próspero con respecto a la Arbacia lixula debido a su movilidad, su diversidad de hábitos alimentarios y sus escasas dimensiones, lo que le permite explorar, hábitats inalcanzables comparada a la equinoidea. Cabe señalar, que, durante la alimentación, ambas especies remueven una gran proporción de carbonato de calcio y son consecuentemente de importancia en la estimación del ciclo del carbono inorgánico y orgánico en los estratos rocosos (Calva 2002).
La Ophiocomina nigra y la Arbacia lixula son un componente esencial de la comunidad bentónica, debido a que forman parte de las redes tróficas, ya que, fungen como depredadores oportunistas, comensales, omnívoros, detritívoros, filtradores, hasta caníbales, contribuyendo a la descomposición de la materia orgánica, al ciclo de nutrientes en los ecosistemas bentónicos y a la oxigenación de los sedimentos y el agua. Padilla et al. (2017), explica que la Arbacia lixula es considerado como un organismo bioerosionador, debido a que a la acción mecánica de sus espinas provocan una acción erosionadora del sustrato removiendo carbonato de calcio, así como, interviniendo en el desarrollo de los arrecifes coralinos, entre otros ecosistemas.
La Arbacia lixula y la Ophiocomina nigra son indicadores de las condiciones ambientales, ya que, son capaces de responder a diversos factores de contaminación, estrés térmico o invasión de patógenos, ya que, estos poseen en su cavidad celómica un tipo de células inmunitarias que se conocen como celomocitos, las cuales, ayudan a dar una respuesta al daño tisular, invasión de patógenos o compuestos tóxicos que se encuentran presente en el medio marino (Congreso Latinoamericano de Equinodermo, 2011).
Los equinodermos forman parte de una gran parte de la fauna marina bentónica, ya que, su parte biológica, los hace ser organismos muy interesantes y se caracterizan por ser especies que poseen una gran importancia biológica (Calva, 2002).
Son organismos que se encuentran distribuidos en diferentes latitudes y profundidades, habitando desde arrecifes coralinos, estuarios y lagunas costeras. Además, son muy interesantes, por sus relaciones intra e interespecíficas, hábitos alimenticios y mecanismos de alimentación, teniendo adaptaciones muy sobresalientes.
CONCLUSIONES
Se contabilizaron 26 485 individuos de macroinvertebrados bentónicos, encontrando 31 especies distribuido en tres Phylum (Echinodermata, Mollusca y Arthropoda), del cual, 3 002 organismos pertenecen a la especie Arbacia lixula y 2 131 individuos de Ophiocomina nigra en ambas épocas de muestreo, adaptándose a diferentes condiciones en los ecosistemas rocosos.
La diversidad de las especies Arbacia lixula y Ophiocomina nigra mediante el índice de Shannon-Weaver, determina que existe asociación entre estas dos especies. En cuanto, a la dominancia y equidad de las especies Arbacia lixula y Ophiocomina nigra en estratos rocosos tuvo un comportamiento heterogéneo durante la época seca, mientras que en la época lluviosa fue más homogéneo. Mediante el índice de Jaccard (cualitativo) y Morisita-Horn (cuantitativo), se evidenció que los sitios presentaron alta similitud de las especies Arbacia lixula y Ophiocomina nigra. Las mayores concentraciones de individuos ocurrieron en los sitos de muestreo que prestaron alta o poca protección de la acción directa de las olas (Estrato Rocoso Laminar y Estrato Rocoso Volcánico).
Mediante el índice de Jaccard (cualitativo) y Morisita-Horn (cuantitativo), se evidenció que los sitios presentaron alta similitud de las especies Arbacia lixula y Ophiocomina nigra. Las mayores concentraciones de individuos ocurrieron en los sitos de muestreo que prestaron alta o poca protección de la acción directa de las olas (Estrato Rocoso Laminar y Estrato Rocoso Volcánico).
La importancia ecológica de las especies Arbacia lixula y Ophiocomina nigra radica en que son considerados organismos indicadores de la calidad de los procesos ecosistémicos locales, contribuyendo a cambios significativos, por formar parte de las redes tróficas, lo que les permite contribuye al reclutamiento de especies.
Agradecimientos
Agradecemos la valiosa colaboración y aporte al Ministerio del Ambiente y los Recursos Naturales por permitir realizar el estudio en el Refugio de Vida Silvestre Rio Escalante-Chacocente.
REFERENCIAS BIBLIOGRÁFICAS
Brusca, R. (1973). A Handbook to the Common Intertidal Invertebrates of the Gulf of California (Arizona-Sonora Desert Museum Studies in Natural History). University of Arizona Press.
Calva, L. (2002). Hábitos alimenticios de algunos equinodermos. Parte 1. Estrellas de mar y estrellas serpientes. ContactoS, (46), 59-68. http://www2.izt.uam.mx/newpage/contactos/anterior/n46ne/eqderm.pdf
Epler, J. H. (2001). Identification manual for the larval Chironomidae (Diptera) of North and South Carolina. North Carolina Department of Environment and Natural Resources. https://files.nc.gov/ncdeq/Water%20Quality/Environmental%20Sciences/BAU/Benthos%20Reference/intro.pdf
Escrivá, P. (2013). Distribución y abundancia de macrofauna bentónica del infralitoral somero. Universidad Politécnica de Valencia. http://hdl.handle.net/10251/32845
Guevara, C., Cantera, J., Mejía, L., & Cortés, F. (2011). Benthic Macrofauna Associated With Bottoms of a Tectonic Estuary in Tropical Eastern Pacific. Journal of Marine Science, (2011), 1-13. https://doi.org/10.1155/2011/193759
Heip, C. (1974). A New Index Measuring Evenness. Journal of Marine Biological Association, (54), 555-557
Hurlbert, S. H. (1971). The Nonconcept of Species Diversity: A Critique and Alternative Parameters. Ecology, 52(4), 577-586.
Ibarra, M. (2016). Efecto de la calidad del agua y del sustrato blando sobre la macrofauna bentónica de la zona intermareal en la Playa Pochomil, San Rafael del Sur, Managua [Tesis de Licenciatura, Universidad Nacional Autónoma de Nicaragua Managua]. Repositorio Institucional UNAN-Managua. https://repositorio.unan.edu.ni/13862/1/Ibarra%20Arana%20Mar%C3%ADa%20Joaquina.pdf
Lara, J., Arenas, V., Bazán, C., Díaz, V., Escobar, E., García, M., Castro, G., Robles, G., Sosa, R., Soto, L., Tapia, M. y Valdez, E. (2008). Los Ecosistemas Marinos. En Conocimiento actual de la biodiversidad (pp. 135-159). Comisión Nacional para el Conocimiento y Uso de la Biodiversidad. http://www2.biodiversidad.gob.mx/pais/pdf/CapNatMex/Vol%20I/I00_PrefacioGuia.pdf
López, A. y Urcuyo, J. (2008). Moluscos de Nicaragua I-Bivalvos. Universidad Centroamericana (Centro de Malacología/Biodiversidad).
López, A. y Urcuyo, J. (2009). Moluscos de Nicaragua II Gastropodos. Universidad Centroamericana (Centro de Malacología/Biodiversidad).
Ministerio del Ambiente y los Recursos Naturales. (2008). Plan de Manejo Refugio de Vida Silvestre Rio Escalante-Chacocente. https://es.scribd.com/document/56404322/Plan-Manejo-Rio-Escalente-Chacocente-2008-Marena
Ministerio del Ambiente y los Recursos Naturales. (2011). Biodiversidad Marino-Costero de Nicaragua: Potencialidades de los ecosistemas. Sistema Nacional de Información Ambiental. http://www.sinia.net.ni/multisites/NodoSINAP/images/NodosTematicos/NodoSINAP/documentos/Ecosistemas%20de%20Nicaragua/Biodiversidad%20Marino%20Costera.pdf
Margalef, D. R. (1958). Information Theory in Ecology. General systematics, (3), 36-71.
Marrugan, A. (2004). Measuring Biological Diversity. http://www2.ib.unicamp.br/profs/thomas/NE002_2011/maio10/Magurran%202004%20c2-4.pdf
Menhinick, E. F. (1964). A Comparison of Some Species-Individual Diversity Indices Applied to Samples of Field Insects.Ecology, 45(4), 859-861.
Owen, S. (2013). Biology and Phylogeography of the black sea Urchin Arbacia lixula (Echinoidea: Arbacioida). Biología y filogeografía del erizo de mar negro Arbacia lixula (Echinoidea: Arbacioida) [Tesis doctoral, Universidad de Barcelona]. Dipòsit Digital de la Universitat de Barcelona. http://diposit.ub.edu/dspace/handle/2445/45666?mode=full
Padilla, M., Rodríguez, A., Sotelo, R. y Cupul, A. (2017). Equinodermos de Parque Nacional Islas Marietas: Generalidades, Importancia e Identificación visual como herramienta para su protección. Áreas Naturales Protegidas Scripta, 3(2), 51-92. https://doi.org/10.18242/anpscripta.2017.03.03.02.0003
Pech, D., Ardisson, P. L. & Hernández-Guevara, N. A. (2007). Benthic community response to habitat variation: a case of study from a natural protected area, the Celestun coastal lagoon. Continental Shelf Research, (27), 2523–2533. https://doi.org/10.1016/j.csr.2007.06.017
Pech, D. y Ardisson, L. (2010). Comunidades Acuáticas. Diversidad en los bentos marino-costero. Biodiversidad y Desarrollo Humano en Yucatán. Ecosistemas y Comunidades.https://www.cicy.mx/Documentos/CICY/Sitios/Biodiversidad/pdfs/Cap3/09%20Diversidad%20en%20el%20bentos.pdf
Pielou, E. C. (1969). An Introduction to Mathematical al Ecology. Wiley-Intercience Jonh Wiley & Sons
Rojas, B. (2015). Diversidad Funcional de Equinoideos y Asteroideos en Arrecifes Rocosos y Coralinos del Pacífico Mexicano [Tesis de Maestría, Centro de Investigación Científica y de Educación Superior de Ensenada, Baja California]. Repositorio Institucional de CICESE. https://cicese.repositorioinstitucional.mx/jspui/bitstream/1007/820/1/241821.pdf
Shannon, C. E. & Weaver, W. (1949). The Mathematical Theory of Communication. University Illinois.
Simpson, E. H. (1949). Measurement of Diversity. Nature, (163), 688. https://doi.org/10.1038/163688a0
Notas de autor

